Key Points
Early relapse after CAR-T (≤3 months) is associated with poor outcome of subsequent BsAb therapy.
Lactate dehydrogenase, higher International Prognostic Index, and reractoriness to the last therapy predict poor outcome of BsAb after CAR-T failure.
Visual Abstract
Patients with large B-cell lymphoma (LBCL) who experience relapsed disease after CD19-directed chimeric antigen receptor (CAR) T-cell (CAR-T) therapy have a poor prognosis. Bispecific antibodies (BsAbs) induce complete remissions in ∼35% of these cases. Hypothesizing overlapping LBCL-intrinsic resistance mechanisms as well as common poor prognosis predictors to CAR-T and BsAb therapy, we conducted a multicenter retrospective analysis including 92 patients with relapsed/refractory (R/R) LBCL treated with BsAbs after CAR-T failure. Overall response rate (ORR) was 43%, with a progression-free survival (PFS) of 2.8 months. Patients receiving BsAbs during early relapse (≤3 months) achieved a significantly worse outcome (ORR, 29%; PFS, 2.2 months) compared with patients with an intermediate (4-6 months; ORR, 54%; PFS, 3.7 months) or a late relapse (>6 months; ORR, 60%; PFS, 10.5 months). The benefit of later relapse was particularly notable in patients receiving BsAbs as first salvage therapy compared with those receiving a BsAb in subsequent lines (PFS not reached vs 2.7 months; overall survival not reached vs 9.1 months, respectively). In addition to early R/R state before BsAbs, elevated lactate dehydrogenase and higher International Prognostic Index score were significant predictors of poor outcomes to BsAb in multivariate Cox regression analyses. The finding that patients with early relapse after CAR-T respond particularly poorly to BsAb highlights the necessity for alternative treatment options in this high-risk patient cohort.
Introduction
The introduction of CD19-directed chimeric antigen receptor (CAR) T-cell (CAR-T) therapy represents a major advance in treating patients with relapsed/refractory (R/R) large B-cell lymphoma (LBCL). In contrast to conventional therapies, CAR-T products achieved long-term remission in 35% to 40% of patients in clinical trials,1-5 which was confirmed in real-world analyses.6-10 However, relapse after CAR-T therapy remains a challenge and the most effective treatment for such relapses is still under debate. An American/Israeli working group documented better efficacy for lenalidomide- and polatuzumab vedotin–based treatments after CAR-T.11 In contrast, lenalidomide-based therapies resulted in better treatment outcomes in the analysis by the French DECART study group,9 whereas the Spanish/UK working group reported on the highest efficacy for polatuzumab vedotin–based regimens or bispecific antibodies (BsAbs)12 in relapse after CD19-directed CAR-T therapy. Despite differing recommendations, all reports concur that patients relapsing after CAR-T therapy generally face a poor prognosis.
Unlike chemotherapy, modern immunotherapies such as BsAbs or CAR-Ts depend on functional T cells, which are redirected to attack the cancer cells and are critical for efficacy. In particular, the quality of T cells collected during apheresis, including rates of naïve and central memory T cells and a T-helper cell 2 profile, has been associated with more durable responses across various diseases and treatment products.13-15 Although a similar predictive T-cell signature has not been established for BsAbs, a high rate of dysfunctional and exhausted CD8+/programmed cell death protein 1–positive T cells in the tumor microenvironment correlates with BsAb therapy failure.16 Supporting the importance of T-cell fitness, the efficacy of both CAR-Ts,17,18 and BsAbs19 can be compromised by lymphotoxic therapies such as bendamustine. Evidence suggests that a longer interval since bendamustine discontinuation enhances T-cell function, improving performance in subsequent lines of immunotherapy. Similarly, the combination of fludarabine and cyclophosphamide, the most frequent lymphodepletion protocol before CAR-T therapy, is lymphotoxic affecting lymphocyte count, T-cell phenotype, and T-cell function. Although cyclophosphamide has been widely used to modulate T and B cells in autoimmune diseases, fludarabine has shown substantial T-cell toxicities,20 with fludarabine-induced T-cell alterations persisting for months, unlike cyclophosphamide.21,22
So far, real-world data on the use of BsAbs after CAR-T failure are very scarce. Particularly, the questions arise how the time point of CAR-T- failure, and whether additional therapies between CAR-T therapy and BsAbs, may influence efficacy of the latter and if there may be a more lymphoma-intrinsic resistance to both BsAbs and CAR-Ts. To explore these questions, we analyzed a German/Swiss/Austrian multicenter cohort of patients treated with BsAbs after CAR-Ts.
