Prophylaxis with a VWF/FVIII concentrate (Wilate) reduced bleeding in children/adults with all types of severe VWD vs on-demand treatment.
Prophylaxis with Wilate was well-tolerated with no thrombotic events.
Visual Abstract
Long-term prophylaxis with a von Willebrand factor (VWF) concentrate is recommended in patients with von Willebrand disease (VWD) who have a history of severe and frequent bleeds. However, data from prospective studies are scarce. WIL-31, a prospective, noncontrolled, international phase 3 trial, investigated the efficacy and safety of Wilate prophylaxis in severe patients with VWD. Male and female patients 6 years or older with VWD types 1, 2 (except 2N), or 3 who had completed a prospective, 6-month, on-demand, run-in study (WIL-29) were eligible to receive Wilate prophylaxis for 12 months. At baseline, patients (n = 33) had a median age of 18 years. Six (18%) patients had severe type 1, 5 (15%) had type 2, and 22 (67%) had type 3 VWD. The primary end point of a >50% reduction in mean total annualized bleeding rate (TABR) with Wilate prophylaxis vs prior on-demand treatment was met; mean TABR during prophylaxis was 5.2, representing an 84.4% reduction. The bleeding reduction was consistent across age, sex, and VWD types. The mean spontaneous ABR was 3.2, representing an 86.9% reduction vs on-demand treatment. During prophylaxis, 10 (30.3%) patients had 0 bleeding events and 15 (45.5%) patients had 0 spontaneous bleeding events. Of 173 BEs, 84.4% were minor and 69.9% treated. No serious adverse events related to study treatment and no thrombotic events were recorded. Overall, WIL-31 showed that Wilate prophylaxis was efficacious and well-tolerated in pediatric and adult patients with VWD of all types. The WIL-29 and WIL-31 trials were registered at www.ClinicalTrials.gov as #NCT04053699 and #NCT04052698, respectively.
Introduction
von Willebrand disease (VWD) is the most common inherited bleeding disorder with a prevalence of 0.6% to 1.3%.1 In VWD, hemostasis is impaired due to deficiency or dysfunction of von Willebrand factor (VWF).2 The severity of the bleeding phenotypes differs widely between patients with VWD, ranging from mild to severe, with type 3 VWD characterized by a severe bleeding phenotype.3
Long-term prophylaxis is recommended and well established in hemophilia. The goal of prophylaxis is to reduce bleeding rates to a minimum, reduce the risk of joint damage, and improve quality of life.4 The positive experience with prophylaxis in hemophilia provides a rationale for prophylaxis in VWD.5,6 Indeed, in a post-hoc analysis of 331 patients with VWD, patients on VWF prophylaxis had fewer bleeds, fewer hospitalizations due to bleeds, and a lower likelihood for joint damage and moderate chronic pain, compared with patients who were eligible for but not receiving prophylaxis.7 Current guidelines recommend that patients with VWD who have a history of severe and frequent bleeds should use long-term prophylaxis with a VWF product.8 However, long-term prophylaxis is not the current standard of care for patients with VWD. In a survey of 6208 patients with VWD, only 1.6% received prophylaxis, most of them type 3 patients who had experienced joint bleeding.9
Wilate is a plasma-derived factor concentrate containing VWF and factor VIII (FVIII) in a physiological 1:1 activity ratio, which is indicated in patients with VWD for treatment of bleeds and perioperative management of bleeding and for prophylaxis.10,11 Across 4 clinical trials of patients with VWD, 19 patients received Wilate for prophylaxis, and their bleeding rates were reduced during prophylaxis compared with previous treatment.12 Here, we present the efficacy and safety results of the phase 3 WIL-31 study, which collected data specifically in patients with VWD undergoing regular prophylaxis with Wilate after a prospective 6-month run-in phase of on-demand treatment (WIL-29).
Methods
Study design
WIL-31 (NCT04052698; WİLPROPHY) was a prospective, noncontrolled, international, multicenter phase 3 study investigating the efficacy and safety of Wilate prophylaxis in patients with VWD. WIL-31 was preceded by a 6-month prospective run-in study, WIL-29 (NCT04053699), during which patients received on-demand treatment with any available VWF concentrate. During WIL-31, patients received Wilate prophylaxis for 12 months. The recommended dosing of Wilate was 2 to 3 times per week at an intravenous dose of 20 to 40 IU/kg body weight and could be adapted based on individual patient responses. In the case of unacceptably frequent spontaneous breakthrough bleeding events (BEs; ie, >2 spontaneous BEs or 1 major spontaneous BE within a 30-day period), the dose of Wilate was to be increased by ∼5 IU/kg. If patients still experienced >2 spontaneous BEs after dose increase, the dosing frequency was increased from 2 times per week to 3 times per week. The decision whether treatment was required to treat breakthrough BEs, and the dose and duration of treatment, was made by the treating physician considering the location, extent of bleeding, and the clinical condition of the patient.
The study was performed in accordance with the Declaration of Helsinki and the respective local regulations. Voluntarily given, fully informed written and signed consent was obtained from patients (or their legal guardians) before any study-related procedures were conducted. Children who were old enough to understand the risks and benefits of the study were also informed and provided separately prepared assent forms.
