TO THE EDITOR:
Nodular lymphocyte-predominant Hodgkin lymphoma (NLPHL) accounts for 10% of all Hodgkin lymphoma cases.1,2 Most patients are diagnosed in the early stages and have excellent survival rates after radio- or chemotherapy, or a combination of the two.3,4 However, radiotherapy is not recommended for pediatric patients because of the late toxicity in aging survivors.5 Instead, low-intensity therapy with cyclophosphamide in combination with vinblastine and prednisone (CVP) is preferred. Only patients with poor treatment response receive more intensive chemotherapy.6 To introduce new treatment concepts based on the biology of the disease, attempts have been made to develop a histological response marker based on the morphometry and distribution of disease-defining LP cells. The classification proposed by Fan et al7 recognizes 6 different histological patterns of NLPHL, with variant patterns C-F being considered high-risk for clinical outcomes.8 However, the prognostic value of this classification is less clear in early-stage patients when compared with those with advanced-stage disease.9,10 Recent research by Hartmann et al11 has shown differences in LP cell nuclear size between early-, intermediate-, and advanced-stage NLPHL, as well as between typical and variant Fan patterns. This analysis was limited to a small number of cells per case.
We used deep-learning–based cell detection on digitized biopsy slides from early-stage pediatric patients treated within the EuroNet-PHL-LP1 trial to quantitatively assess LP-cell histology. Through whole-slide spatial analysis, we identified 6 key characteristics of LP cell spatial patterns and correlated them with treatment response to low-intensity CVP chemotherapy. In addition, we explored the relationship between treatment response and various characteristics of B-cell spatial patterns, as well as Fan classification.
The formalin-fixed and paraffin-embedded diagnostic lymph node samples of 53 children and adolescents with stage IA or IIA NLPHL who had been enrolled in the EuroNet-PHL-LP1 trial were analyzed. All patients were treated with 3 cycles of CVP chemotherapy (cyclophosphamide 500 mg/m2 intravenously on day 1, vinblastine 6 mg/m2 intravenously on days 1 and 8, and prednisolone 40 mg/m2 orally on days 1-8). The interval between chemotherapy cycles was scheduled for 1 or a maximum of 2 weeks. At the end of chemotherapy, response assessment was performed using positron emission tomography combined with contrast-enhanced computed tomography (PET-CT). The response was categorized as “good” if the PET was negative and at least a 75% reduction of the initial tumor mass across all initially affected lymph nodes was achieved. “Poor” response was characterized by PET positivity and/or a volume reduction of less than 75% compared with the initial tumor mass in at least 1 initially involved lymph node region (Table 1). The pathological features were categorized according to the Fan classification into typical NLPHL (patterns A and B) and variant patterns (patterns C-F) (Table 2).
LP and B-cell spatial variables and Fan pattern according to treatment response
| . | good . | poor . | P/alpha’/r . |
|---|---|---|---|
| Patients (total) | 33 | 20 | NA |
| Females (typical pattern) | 4 | 5 | NA |
| Females (variant pattern) | 4 | 2 | NA |
| Males (typical pattern) | 19 | 5 | NA |
| Males (variant pattern) | 6 | 8 | NA |
| Fan classes (variant / typical) | 10 / 23 | 10 / 10 | 0.24 |
| Age, y | 11.4 (3.6-17.9) | 13.45 (4.9-17.6) | 0.61 |
| menclus, cells/cluster | 161.5 (64.5) | 87.5 (56) | 0.0012/0.008∗/0.45 |
| tumorD, cells/mm2 | 61.3 (32.4) | 40.6 (23.2) | 0.0049/0.01∗/0.39 |