Materials and methods
Patients
We conducted a retrospective, multicenter, multinational study that enrolled 92 consecutive patients with R/R LBCL who were treated with BsAbs outside of clinical trials at 24 study sites between September 2020 and July 2024 in Germany, Austria, and Switzerland. Outcomes and toxicity data from 39 patients treated in the glofitamab compassionate use program were previously reported.19 Patients were considered eligible for this study if they relapsed after CD19-directed CAR-T therapy and received BsAbs as the first treatment after CAR-Ts (BsAb as first salvage) or any later line thereafter (BsAb as later salvage). All licensed CD19-directed CAR-T products and CD3-CD20–directed BsAbs were considered.
Our study was evaluated centrally and approved by the institutional review board of the University of Muenster (2024-317-f-S). The study was conducted according to the guidelines of the Declaration of Helsinki. Clinical data were gathered from the medical records electronic patient files and electronic hospital database, and supplemented by patient-related documents. Patient data were locally pseudonymized, and summary statistics and end point analyses were performed centrally.
Response assessment and adverse event grading
Grading of cytokine release syndrome (CRS) and immune effector cell–associated neurotoxicity syndrome (ICANS) was performed according to the American Society for Transplantation and Cellular Therapy consensus grading.23 Other adverse events occurring during BsAb therapy were assessed per recommendations outlined in the Common Terminology Criteria for Adverse Events, version 5.0.24 Response to BsAb therapy was classified as complete response (CR), partial response (PR), stable disease (SD), and progressive disease (PD) according to the Lugano response criteria.25 The best overall response rate (BORR) was defined as the proportion of patients achieving CR or PR as their best response. Treatment-sensitive disease defined patients in CR or PR whereas patients with SD or PD as a best response were defined as treatment refractory. Response assessment was based on radiological criteria using computed tomography and/or positron emission tomography scans performed after initiating BsAb therapy. In cases of obvious clinical progression, the R/R disease after initiation of BsAb was defined beyond Lugano criteria (eg, clinical assessment or ultrasound). The data cutoff for the evaluation of outcomes was August 2024.
Clinical end points
The primary end points of this study were BORR, progression-free survival (PFS), and overall survival (OS) in patients who received BsAb as salvage therapy in R/R LBCL after CAR-T therapy failure. Additionally, secondary end points encompassed the assessment of the incidence and severity of CRS, ICANS, and other nonhematological toxicities after BsAb therapy. To facilitate comparative analyses, the patients included in this study were also categorized into cohorts based on the time point of CAR-T failure as early (within the first 3 months after infusion), intermediate (within 4-6 months), and late (>6 months).
Statistical analyses
For categorical data, the Fisher exact test was used, whereas the unpaired t test was used for normally distributed metric data. In cases in which metric data did not follow a normal distribution, the Mann-Whitney U test was applied. Time-to-event analyses for PFS and OS were used with the Kaplan-Meier method, and statistical significance was tested with a log-rank test (significance threshold of .05). In the context of PFS calculations, events were defined as either disease progression or death, whereas for OS, only death was considered an event. Univariable and multivariable Cox regression analyses were performed for potential risk factors using standard Cox proportional hazard regression analysis. Resulting Cox regression models were reported using the model coefficients (as hazard ratios [HRs]) with 95% confidence intervals and corresponding P values. Potential risk factors that did not show any association in univariable screening (P value from the likelihood ratio test of >.05) were not considered for multivariable modeling. Descriptive statistics, generation of Kaplan-Meier curves, P value calculations, and figure generation were performed using GraphPad Prism version 9.0.1 (GraphPad Software, San Diego, CA), R (version 4.3.2), and SPSS (version 29.0).