The primary objective was to determine efficacy of Wilate prophylaxis in patients with type 3, type 2 (except patients with 2N, who typically show greater reduction of FVIII than VWF1), or severe type 1 VWD. Additional objectives included assessing the safety and tolerability of Wilate prophylaxis and assessing the efficacy of Wilate in the treatment of breakthrough bleeds and for surgical prophylaxis.
Patient eligibility
Patients were eligible if they were diagnosed with VWD type 1 (baseline VWF:RCo <30 IU/dL), 2A, 2B, 2M, or 3, were 6 years and older at the time of screening, and had completed WIL-29. Patients who experienced at least 6 BEs during WIL-29 (excluding menstrual bleeds) of which at least 2 were treated with a VWF-containing product, were eligible for WIL-31. Female patients of child-bearing potential must have had a negative urine pregnancy test at screening and agreed to use adequate birth control measures. In case hormonal contraception was used, the medication class should remain unchanged for the duration of the study.
Exclusion criteria included history or suspicion of VWF or FVIII inhibitors at screening, a thromboembolic event within 1 year before enrollment, severe liver or kidney disease, platelet count <100 000 μL−1 at screening (except for VWD type 2B), body weight <20 kg at screening, use of immunosuppressant drugs (other than antiretroviral chemotherapy), pregnancy or breast-feeding at the time of enrollment, cervical or uterine conditions causing abnormal uterine bleeding, treatment with any investigational medicinal product in another interventional clinical study at or within 4 weeks before enrollment, other coagulation disorders or bleeding disorders due to anatomical reasons, and known hypersensitivity to any of the components of the study drug.
End points
The primary end point of WIL-31 was to show a >50% reduction in mean total annualized bleeding rate (total ABR; TABR) during Wilate prophylaxis compared with prior on-demand treatment (ie, during WIL-29). Additional end points included spontaneous ABR (SABR), Pictorial Blood Loss Assessment Chart (PBAC) score for menstrual bleeds, annual rate of heavy menstrual bleeds, Wilate consumption for prophylaxis, incremental in vivo recovery (IVR), treatment-emergent adverse events (TEAEs), and proportion of successfully treated breakthrough bleeds and surgical prophylaxis. The efficacy assessment of treatment of BEs and surgical prophylaxis included the categories “excellent,” “good,” “moderate,” and “none” (supplemental Table 1). All efficacy ratings assessed as either “excellent” or “good” were considered successfully treated.
Heavy menstrual bleeding was defined as any menstrual bleeding that impedes the ability to perform daily activities such as work, housework, exercise, or social activities during menstrual periods and should be considered “major.” Criteria for heavy (ie, major) menstrual bleeding could also include any of the following: changing pads/tampons more frequently than hourly; menstrual bleeding lasting 7 or more days; and the presence of clots >1 cm combined with a history of flooding or a PBAC score ≥185.
Incremental IVR of Wilate over time for VWF and FVIII were measured by the VWF:RCo and 1-stage assays, respectively, at baseline and after 1, 2, 3, 6, 9, and 12 months of treatment. For all patients, the IVR was measured after administration of a prophylactic dose except for the baseline measurement in pediatric patients for whom a dose was 60 ± 10 IU/kg was administered. IVRs were calculated from blood samples taken within 60 minutes before and 60 ± 5 minutes after injection.
Retention samples for possible VWF/FVIII inhibitor testing were collected and stored at the central laboratory at the screening/baseline visit before the first treatment. In addition, VWF and FVIII inhibitor testing was to be performed at any time during the study if inhibitor development was suspected. For the determination of VWF inhibitors, a mixing study based on VWF:RCo was used. For the determination of FVIII inhibitors, the modified Bethesda assay (Nijmegen modification) was used.
Compliance with the investigator-assigned treatment regimen was checked using study diaries, drug accountability, and monthly compliance checks.
Statistical analysis
For the analysis of the primary end point, individual ABRs under prophylactic treatment in WIL-31 were compared with ABRs during on-demand treatment (ie, during the prospective WIL-29 run-in study). ABR calculations were based on the number of BEs occurring within the on-demand or prophylaxis period relative to the time in the on-demand or prophylaxis period. TABR was calculated as the total number of spontaneous, traumatic and other bleeds (excluding menstrual bleeds and BEs occurring within surgery periods). Analysis of patient characteristics, additional efficacy end points and safety were performed descriptively. Efficacy analyses were performed on the modified full analysis set, which excluded 10 patients from the safety analysis set due to unconfirmed VWD status. Safety was assessed in all patients who received ≥1 dose of Wilate.
Results
Patient disposition and demographics
The study enrolled 44 patients from 17 centers in 9 countries. Forty-three patients were treated with Wilate for prophylaxis and included in the safety analysis set. Ten patients had baseline VWF:RCo >30 IU/mL and were excluded from the modified full analysis set due to unconfirmed VWD status. Thirty patients completed the study (Figure 1). All efficacy end points were based on the modified full analysis set.
The demographics and baseline characteristics of patients in the modified full analysis set are summarized by VWD type in Table 1. Twenty-seven percent were less than 12 years old; 18% had severe type 1 VWD, 15% had type 2A, and 67% had type 3. Fourteen (42%) patients were females, of whom 7 (21%) were of child-bearing potential.