| madclus, cells/cluster | 60.8 (19.8) | 46.7 (16.5) | 0.017/0.0125 |
| LPm3, μm | 74.4 (22.8) | 85 (17.6) | 0.071/0.017 |
| LPmad3, μm | 38.5 (14.6) | 45 (15.2) | 0.14/0.025 |
| Nuclear area, μm2 | 117.4 (14.1) | 124.2 (21.5) | 0.27/0.05 |
| bcellD, cells/mm2 | 3756.2 (2157.8) | 2803 (1594.3) | 0.14 |
| MdistB, μm | 6.4 (0.5) | 6.5 (0.4) | 0.23 |
| McrossLPb, μm | 12.5 (2.7) | 13.1 (3.3) | 0.4 |
| otherD, cells/mm2 | 10 973.6 (2 192.2) | 11 151 (2989.8) | 0.79 |
| . | good . | poor . | P/alpha’/r . |
|---|---|---|---|
| Patients (total) | 33 | 20 | NA |
| Females (typical pattern) | 4 | 5 | NA |
| Females (variant pattern) | 4 | 2 | NA |
| Males (typical pattern) | 19 | 5 | NA |
| Males (variant pattern) | 6 | 8 | NA |
| Fan classes (variant / typical) | 10 / 23 | 10 / 10 | 0.24 |
| Age, y | 11.4 (3.6-17.9) | 13.45 (4.9-17.6) | 0.61 |
| menclus, cells/cluster | 161.5 (64.5) | 87.5 (56) | 0.0012/0.008∗/0.45 |
| tumorD, cells/mm2 | 61.3 (32.4) | 40.6 (23.2) | 0.0049/0.01∗/0.39 |
| madclus, cells/cluster | 60.8 (19.8) | 46.7 (16.5) | 0.017/0.0125 |
| LPm3, μm | 74.4 (22.8) | 85 (17.6) | 0.071/0.017 |
| LPmad3, μm | 38.5 (14.6) | 45 (15.2) | 0.14/0.025 |
| Nuclear area, μm2 | 117.4 (14.1) | 124.2 (21.5) | 0.27/0.05 |
| bcellD, cells/mm2 | 3756.2 (2157.8) | 2803 (1594.3) | 0.14 |
| MdistB, μm | 6.4 (0.5) | 6.5 (0.4) | 0.23 |
| McrossLPb, μm | 12.5 (2.7) | 13.1 (3.3) | 0.4 |
| otherD, cells/mm2 | 10 973.6 (2 192.2) | 11 151 (2989.8) | 0.79 |
Results are presented as the median (MAD), except for age, which is presented as the median (min-max). P is Fisher exact test P value (Fan) or Mann-Whitney U test P value (other variables), alpha’ is the local significance level, adjusted using the Bonferroni-Holm method to attain a target level of 0.05, for 6 focal variables (indicated in bold). The Wilcoxon effect size r was calculated for significance tests.
Indicate significant differences between the groups.
Stratification of the study cohort based on Fan et al, 2003
| Fan patterns . | . | Frequency . | Response . | Proportion of poor . | |
|---|---|---|---|---|---|
| . | Primary . | Secondary . | . | poor/good . | responders . |
| Typicalb | 33 | 10/23 | 0.3 | ||
| A | No | 30 | 9/21 | ||
| A | B | 3 | 1/2 | ||
| Variantb | 20 | 10/10 | 0.5 | ||
| A | C | 5 | 4/1 | ||
| C | No | 9 | 3/6 | ||
| C | E | 1 | 1/0 | ||
| E | C | 3 | 1/2 | ||
| E | No | 2 | 1/1 | ||
| Fan patterns . | . | Frequency . | Response . | Proportion of poor . | |
|---|---|---|---|---|---|
| . | Primary . | Secondary . | . | poor/good . | responders . |
| Typicalb | 33 | 10/23 | 0.3 | ||
| A | No | 30 | 9/21 | ||
| A | B | 3 | 1/2 | ||
| Variantb | 20 | 10/10 | 0.5 | ||
| A | C | 5 | 4/1 | ||
| C | No | 9 | 3/6 | ||
| C | E | 1 | 1/0 | ||
| E | C | 3 | 1/2 | ||
| E | No | 2 | 1/1 | ||
Rows with the bold text/numbers indicate summarized rows below
OCT2 immunostained slides of the samples (ZS02 antibody; Zytomed Systems, Berlin, Germany) were digitized using Pannoramic SCAN II (3DHISTECH, Budapest, Hungary) and the resulting digital slides were divided into 256 × 256 pixel tiles using QuPath.12 To capture variability, 14579 LP cells, 157236 B cells, and 379114 other cells were semimanually annotated using LabelImg13 in a subset of 9153 tiles from 35 study cases and 70 NLPHL cases outside the study. Using transfer learning, a pretrained YOLOv4-tiny convolutional neural network14 was retrained on these tiles. The retrained network was then used to detect cells across all tiles. The centers of the frames or bounding boxes around the detected cells (“cell centroids”) were then converted into marked planar point patterns representing the tissue using the R package spatstat version 2.115 and a custom R script.