Results
Patient characteristics
The study enrolled a total of 92 patients. Patient characteristics are summarized in Table 1. Patients had a median age of 61 years (range, 20-78) at first diagnosis and were predominantly male (67%). Of 92 patients, 59 (64%) had de novo diffuse LBCL (DLBCL), whereas the remaining were transformed from indolent lymphoma (20/92 [22%]), had a high-grade BCL (11/92 [12%]), a T-cell/histiocyte-rich LBCL (1/92 [1%]), or a primary mediastinal BCL (1/92 [1%]). At initiation of a BsAb, median lactate dehydrogenase (LDH) was 367 U/L (range, 164-3600), 62 of 92 patients (68%) exhibited a high-intermediate or high International Prognostic Index (IPI), 25 of 92 (27%) presented with bulky disease (>7.5 cm), and 52 of 92 (57%) with extranodal lesions. The median time from CAR-T infusion to first administration of BsAbs was 4 months (range, 0.7-38). Patients were heavily pretreated with a median of 4 prior lines of therapy including CAR-Ts (range, 2-9), and 59% of patients were refractory to the last treatment (Table 1). Of 92 patients, 90 (98%) underwent lymphodepletion with fludarabine/cyclophosphamide, whereas 2 patients (2%) received bendamustine before CAR-T infusion with axicabtagene ciloleucel (n = 59 [64%]), tisagenlecleucel (n = 20 [22%]), or lisocabtagene maraleucel (n = 13 [14%]).
Patient characteristics of the study cohort
| Parameters/time point of relapse/progression after CAR-Ts . | All patients . | Early relapse . | Intermediate relapse . | Late relapse . | P value . |
|---|---|---|---|---|---|
| Patients, n (%) | 92 (100) | 48 (52) | 24 (26) | 20 (22) | – |
| Age at lymphoma dx (range), y (available for 91/92 cases) | 61 (20-78) | 57 (20-78) | 62 (27-77) | 63 (37-77) | .842 |
| Sex, n (%) | |||||
| Male | 62 (67) | 32 (67) | 16 (67) | 14 (70) | .961 |
| Female | 30 (33) | 16 (33) | 8 (33) | 6 (30) | |
| Lymphoma types, n (%) | |||||
| DLBCL de novo | 59 (64) | 32 (67) | 16 (67) | 11 (55) | .629 |
| GCB | 19 (21) | 7 (15) | 7 (29) | 5 (25) | .306 |
| Non-GCB | 16 (17) | 11 (23) | 4 (17) | 1 (5) | .205 |
| NOS | 24 (26) | 14 (29) | 5 (21) | 5 (25) | .744 |
| DLBCL transformed from indolent lymphoma | 20 (22) | 7 (15) | 5 (21) | 8 (40) | .068 |
| HGBCL with MYC and BCL2 rearrangement | 6 (7) | 5 (10) | 1 (4) | 0 (0) | .246 |
| HGBCL, NOS | 4 (4) | 1 (2) | 2 (8) | 1 (5) | .740 |
| HGBCL with 11q deletion | 1 (1) | 1 (2) | 0 (0) | 0 (0) | .629 |
| PMBCL | 1 (1) | 1 (2) | 0 (0) | 0 (0) | .629 |
| TCRLBCL | 1 (1) | 1 (2) | 0 (0) | 0 (0) | .629 |
| Median time from dx to BsAb (range), mo | 20 (4-151) | 13 (4-125) | 22 (12-105) | 36 (14-151) | <.001 |
| Lymphodepletion before CAR-T infusion, n (%) | |||||
| Fludarabine/cyclophosphamide | 90 (98) | 46 (96) | 24 (100) | 20 (100) | .392 |
| Bendamustine | 2 (2) | 2 (4) | 0 (0) | 0 (0) | .392 |
| Therapies before BsAb, n (%) | |||||
| Median tx lines before BsAb (range), n (available for 91/92 cases) | 4 (2-9) | 3 (2-9) | 4 (2-9) | 4.5 (2-8) | .040 |
| Anti-CD20/anthra-based regiment | 89 (97) | 47 (98) | 24 (100) | 18 (90) | .142 |