Demographics and characteristics at baseline for patients in the modified full analysis set
| Characteristic . | VWD subtype . | |||
|---|---|---|---|---|
| Type 1 (N = 6) . | Type 2A (N = 5) . | Type 3 (N = 22) . | All types (N = 33) . | |
| Age at screening, y: median (range) | 16 (9-52) | 16 (7-46) | 19 (7-61) | 18 (7-61) |
| Age at screening, n (%) | ||||
| 6 to <12 y | 2 (33) | 2 (40) | 5 (23) | 9 (27) |
| 12 to <17 y | 1 (17) | 1 (20) | 4 (18) | 6 (18) |
| ≥17 y | 3 (50) | 2 (40) | 13 (59) | 18 (55) |
| Weight at screening, kg: median (range) | 64 (26-94) | 62 (21-104) | 61 (22-112) | 61 (21-112) |
| Height at screening, cm: median (range) | 158 (136-175) | 168 (124-181) | 167 (118-182) | 167 (118-182) |
| Sex | ||||
| Males | 2 (33) | 3 (60) | 14 (64) | 19 (58) |
| Females | 4 (67) | 2 (40) | 8 (36) | 14 (42) |
| Race, N (%) | ||||
| Black or African American | 1 (17) | - | - | 1 (3) |
| Caucasian | 5 (83) | 5 (100) | 22 (100) | 32 (97) |
| Blood type, n (%) | ||||
| A | 4 (67) | 4 (80) | 10 (45) | 18 (55) |
| B | - | 1 (20) | 4 (18) | 5 (15) |
| AB | 1 (17) | - | - | 1 (3) |
| O | 1 (17) | - | 8 (36) | 9 (27) |
| Family history of VWD, n (%) | 4 (67) | 5 (100) | 9 (41) | 18 (55) |
| Baseline factor level, IU/dL, mean (SD) | ||||
| VWF ristocetin cofactor assay | 10.7 (8.0) | 8.4 (2.6) | 5.2 (0.7) | 6.7 (4.0) |
| FVIII activity, 1-stage assay | 29.1 (35.2) | 30.5 (5.5) | 4.9 (5.3) | 13.2 (18.9) |
| FVIII activity, chromogenic assay | 25.2 (30.5) | 25.0 (7.6) | 4.4 (3.2) | 11.3 (16.1) |
| Characteristic . | VWD subtype . | |||
|---|---|---|---|---|
| Type 1 (N = 6) . | Type 2A (N = 5) . | Type 3 (N = 22) . | All types (N = 33) . | |
| Age at screening, y: median (range) | 16 (9-52) | 16 (7-46) | 19 (7-61) | 18 (7-61) |
| Age at screening, n (%) | ||||
| 6 to <12 y | 2 (33) | 2 (40) | 5 (23) | 9 (27) |
| 12 to <17 y | 1 (17) | 1 (20) | 4 (18) | 6 (18) |
| ≥17 y | 3 (50) | 2 (40) | 13 (59) | 18 (55) |
| Weight at screening, kg: median (range) | 64 (26-94) | 62 (21-104) | 61 (22-112) | 61 (21-112) |
| Height at screening, cm: median (range) | 158 (136-175) | 168 (124-181) | 167 (118-182) | 167 (118-182) |
| Sex | ||||
| Males | 2 (33) | 3 (60) | 14 (64) | 19 (58) |
| Females | 4 (67) | 2 (40) | 8 (36) | 14 (42) |
| Race, N (%) | ||||
| Black or African American | 1 (17) | - | - | 1 (3) |
| Caucasian | 5 (83) | 5 (100) | 22 (100) | 32 (97) |
| Blood type, n (%) | ||||
| A | 4 (67) | 4 (80) | 10 (45) | 18 (55) |
| B | - | 1 (20) | 4 (18) | 5 (15) |
| AB | 1 (17) | - | - | 1 (3) |
| O | 1 (17) | - | 8 (36) | 9 (27) |
| Family history of VWD, n (%) | 4 (67) | 5 (100) | 9 (41) | 18 (55) |
| Baseline factor level, IU/dL, mean (SD) | ||||
| VWF ristocetin cofactor assay | 10.7 (8.0) | 8.4 (2.6) | 5.2 (0.7) | 6.7 (4.0) |
| FVIII activity, 1-stage assay | 29.1 (35.2) | 30.5 (5.5) | 4.9 (5.3) | 13.2 (18.9) |
| FVIII activity, chromogenic assay | 25.2 (30.5) | 25.0 (7.6) | 4.4 (3.2) | 11.3 (16.1) |
Efficacy of bleeding prophylaxis
The primary end point of WIL-31 was met. The mean TABR decreased from 33.4 during on-demand treatment in WIL-29 to 5.2 during regular prophylaxis in WIL-31, representing a reduction of 84.4% (Table 2). TABR was reduced consistently across age groups and VWD types, with reductions ranging from 67.8% to 96.6% (Table 2). One patient who had an underlying gastrointestinal condition (relapsing and remitting ulcers in the small bowel) accounted for the majority (35/54) of BEs in patients with type 1 VWD in WIL-31. The total ABR of this patient was higher in WIL-31 (35.81) than in WIL-29 (21.84) due in part to an increase in gastrointestinal BEs and a clip failure at an anastomosis site. Without this patient, the reduction in total ABR in patients with severe type 1 VWD was 87%. Individual TABRs by VWD type are shown in Figure 2. Reductions of over 85% were also seen in treated TABR, SABR, and treated SABR (supplemental Table 2), with consistent reductions across age groups and VWD types (supplemental Table 2). Reductions in mean TABR and SABR were comparable between male and female patients (Table 2; supplemental Table 3). Reductions in mean TABRs ranging from 75.6% to 98.2% were seen across sites of bleeding (nose, oral cavity, joints, arm or leg muscle, and other sites). Gastrointestinal TABRs were comparable between WIL-29 and WIL-31 (0.36 and 0.37, respectively), but occurred in only 1 patient during WIL-31; this patient had underlying medical conditions (as discussed below).