To characterize each LP point pattern, we selected 6 spatial variables based on published literature (Figure 1).11,16,17 These variables included the nuclear area approximated from the median area of the detected LP cell bounding boxes, LP cell density (tumorD) calculated by dividing the number of LP cell centroids by the tissue area, the median Euclidean distance between LP points and their third nearest neighbors of the same type (LPm3), as well as LPmad3, its median absolute deviation (MAD), and the median (menclus) and MAD (madclus) of the number of cells in putative clusters of LP cells detected by affinity-propagation clustering (apcluster version 1.4.918), a data-driven approach to group data points without the need to predefine the number of clusters.19 As a confirmatory analysis, Mann-Whitney U tests were used to analyze the potential association between these spatial variables and treatment response, with local significance levels adjusted using the Bonferroni-Holm step-down procedure to maintain an overall significance level of 0.05. To gain further insight, we measured the density of B cells (bcellD) and other cells (otherD) and the median nearest-neighbor distances between B cells (MdistB) and between LP and B cells (McrossLPb). We then performed exploratory Mann-Whitney U tests for B-cell spatial variables against response. Similarly, we used Fisher exact test to examine the proportion of bad responders with typical and variant Fan patterns. Notably, multiple testing correction was not applied in any of the analyses. All analyses were conducted using R version 4.1.0.20
Spatial variable extraction from digital slides using deep-learning, affinity-propagation clustering, and spatial statistics. (A) Left to right: Whole-slide image scan of an OCT2-stained tissue section of NLPHL with Fan pattern “C.” A highlighted 256 × 256-pixel tile is magnified in panel C. The planar point pattern after cell detection, showing LP cell and B-cell centroids. LP cell clusters are identified using affinity-propagation clustering. (B) Planar point pattern and result of affinity-propagation clustering of LP cell centroids in an NLPHL case with Fan pattern “A.” A specific cluster is highlighted in both the point pattern and cluster plot. (C) Individual tiles with detected cells enclosed within bounding boxes. The deep-learning detection precision was 95.43%. (D) Point patterns of the tiles with symbols indicating different cell types and spatial variables, including the area of bounding boxes as an approximation of the nuclear area, nearest neighbor distances between cell centroids, and point counts for cell density calculation.
Spatial variable extraction from digital slides using deep-learning, affinity-propagation clustering, and spatial statistics. (A) Left to right: Whole-slide image scan of an OCT2-stained tissue section of NLPHL with Fan pattern “C.” A highlighted 256 × 256-pixel tile is magnified in panel C. The planar point pattern after cell detection, showing LP cell and B-cell centroids. LP cell clusters are identified using affinity-propagation clustering. (B) Planar point pattern and result of affinity-propagation clustering of LP cell centroids in an NLPHL case with Fan pattern “A.” A specific cluster is highlighted in both the point pattern and cluster plot. (C) Individual tiles with detected cells enclosed within bounding boxes. The deep-learning detection precision was 95.43%. (D) Point patterns of the tiles with symbols indicating different cell types and spatial variables, including the area of bounding boxes as an approximation of the nuclear area, nearest neighbor distances between cell centroids, and point counts for cell density calculation.
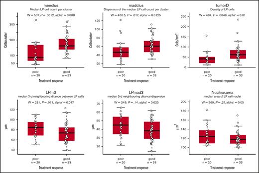
Deep learning achieved a high mean average precision in cell detection, comparable with that reported in the literature21 (mean ± SD: 95.24 ± 0.17%). In patients with poor response, the number of LP cells per cluster was nearly half that of those with good response (median ± MAD: 87.5 ± 56 vs 161.5 ± 64.5; P = .0012; Table 1, Figure 2). Correspondingly, the density of LP cells was 1.5 times lower in poorly responding patients compared with those with good response (median ± MAD: 40.6 ± 23.2 cells/mm2 vs 61.3 ± 32.4 cells/mm2; P = .0049; Table 1, Figure 2). These findings were statistically significant after adjustment for multiple tests. It is counterintuitive that a poor chemotherapy response was associated with a lower LP cell density. However, LP cell density was measured before treatment; thus, differences in LP cell proliferation or apoptosis rates may explain the relationship between poor chemotherapy responses and lower LP cell density.22,23 For example, slow-cycling drug-tolerant cancer cells are known to contribute to therapy failure in lymphoma and other cancer types.24,25 However, preliminary analysis could not confirm the hypothesis (refer to supplemental Information for details). Although LP cell size was previously hypothesized to hinder tumor spread,11 we found no difference in LP cell nuclei size between Fan patterns or good and poor responders. Additional studies are required to investigate LP cell density differences, their association with chemotherapy failure in pediatric NLPHL, and their potential as a prognostic marker in this context.