| Platinum-based salvage regimen | 73 (79) | 38 (79) | 19 (79) | 16 (80) | .997 |
| Benda/ritux ± polatuz ved | 36 (39) | 17 (35) | 11 (46) | 8 (40) | .692 |
| Benda within last 6 months before BsAb | 18 (20) | 13 (27) | 5 (21) | 0 (0) | .037 |
| Tafasitamab/lenalidomide | 15 (16) | 9 (19) | 2 (8) | 4 (20) | .466 |
| PD-1 inhibitor, n | 2 (2) | 0 (0) | 0 (0) | 2 (10) | .025 |
| Ibrutinib | 5 (5) | 3 (6) | 0 (0) | 2 (40) | .324 |
| Previous autologous SCT | 23 (25) | 9 (19) | 5 (21) | 9 (45) | .064 |
| Previous allogeneic SCT | 5 (5) | 1 (2) | 2 (8) | 3 (15) | .324 |
| Bulky dz (>7.5 cm) before BsAb | 25 (27) | 15 (31) | 6 (25) | 4 (20) | .667 |
| Extranodal lesions before BsAbs | 52 (57) | 30 (63) | 13 (54) | 9 (45) | .400 |
| Median LDH U/L before BsAbs (range), n | 367 (164-3600) | 380 (164-2505) | 383 (170-3600) | 326 (164-1799) | .406 |
| IPI score before BsAb, n (%) | |||||
| IPI low (0-1) | 15 (16) | 8 (17) | 2 (8) | 5 (25) | .328 |
| IPI low-int (2) | 15 (16) | 8 (17) | 2 (8) | 5 (25) | .356 |
| IPI high-int (3) | 33 (36) | 14 (29) | 11 (46) | 8 (40) | .346 |
| IPI high (4-5) | 29 (32) | 18 (38) | 9 (38) | 2 (10) | .064 |
| Refractory to last tx, n (%) | 54 (59) | 36 (75) | 12 (50) | 6 (30) | .002 |
| Types of BsAb administered, n (%) | |||||
| Glofitamab | 85 (92) | 43 (90) | 22 (92) | 20 (100) | .229 |
| Epcoritamab | 6 (7) | 5 (10) | 1 (4) | 0 (0) | |
| Mosunetuzumab | 1 (1) | 0 (0) | 1 (4) | 0 (0) | |
| Parameters/time point of relapse/progression after CAR-Ts . | All patients . | Early relapse . | Intermediate relapse . | Late relapse . | P value . |
|---|---|---|---|---|---|
| Patients, n (%) | 92 (100) | 48 (52) | 24 (26) | 20 (22) | – |
| Age at lymphoma dx (range), y (available for 91/92 cases) | 61 (20-78) | 57 (20-78) | 62 (27-77) | 63 (37-77) | .842 |
| Sex, n (%) | |||||
| Male | 62 (67) | 32 (67) | 16 (67) | 14 (70) | .961 |
| Female | 30 (33) | 16 (33) | 8 (33) | 6 (30) | |
| Lymphoma types, n (%) | |||||
| DLBCL de novo | 59 (64) | 32 (67) | 16 (67) | 11 (55) | .629 |
| GCB | 19 (21) | 7 (15) | 7 (29) | 5 (25) | .306 |
| Non-GCB | 16 (17) | 11 (23) | 4 (17) | 1 (5) | .205 |
| NOS | 24 (26) | 14 (29) | 5 (21) | 5 (25) | .744 |
| DLBCL transformed from indolent lymphoma | 20 (22) | 7 (15) | 5 (21) | 8 (40) | .068 |
| HGBCL with MYC and BCL2 rearrangement | 6 (7) | 5 (10) | 1 (4) | 0 (0) | .246 |
| HGBCL, NOS | 4 (4) | 1 (2) | 2 (8) | 1 (5) | .740 |
| HGBCL with 11q deletion | 1 (1) | 1 (2) | 0 (0) | 0 (0) | .629 |
| PMBCL | 1 (1) | 1 (2) | 0 (0) | 0 (0) | .629 |
| TCRLBCL | 1 (1) | 1 (2) | 0 (0) | 0 (0) | .629 |
| Median time from dx to BsAb (range), mo | 20 (4-151) | 13 (4-125) | 22 (12-105) | 36 (14-151) | <.001 |
| Lymphodepletion before CAR-T infusion, n (%) | |||||
| Fludarabine/cyclophosphamide | 90 (98) | 46 (96) | 24 (100) | 20 (100) | .392 |
| Bendamustine | 2 (2) | 2 (4) | 0 (0) | 0 (0) | .392 |
| Therapies before BsAb, n (%) | |||||
| Median tx lines before BsAb (range), n (available for 91/92 cases) | 4 (2-9) | 3 (2-9) | 4 (2-9) | 4.5 (2-8) | .040 |