Efficacy of Wilate prophylaxis: TABR and SABR in all patients and TABR in patient groups by age, VWD type and sex in the modified full analysis set
| Patients . | On-demand (WIL-29) . | Prophylaxis (WIL-31) . | Change (%)∗ . |
|---|---|---|---|
| TABR | |||
| All (n = 33) | |||
| Mean (SD) | 33.4 (23.6) | 5.2 (7.7) | −84.4 |
| Median (range) | 24.5 (11.0-114.5) | 1.9 (0.0-35.8) | −92.2 |
| Age group | |||
| 6 to <12 y (n = 9) | |||
| Mean (SD) | 32.5 (21.4) | 3.7 (4.8) | −88.6 |
| Median (range) | 24.0 (11.0-75.8) | 1.0 (0.0-13.9) | −95.8 |
| 12 to <17 y (n = 6) | |||
| Mean (SD) | 28.9 (21.0) | 4.3 (4.6) | −85.1 |
| Median (range) | 22.5 (12.8-70.1) | 3.4 (0.0-12.8) | −84.9 |
| ≥17 y (n = 18) | |||
| Mean (SD) | 35.3 (26.3) | 6.3 (9.6) | −82.2 |
| Median (range) | 26.6 (14.8-114.5) | 1.5 (0.0-35.8) | −94.4 |
| VWD type | |||
| Severe type 1 (n = 6) | |||
| Mean (SD) | 28.3 (17.8) | 9.1 (14.2) | −67.8 |
| Median (range) | 20.3 (14.8-60.6) | 2.5 (0.0-35.8) | −87.7 |
| Type 2A (n = 5) | |||
| Mean (SD) | 23.3 (4.6) | 0.8 (1.8) | −96.6 |
| Median (range) | 24.0 (16.4-29.1) | 0.0 (0.0-4.0) | −100 |
| Type 3 (n = 22) | |||
| Mean (SD) | 37.1 (26.9) | 5.2 (5.8) | −86.0 |
| Median (range) | 28.3 (11.0-114.5) | 2.5 (0.0-21.1) | −91.2 |
| Sex | |||
| Male (n = 19) | |||
| Mean (SD) | 33.8 (21.2) | 6.0 (9.0) | −82.2 |
| Median (range) | 28.7 (11.0-92.8) | 3.0 (0.0-35.8) | −89.5 |
| Female (n = 14) | |||
| Mean (SD) | 32.8 (27.3) | 4.2 (5.8) | −87.2 |
| Median (range) | 23.9 (14.8-114.5) | 1.0 (0.0-14.9) | −95.8 |
| Treated TABR | |||
| All (n = 33) | |||
| Mean (SD) | 26.1 (22.4) | 3.7 (6.7) | −85.8 |
| Median (range) | 22.4 (3.7-114.5) | 1.0 (0.0-35.8) | −95.5 |
| SABR | |||
| All (n = 33) | |||
| Mean (SD) | 24.4 (20.1) | 3.2 (5.9) | −86.9 |
| Median (range) | 18.7 (4.9-92.8) | 1.0 (0.0-24.6) | −94.7 |
| Treated SABR | |||
| All (n = 33) | |||
| Mean (SD) | 19.0 (16.3) | 2.3 (5.0) | −87.9 |
| Median (range) | 16.4 (1.9-77.0) | 0.0 (0.0-24.6) | −100.0 |
| Patients . | On-demand (WIL-29) . | Prophylaxis (WIL-31) . | Change (%)∗ . |
|---|---|---|---|
| TABR | |||
| All (n = 33) | |||
| Mean (SD) | 33.4 (23.6) | 5.2 (7.7) | −84.4 |
| Median (range) | 24.5 (11.0-114.5) | 1.9 (0.0-35.8) | −92.2 |
| Age group | |||
| 6 to <12 y (n = 9) | |||
| Mean (SD) | 32.5 (21.4) | 3.7 (4.8) | −88.6 |
| Median (range) | 24.0 (11.0-75.8) | 1.0 (0.0-13.9) | −95.8 |
| 12 to <17 y (n = 6) | |||
| Mean (SD) | 28.9 (21.0) | 4.3 (4.6) | −85.1 |
| Median (range) | 22.5 (12.8-70.1) | 3.4 (0.0-12.8) | −84.9 |
| ≥17 y (n = 18) | |||
| Mean (SD) | 35.3 (26.3) | 6.3 (9.6) | −82.2 |
| Median (range) | 26.6 (14.8-114.5) | 1.5 (0.0-35.8) | −94.4 |
| VWD type | |||
| Severe type 1 (n = 6) | |||
| Mean (SD) | 28.3 (17.8) | 9.1 (14.2) | −67.8 |
| Median (range) | 20.3 (14.8-60.6) | 2.5 (0.0-35.8) | −87.7 |
| Type 2A (n = 5) | |||
| Mean (SD) | 23.3 (4.6) | 0.8 (1.8) | −96.6 |
| Median (range) | 24.0 (16.4-29.1) | 0.0 (0.0-4.0) | −100 |
| Type 3 (n = 22) | |||
| Mean (SD) | 37.1 (26.9) | 5.2 (5.8) | −86.0 |
| Median (range) | 28.3 (11.0-114.5) | 2.5 (0.0-21.1) | −91.2 |
| Sex | |||
| Male (n = 19) | |||
| Mean (SD) | 33.8 (21.2) | 6.0 (9.0) | −82.2 |
| Median (range) | 28.7 (11.0-92.8) | 3.0 (0.0-35.8) | −89.5 |
| Female (n = 14) | |||
| Mean (SD) | 32.8 (27.3) | 4.2 (5.8) | −87.2 |
| Median (range) | 23.9 (14.8-114.5) | 1.0 (0.0-14.9) | −95.8 |
| Treated TABR | |||
| All (n = 33) | |||
| Mean (SD) | 26.1 (22.4) | 3.7 (6.7) | −85.8 |
| Median (range) | 22.4 (3.7-114.5) | 1.0 (0.0-35.8) | −95.5 |
| SABR | |||
| All (n = 33) | |||
| Mean (SD) | 24.4 (20.1) | 3.2 (5.9) | −86.9 |
| Median (range) | 18.7 (4.9-92.8) | 1.0 (0.0-24.6) | −94.7 |
| Treated SABR | |||
| All (n = 33) | |||