Comparison of LP cell-derived spatial variables grouped by treatment response in patients with NLPHL. The Mann-Whitney U test was used to compare treatment response groups, with the P value and Holm-Bonferroni adjusted local significance level (alpha’) for a target alpha of 0.05, as shown above the plot. The results indicate that the density and number of LP cells per cluster were significantly different between the treatment response groups. The plot shows individual data points as empty circles, with the median depicted as a black bar, the upper and lower quartiles shown in a red box, and whiskers representing 1.5 times the interquartile range. A small value of n refers to the number of cases per group.
Comparison of LP cell-derived spatial variables grouped by treatment response in patients with NLPHL. The Mann-Whitney U test was used to compare treatment response groups, with the P value and Holm-Bonferroni adjusted local significance level (alpha’) for a target alpha of 0.05, as shown above the plot. The results indicate that the density and number of LP cells per cluster were significantly different between the treatment response groups. The plot shows individual data points as empty circles, with the median depicted as a black bar, the upper and lower quartiles shown in a red box, and whiskers representing 1.5 times the interquartile range. A small value of n refers to the number of cases per group.
Our exploratory analysis found no correlation between Fan classification or B-cell pattern variables and treatment response (Tables 1 and 2). In 10 out of 33 good responders, variant Fan patterns were found, compared with 10 variant patterns out of 20 poor responders (P = .24, Fisher exact test). This indicates that Fan classification is not useful for risk stratification in pediatric patients with early-stage NLPHL.
The limitations of this investigation are the small cohort size and the exclusive use of CVP therapy. Our findings may not apply to advanced-stage pediatric patients or adults.
In summary, LP cell distribution was significantly correlated with early chemotherapy response. To our knowledge, our report is the first to show a significant correlation between early chemotherapy response and cancer cell spatial pattern characteristics in pediatric NLPHL and might be useful for future risk-adapted trials.
Acknowledgments: The authors kindly thank Deutsche Krebshilfe, Elternverein für Leukämie- und krebskranke Kinder, Giessen e.V., Menschen für Kinder e.V., Tour der Hoffnung e.V., and Kinderkrebshilfe of the Journal Oldtimer Markt Mainz for their generous financial support. The authors also thank Sylvia Hartmann for reviewing the immunoarchitectural patterns of samples from Germany. A.B., D.K., C.M-K., and S.G. were supported by Deutsche Krebshilfe through grant DKH-70114098. C.M-K. and D.K. were supported by the Deutsche Krebshilfe grant DKH-108661.
Contribution: A.B., D.K., and S.G. conceptualized the research and obtained funding; A. Shankar reviewed the UK samples; C.M-K. reviewed samples from Germany; L.W. trained the neural network; S.S. developed the workflow and reconstructed and analyzed point patterns; S.S., D.H., and A. Schneider performed statistical analyses; and all authors contributed to the concept, drafting of the manuscript, and critically reviewed, edited, and approved the final manuscript.
Conflict-of-interest disclosure: The authors declare no competing financial interests.
Correspondence: Stefan Gattenloehner, Department of Pathology, University Hospital Giessen and Marburg GmbH, Langhansstrasse 10, 35392, Giessen, Germany; e-mail: Stefan.Gattenloehner@patho.med.uni-giessen.de.
References
Author notes
∗S.S. and A. Shankar are joint first authors.
†C.M-K., D.K., and S.G. are joint last authors.
Data will be available upon reasonable request from the corresponding author, Stefan Gattenloehner (Stefan.Gattenloehner@patho.med.uni-giessen.de).
The full-text version of this article contains a data supplement.