| Anti-CD20/anthra-based regiment | 89 (97) | 47 (98) | 24 (100) | 18 (90) | .142 |
| Platinum-based salvage regimen | 73 (79) | 38 (79) | 19 (79) | 16 (80) | .997 |
| Benda/ritux ± polatuz ved | 36 (39) | 17 (35) | 11 (46) | 8 (40) | .692 |
| Benda within last 6 months before BsAb | 18 (20) | 13 (27) | 5 (21) | 0 (0) | .037 |
| Tafasitamab/lenalidomide | 15 (16) | 9 (19) | 2 (8) | 4 (20) | .466 |
| PD-1 inhibitor, n | 2 (2) | 0 (0) | 0 (0) | 2 (10) | .025 |
| Ibrutinib | 5 (5) | 3 (6) | 0 (0) | 2 (40) | .324 |
| Previous autologous SCT | 23 (25) | 9 (19) | 5 (21) | 9 (45) | .064 |
| Previous allogeneic SCT | 5 (5) | 1 (2) | 2 (8) | 3 (15) | .324 |
| Bulky dz (>7.5 cm) before BsAb | 25 (27) | 15 (31) | 6 (25) | 4 (20) | .667 |
| Extranodal lesions before BsAbs | 52 (57) | 30 (63) | 13 (54) | 9 (45) | .400 |
| Median LDH U/L before BsAbs (range), n | 367 (164-3600) | 380 (164-2505) | 383 (170-3600) | 326 (164-1799) | .406 |
| IPI score before BsAb, n (%) | |||||
| IPI low (0-1) | 15 (16) | 8 (17) | 2 (8) | 5 (25) | .328 |
| IPI low-int (2) | 15 (16) | 8 (17) | 2 (8) | 5 (25) | .356 |
| IPI high-int (3) | 33 (36) | 14 (29) | 11 (46) | 8 (40) | .346 |
| IPI high (4-5) | 29 (32) | 18 (38) | 9 (38) | 2 (10) | .064 |
| Refractory to last tx, n (%) | 54 (59) | 36 (75) | 12 (50) | 6 (30) | .002 |
| Types of BsAb administered, n (%) | |||||
| Glofitamab | 85 (92) | 43 (90) | 22 (92) | 20 (100) | .229 |
| Epcoritamab | 6 (7) | 5 (10) | 1 (4) | 0 (0) | |
| Mosunetuzumab | 1 (1) | 0 (0) | 1 (4) | 0 (0) | |
Indicated parameters in the respective cohorts. The P values are obtained using the Fisher exact test for categorical data and Mann-Whitney U test for metric data.
anthra, anthracycline; anti-CD20, antibody directed against the surface protein CD20; Benda, bendamustine; dx, diagnosis; dz, disease; HGBCL, high-grade BCL; int, intermediate; NOS, not otherwise specified; PD-1, programmed cell death protein 1; PMBCL, primary mediastinal LBCL; polatuz ved, polatuzumab vedotin; ritux, rituximab; TCRLBCL, T-cell/histiocyte-rich LBCL; tx, therapy.
The most commonly administered BsAb was glofitamab (85/92 [92%]) followed by epcoritamab (6/92 [7%]) and mosunetuzumab (1/92 [1%]). Of 92 patients, 48 (52%) received BsAbs in early (months 1-3), 24 (26%) in intermediate (months 4-6), and 20 (22%) in late (>6 months) relapse after CAR-T treatment. Moreover, 62 of 92 patients (67%) received BsAbs directly after CAR-T failure (BsAb as first salvage) and 30 patients (33%) received a median of 1 therapy (mean, 1.6) between CAR-T therapy and administration of BsAb (BsAb as later salvage; supplemental Tables 1 and 2). Of 30 patients, 16 (53%) received 1 therapy line, 9 (30%) received 2, and 5 (17%) received 3 therapy lines before BsAbs. The therapies administered between CAR-T therapy and BsAbs were most commonly tafasitamab/lenalidomide (40%), polychemotherapies with/without rituximab (27%), polatuzumab vedotin/bendamustine/rituximab (23%), or salvage allogeneic stem cell transplantation (SCT; 13%).