| Mean (SD) | 19.0 (16.3) | 2.3 (5.0) | −87.9 |
| Median (range) | 16.4 (1.9-77.0) | 0.0 (0.0-24.6) | −100.0 |
Percent reduction from on-demand treatment to prophylaxis.
Individual TABR during 6-month on-demand treatment period and during 12-month prophylaxis by VWD type. ∗In 1 severe type 1 VWD patient with small bowel ulcers, the total ABR was higher in WIL-31 (35.81) than in WIL-29 (21.84) due in part to an increase in gastrointestinal BEs and a clip failure at an anastomosis site. Modified full analysis set, n = 33.
Individual TABR during 6-month on-demand treatment period and during 12-month prophylaxis by VWD type. ∗In 1 severe type 1 VWD patient with small bowel ulcers, the total ABR was higher in WIL-31 (35.81) than in WIL-29 (21.84) due in part to an increase in gastrointestinal BEs and a clip failure at an anastomosis site. Modified full analysis set, n = 33.
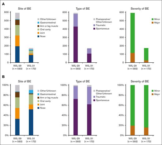
During prophylaxis with Wilate, 173 BEs occurred in 23 patients (Figure 3). Of those BEs, 107 were spontaneous (of which 76 [71%] were treated), 60 were traumatic (of which 40 [67%] were treated), and 1 was postoperative, which was treated. Most BEs were minor (84.4%), and all major BEs occurred in patients ≥12 years old. The most frequent locations of bleeding were the nose (51.4%), oral cavity (20.2%), and joints (9.8%) (Figure 3). During the prior on-demand period, all 33 patients experienced a total of 593 BEs. The most frequent locations of bleeding were also the nose (32.7%), joints (21.6%), oral cavity (21.1%), arm/leg muscles (10.8%), but with a lower percentage of nose bleeds and higher percentage of joint bleeds compared with the prophylaxis period (Figure 3). The distribution of BEs by age group (supplemental Figure 1) and sex (supplemental Figure 2) were similar.
Occurrence of bleeds. Twenty-three of 33 patients in the modified full analysis set experienced 173 BEs (excluding menstrual bleeds) during Wilate prophylaxis in WIL-31. All 33 patients experienced a total of 593 BEs during on-demand treatment in WIL-29. (A) Number of BEs by site, type, and severity, (B) Percentage of BEs by site, type, and severity.
Occurrence of bleeds. Twenty-three of 33 patients in the modified full analysis set experienced 173 BEs (excluding menstrual bleeds) during Wilate prophylaxis in WIL-31. All 33 patients experienced a total of 593 BEs during on-demand treatment in WIL-29. (A) Number of BEs by site, type, and severity, (B) Percentage of BEs by site, type, and severity.
Two patients had underlying medical conditions other than VWD that led to a higher likelihood of spontaneous bleeds. One male patient (severe type 1 VWD; aged 52 years) had relapsing and remitting small bowel ulcers. His SABR increased slightly from 21.8 during on-demand treatment to 24.5 during prophylaxis. Another male patient (type 3 VWD, aged 32 years) had frequent oral cavity bleeds due to gingivitis (19 of 20 oral cavity BEs were untreated). These oral bleeds reduced after implementing oral hygiene measures; his SABR decreased from 32.2 during on-demand treatment to 18.1 during prophylaxis. A sensitivity analysis was performed excluding these 2 patients. In the sensitivity analysis, the mean TABRs and SABRs were 33.7 and 24.3 during on-demand treatment and 3.7 and 2.1 during prophylaxis, representing a reduction of 89% for TABR and 91% for SABR.
Of the 33 patients included in the analysis, 30.3% had 0 total BEs during prophylaxis and 54.5% had 0 treated spontaneous BE during 12 months of prophylaxis (Figure 4).
Patients with 0 bleeds during 12 months of prophylaxis. Modified full analysis set, n = 33.
Patients with 0 bleeds during 12 months of prophylaxis. Modified full analysis set, n = 33.
