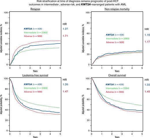
In the visual abstract, the colors of the Intermediate and Adverse curves were inverted in the Leukemia-free survival and Overall survival graphs. The corrected visual abstract is shown below:

The publisher apologizes for the errors, which have been corrected in the published article.