The early, intermediate, and late groups exhibited similar baseline characteristics at initiation of BsAbs including sex, age, and IPI distribution. High-grade BCL with MYC and BCL2 rearrangements were numerically more common in the early-relapse group (P = .246) and there was a trend to more transformed DLBCL in the late-relapse group (P = .068). Among patients with early, intermediate, or late relapse after CAR-T therapy, the median time from diagnosis of LBCL to initiation of BsAbs (13 vs 22 vs 38 months; P < .001), refractoriness to the last treatment (75% vs 50% vs 30%; P = .002), as well as the incidence of bendamustine treatment within the last 6 months before BsAb (27% vs 21% vs 0%; P = .037) differed significantly (Table 1). Lastly, the group that was treated directly with BsAbs compared with the group that received additional therapies between CAR-T and BsAbs was less often of the non–germinal center B-cell (non-GCB) type (11% vs 30%); received less lines of treatment before BsAbs (median previous therapy lines, 3 vs 5); and received less frequently bendamustine-containing regimens (26% vs 67%), tafasitamab/lenalidomide (8% vs 33%), ibrutinib (2% vs 13%), or programmed cell death protein 1 inhibitor (0% vs 7%; P ≤ .040 for all; supplemental Table 1).
Clinical response and outcomes
Median follow-up time from first BsAb administration was 4.2 months (range, 0.3-35.3) with a significant difference between the early- (3.4 months), intermediate- (6.0 months), and late-relapsed (8.7 months) groups (P = .002). BOR among all 92 patients occurred at a median of 54 days. Of 92 patients, 39 (43%) responded to BsAbs, 20 (22%) achieved a CR, and 19 (21%) had a PR (supplemental Figure 1; Table 2). In contrast, 10 of 92 (11%) achieved a SD, whereas 43 of 92 (46%) responded with a PD. The median time to relapse/PD was 2.1 months after initiation of a BsAb (range, 0.2-10.5; Table 2).
Efficacy of BsAb therapy and outcomes
| Parameters/time point of relapse/progression after CAR-Ts . | All patients . | Early relapse . | Int relapse . | Late relapse . | P value . |
|---|---|---|---|---|---|
| Median time to best response (range), d (available for 90/92 cases) | 54 (6-337) | 45 (6-127) | 53 (14-195) | 62 (20-337) | .071 |
| Best response under BsAb, n (%) | |||||
| ORR (CR and PR) | 39 (43) | 14 (29) | 13 (54) | 12 (60) | <.001 |
| CR | 20 (22) | 5 (10) | 6 (25) | 9 (45) | .006 |
| PR | 19 (21) | 9 (19) | 7 (29) | 3 (15) | .459 |
| SD | 10 (11) | 5 (10) | 4 (17) | 1 (5) | .460 |
| PD | 43 (46) | 29 (60) | 7 (29) | 7 (35) | .021 |
| Relapse/PD rate after initiation of BsAb, n (%) | 62 (67) | 38 (79) | 15 (63) | 9 (45) | .020 |
| Median time to relapse/PD after first BsAb administration (range), mo (available for 62/62 R/R cases) | 2.1 (0.2-10.5) | 1.8 (0.2-7.6) | 2.8 (0.5-6.7) | 2.1 (0.7-10.5) | .142 |
| Reason for ending BsAb, n (%) | |||||
| PD | 62 (67) | 38 (80) | 15 (63) | 9 (45) | .020 |
| EOT | 14 (15) | 1 (2) | 6 (25) | 7 (35) | .001 |