Menstrual bleeds
There were 7 females of child-bearing potential in the modified full analysis set, 3 of whom did not complete PBAC assessments. Mean (standard deviation; SD) intrapatient heavy menstrual ABR (n = 4) improved from 10.2 (2.8) during on-demand treatment to 3.0 (3.4) during prophylaxis. Mean intraindividual median scores (n = 4) decreased by 42.6% from 227.3 (91.7) during on-demand treatment to 130.5 (59.9) during prophylaxis.
Incremental IVR
IVRs for VWF and FVIII activity were stable throughout the study (Figure 5). The mean (95% confidence interval) IVR for VWF was 1.3 (1.1-1.5) at baseline and 1.3 (1.0-1.5) at 12 months. The corresponding values for FVIII IVR were 1.6 (1.4-1.7) and 2.0 (1.8-2.3). Post-infusion VWF and FVIII plasma levels are shown in supplemental Table 4. IVR data indicate that no accumulation of VWF and FVIII was observed during the 12 months of prophylaxis with Wilate.
Incremental IVR for VWF and FVIII over time. Modified full analysis set, n = 33. (A) VWF:RCo, (B) FVIIII:C (1-stage assay). BL, baseline; CI, confidence interval.
Incremental IVR for VWF and FVIII over time. Modified full analysis set, n = 33. (A) VWF:RCo, (B) FVIIII:C (1-stage assay). BL, baseline; CI, confidence interval.
Wilate consumption for prophylaxis
The median (range) weekly dose of Wilate used in this study for prophylaxis was 58 (28-114) IU/kg. At the start of the study, 91% of patients were on twice-weekly dosing and 9% on a 3-times-per-week dosing regimen. At the end of the study, 70% of patients received twice-weekly dosing and 30% three times per week dosing. Most patients (79%) did not require a change in dosing frequency during the course of the study. All patients, with the exception of 1 patient who discontinued after 2 doses, received at least 80% of the doses according to their prescribed treatment regimen, which indicates a high level of compliance.
On-demand treatment of breakthrough bleeds and perioperative treatment
Of the 173 breakthrough BEs, 121 BEs in 22 patients were treated with Wilate. Treatment of 99% of bleeds (100% of minor bleeds and 96% of major bleeds) was rated “excellent” (90%) or “good” (9%) by the patients. Most (87%) of treated BEs were managed with 1 (92 BEs) or 2 (13 BEs) infusions.
Wilate was used for perioperative management of bleeding during 13 surgical procedures in 3 patients (3 major and 10 minor surgeries). The mean (SD) total perioperative dose of Wilate per surgery was 68 (34) IU/kg administered over 2 (1) exposure days. Perioperative treatment was rated “excellent” for all 12 procedures rated by the surgeon and for all 13 procedures rated by the hematologist and investigator. In 11 procedures with available data, mean (SD) actual and average expected blood loss were 19 (14) and 19 (16), respectively. No wound hematomas were observed.
Safety/tolerability
The 43 patients in the safety analysis set received a total of 7 742 480 IU of Wilate via 3948 infusions during WIL-31. TEAEs reported in the safety analysis set are summarized in Table 3. Two patients had a total of 5 TEAEs possibly related to the study drug, which led to discontinuation. One patient developed mild chest tightness on 3 occasions and discontinued Wilate after 2 exposure days, and 1 patient had moderate hypersensitivity reactions on 2 occasions and discontinued Wilate after 6 exposure days. Five serious TEAEs occurred in 4 patients: 2 events of heavy menstrual bleeding in 1 patient, and events of COVID-19 pneumonia, food poisoning, and hemorrhoidal hemorrhage, each in single patients. None of these were considered related to Wilate. No thrombotic events were detected, and there were no deaths.
TEAEs during prophylaxis with Wilate (safety analysis set, n = 43)
| Parameter . | n (%) . |
|---|---|
| Number of TEAEs | 78 |
| Patients with ≥1 TEAE | 26 (60.5) |
| Number of related∗TEAE | 5 |
| Patients with ≥1 related∗ TEAE | 2 (4.7) |
| Discontinuations due to TEAE | 2 (4.7) |
| Number of serious TEAEs | 5 |
| Patients with ≥1 serious TEAE | 4 (9.3) |
| Patients with ≥1 related∗ serious TEAE | 0 (0.0) |
| Discontinuations due to serious TEAE | 0 (0.0) |
| Deaths due to TEAE | 0 (0.0) |
| Parameter . | n (%) . |
|---|---|
| Number of TEAEs | 78 |
| Patients with ≥1 TEAE | 26 (60.5) |
| Number of related∗TEAE | 5 |
| Patients with ≥1 related∗ TEAE | 2 (4.7) |
| Discontinuations due to TEAE | 2 (4.7) |
| Number of serious TEAEs | 5 |
| Patients with ≥1 serious TEAE | 4 (9.3) |
| Patients with ≥1 related∗ serious TEAE | 0 (0.0) |
| Discontinuations due to serious TEAE | 0 (0.0) |
| Deaths due to TEAE | 0 (0.0) |
Assessed as probably or possibly related to the study treatment by the investigator.
Immunogenicity
None of the patients developed an inhibitor to VWF or FVIII during the study. Two brothers with type 3 VWD tested positive for VWF inhibitors at the 6 months visit. Inhibitor testing was performed in these patients because PK data showed very small increases in VWF:RCo levels after Wilate administration, however, neither patient had clinical signs of inhibitors and the bleeding rates had decreased in both patients after starting prophylaxis. Retrospective testing of retention samples taken at the baseline study visit revealed that both patients already had VWF inhibitors before entering the study and receiving Wilate prophylaxis. Prophylaxis with Wilate was continued in both patients due to efficacy observed. In 1 patient the inhibitor titer was negative by the end of the study.
Discussion
The phase 3 WIL-31 study is the largest prospective study to date specifically investigating the efficacy and safety of VWF prophylaxis in patients with VWD. When compared with prospectively collected data from prior on-demand treatment, mean total and SABRs were reduced by over 84% in patients on Wilate prophylaxis. The efficacy of Wilate prophylaxis was comparable across VWD type and bleeding sites, in children and adults and in males and females. No serious TEAE related to the study drug and no thrombotic events were detected during 12 months of Wilate prophylaxis.
The data from WIL-31 confirm previous findings on the efficacy and safety of Wilate prophylaxis collected from 19 patients across 4 prospective clinical trials. These trials demonstrated the efficacy and safety of Wilate in adults and children either for the treatment or prevention of bleeds, or as surgical prophylaxis.12
Of the BEs that occurred during Wilate prophylaxis, 84% were minor. The most common sites of bleeding were the nose (51%) and the oral cavity (20%); fewer than 10% were joint bleeds. A significant proportion of BEs were traumatic (35%), and 30% of BEs did not require treatment. All but 1 of the BEs requiring treatment were effectively managed with Wilate, with most (87%) BEs requiring only 1 or 2 infusions to resolve. These data also provide valuable insights into the effect of Wilate prophylaxis on heavy menstrual bleeding, 1 of the leading symptoms in women with VWD.13 Prophylaxis with Wilate led to an improvement in heavy menstrual ABRs and PBAC scores, compared with on-demand treatment, albeit in a small sample size.
International VWD management guidelines published in 2021 highlighted the need for large-scale studies comparing the use of prophylaxis with on-demand therapy in patients with VWD.8 Long-term prophylaxis is the standard of care for patients with hemophilia A but is underutilized in those with VWD. Patients with VWD receiving prophylaxis benefit from a lower disease burden vs those who do not, with fewer joint bleeds, fewer hospitalizations related to bleeds, and a lower risk of joint damage.7 Yet, in contrast to hemophilia, fewer than 10% of patients with severe VWD receive prophylaxis.6,9 The majority (75%) of patients with VWD receiving prophylaxis have type 3 VWD.9 In patients with type 3 VWD, prophylaxis is initiated in a higher proportion of patients with nose bleeds (24%) or with gastrointestinal bleedings (24%) than in females with heavy menstrual bleeding (7%),6 suggesting that not all bleeding phenotypes receive the same attention and care. Patients with type 1 and type 2 (except 2B) VWD are typically treated with desmopressin, despite evidence of effective long-term prophylaxis with factor replacement concentrates.6,8
The results of the WIL-31 study provide convincing evidence to support the broader use of VWF prophylaxis in patients with all types of VWD compared with current treatment practices. Increased use of VWF prophylaxis in patients with VWD may lead to improved patient care, improved joint health, a reduced burden of disease, and improved health-related quality of life. The data from this study also support a reassessment and update of current treatment recommendations. Guidelines on how to identify those patients with VWD who require prophylaxis are needed, including the optimal dosing regimens across the range of VWD phenotypes. Future research may clarify how new methods such as next-generation sequencing may help to identify patients who would benefit most from prophylaxis.
The efficacy and safety of prophylaxis with vonicog alfa (Vonvendi), a recombinant VWF lacking FVIII, was assessed recently in patients with VWD in a phase 3 study (NCT02973087).14 The study included 13 patients who had been previously treated on-demand and 10 patients who had previously received prophylaxis with another VWF concentrate. The study excluded children, and most participants (18 of 23) had type 3 VWD.14 Based on the results of the study, Vonvendi was approved in the United States for routine prophylaxis in adults (≥18 years) with type 3 VWD switching from on-demand treatment,15 but not for those switching from prior prophylaxis or for type 1 or type 2 VWD. In contrast to this study, WIL-31 included both adults and children, and had a broader distribution of patients across the different VWD types. Based on the results of WIL-31, Wilate was approved in the United States for routine prophylaxis in children ≥6 years and adults with VWD of any type.10
The dosing frequency was similar between the 2 studies, with most patients being on twice-weekly dosing, but VWF doses differed. In the study with Vonvendi, the median weekly VWF dose was 95.6 and 106.8 IU/kg in the prior on-demand and for the prior prophylaxis groups, respectively. In WIL-31, the median weekly dose of Wilate was much lower, that is, 58 IU/kg. Despite this markedly lower dose, Wilate prophylaxis resulted in a similar reduction in bleeding to that seen with Vonvendi. In adult patients (≥17 years old), Wilate reduced the treated SABR by 85%, whereas Vonvendi reduced the treated SABR by 92% in the patients on prior on-demand treatment.14 Interestingly, the reduction was only 49% with Vonvendi in a post-hoc analysis of type 3 patients with VWD when untreated BEs were included for the analysis,16 whereas with Wilate the reduction in untreated SABR in type 3 patients with VWD was 89%. Of the 31 treated breakthrough BEs in the study with Vonvendi, 7 (22.6%) BEs required recombinant FVIII infusions in addition to treatment with VWF,14 supporting the clinical relevance of a preparation containing both VWF and FVIII. No serious TEAEs developed in patients receiving prophylaxis with Wilate or Vonvendi.14 Although no thrombotic events were detected with Wilate, a case of purpura occurred with Vonvendi.14 Two patients discontinued WIL-31 due to hypersensitivity and chest discomfort, respectively. Hypersensitivity reactions are expected as these are known to occasionally occur after administration of plasma-derived or recombinant VWF concentrates.10,11,14,15,17
Limitations of the WIL-31 study include the study not being randomized or controlled and being open-label. The study included mostly Caucasian patients and no patients with type 2N VWD. For the subgroup analysis by age and VWD type, some of the patient numbers were relatively low (5-22 patients per group). The strengths of WIL-31 were inclusion of the run-in study (WIL-29) to prospectively collect data for intraindividual comparisons, its large sample size, and diversity of patients (including children and adults, males and females, and all types of patients with VWD [except type 2N]).
In summary, WIL-31 provides convincing evidence that prophylaxis with Wilate is efficacious and well-tolerated across VWD types, in children and adults, and in males and females. Efficacious prophylaxis was achieved with 2 to 3 infusions of Wilate per week and relatively low Wilate doses. This study addresses the need for more data on VWF prophylaxis, and the positive results support the updating of current guidelines for use of VWF prophylaxis in patients with VWD with a severe bleeding phenotype.
Acknowledgments
This study was supported by research funding from Octapharma AG to R.F.S. Jr, A.B., L.D., A.I., C.K., T.L., L.N., D.N., E.P., A.T.T., M.A.T., K.V.V., V.V., and C.D.K. Natascha Blaudeck (Ergomed GmbH, Frankfurt am Main, Germany) provided support with programming and data analysis, which was funded by Octapharma AG. Linda Simmler (nspm ltd, Meggen, Switzerland) provided medical writing assistance, which was funded by Octapharma AG.
Authorship
Contribution: R.F.S. Jr, S.W., and S.K. contributed to the design of the study and analysis/interpretation of the data; all authors contributed to the collection of data and had access to the primary clinical trial data; and all authors contributed to the writing of the manuscript, provided critical revision, and approved the final version for publication.
Conflict-of-interest disclosure: R.F.S. Jr has received research funding from Octapharma and Takeda, honoraria for consulting and advisory boards from Octapharma, Takeda, Laboratoire français du Fractionnement et des Biotechnologies (LFB), Sanofi, SOBI, Novo Nordisk, Bayer, Pfizer, BioMarin, Vega, Guardian Therapeutics, payment for expert testimony from Sanofi; has participated on a data safety monitoring board or advisory board for Uniqure; and has had a role as American Thrombosis and Hemostasis Network board member, International Society on Thrombosis and Haemostasis (ISTH) Chair, Hemophilia Federation of America medical adviser, and with the Medical and Scientific Advisory Council of the National Hemophilia Foundation. A.B. has received research funding from Octapharma, honoraria from Amgen, AstraZeneca, Bayer, CSL Behring, Novo Nordisk, Octapharma, Pfizer, Roche, SOBI, Swixx, and Takeda and travel support from SOBI, Novo Nordisk, Takeda; has participated on a data safety monitoring board or advisory board for SOBI, Takeda, Bayer, Swixx, AstraZeneca, and has had a role in the European Association for Haemophilia and Allied Disorders and ISTH. L.D. has participated as a clinical trial investigator for Octapharma. A.I. has received consultancy and research funding from Novartis, Global Blood Therapeutics/Pfizer, Roche, Forma/Novo Nordisk, Vifor, and research funding from Agios and Octapharma. C.K. has received consulting fees from Novo Nordisk Hungaria, Takeda Pharma, and H-W-H; honoraria from Novo Nordisk Hungaria, Takeda Pharma, SOBI, Roche Hungary, and CSL Behring; and travel support from Novo Nordisk Hungaria, SOBI, and CSL Behring. Z.B. has received consulting fees, honoraria, and travel support from Novo Nordisk and Takeda. T.L. has received grant support and speakers fees from Octapharma. L.N. has received consulting fees from Octapharma, CSL Behring, Novo Nordisk, SOBI, and Takeda; honoraria from Octapharma, Takeda, Novo Nordisk, and SOBI; and received travel support from Octapharma, Novo Nordisk, and Takeda. A.T.T. has received grant support and consulting fees and consulting fees from Novartis, Bristol Myers Squibb, Vifor, Agios, and Pharmacosmos. S.W. is an employee of Octapharma USA. S.K is an employee of Octapharma AG. C.D.K. has received presentation and speaker fees from Octapharma, CSL Behring, and LFB and support for travel and attending meetings from Octapharma, CSL Behring, and LFB. The remaining authors declare no competing financial interests.
Correspondence: Robert F. Sidonio Jr, Aflac Cancer and Blood Disorders, Department of Pediatrics, Emory University School of Medicine, 1760 Haygood Dr, HSRB W340, Atlanta, GA 30322; email: robert.sidonio.jr@emory.edu.
References
Author notes
Data sets (including deidentified individual patient data) and related documents (including the clinical study report and redacted study protocol) are available upon request from the corresponding author, Robert F. Sidonio Jr (robert.sidonio.jr@emory.edu).
The full-text version of this article contains a data supplement.