| Death due to nonlymphoma reason | 2 (2) | 1 (2) | 1 (4) | 0 (0) | .639 |
| Consolidation of PR by allo-SCT | 6 (7) | 3 (6) | 0 (0) | 3 (15) | .136 |
| Ongoing | 8 (9) | 5 (10) | 2 (8) | 1 (5) | .768 |
| Infection | 2 (2) | 1 (2) | 1 (4) | 0 (0) | .639 |
| Median time follow-up from BsAb initiation (range), mo | 4.2 (0.3-35.3) | 3.4 (0.3-13.7) | 6 (0.7-34.4) | 8.7 (2.1-35.3) | .002 |
| Remission status at last follow-up (available for 91/92 cases), n (%) | |||||
| CR | 19 (21) | 3 (6) | 6 (25) | 10 (53) | .001 |
| PR | 8 (9) | 5 (10) | 2 (8) | 1 (5) | .795 |
| SD | 6 (7) | 4 (8) | 2 (8) | 0 (0) | .428 |
| R/R dz | 58 (64) | 36 (75) | 14 (58) | 8 (42) | .034 |
| Survival status at last follow-up, n (%) | |||||
| Alive | 44 (48) | 17 (35) | 11 (46) | 16 (80) | .004 |
| Dead | 48 (52) | 31 (65) | 13 (54) | 4 (20) | |
| Cause of death, n (%) | |||||
| R/R lymphoma | 46 (50) | 30 (63) | 12 (50) | 4 (20) | .006 |
| Nonlymphoma reasons | 2 (2) | 1 (2) | 1 (4) | 0 (0) | .639 |
| Infection | 2 (2) | 1 (2) | 1 (4) | 0 (0) | .639 |
| Parameters/time point of relapse/progression after CAR-Ts . | All patients . | Early relapse . | Int relapse . | Late relapse . | P value . |
|---|---|---|---|---|---|
| Median time to best response (range), d (available for 90/92 cases) | 54 (6-337) | 45 (6-127) | 53 (14-195) | 62 (20-337) | .071 |
| Best response under BsAb, n (%) | |||||
| ORR (CR and PR) | 39 (43) | 14 (29) | 13 (54) | 12 (60) | <.001 |
| CR | 20 (22) | 5 (10) | 6 (25) | 9 (45) | .006 |
| PR | 19 (21) | 9 (19) | 7 (29) | 3 (15) | .459 |
| SD | 10 (11) | 5 (10) | 4 (17) | 1 (5) | .460 |
| PD | 43 (46) | 29 (60) | 7 (29) | 7 (35) | .021 |
| Relapse/PD rate after initiation of BsAb, n (%) | 62 (67) | 38 (79) | 15 (63) | 9 (45) | .020 |
| Median time to relapse/PD after first BsAb administration (range), mo (available for 62/62 R/R cases) | 2.1 (0.2-10.5) | 1.8 (0.2-7.6) | 2.8 (0.5-6.7) | 2.1 (0.7-10.5) | .142 |
| Reason for ending BsAb, n (%) | |||||
| PD | 62 (67) | 38 (80) | 15 (63) | 9 (45) | .020 |
| EOT | 14 (15) | 1 (2) | 6 (25) | 7 (35) | .001 |
| Death due to nonlymphoma reason | 2 (2) | 1 (2) | 1 (4) | 0 (0) | .639 |
| Consolidation of PR by allo-SCT | 6 (7) | 3 (6) | 0 (0) | 3 (15) | .136 |
| Ongoing | 8 (9) | 5 (10) | 2 (8) | 1 (5) | .768 |
| Infection | 2 (2) | 1 (2) | 1 (4) | 0 (0) | .639 |
| Median time follow-up from BsAb initiation (range), mo | 4.2 (0.3-35.3) | 3.4 (0.3-13.7) | 6 (0.7-34.4) | 8.7 (2.1-35.3) | .002 |
| Remission status at last follow-up (available for 91/92 cases), n (%) | |||||
| CR | 19 (21) | 3 (6) | 6 (25) | 10 (53) | .001 |
| PR | 8 (9) | 5 (10) | 2 (8) | 1 (5) | .795 |
| SD | 6 (7) | 4 (8) | 2 (8) | 0 (0) | .428 |
| R/R dz | 58 (64) | 36 (75) | 14 (58) | 8 (42) | .034 |
| Survival status at last follow-up, n (%) | |||||
| Alive | 44 (48) | 17 (35) | 11 (46) | 16 (80) | .004 |
| Dead | 48 (52) | 31 (65) | 13 (54) | 4 (20) | |
| Cause of death, n (%) | |||||
| R/R lymphoma | 46 (50) | 30 (63) | 12 (50) | 4 (20) | .006 |
| Nonlymphoma reasons | 2 (2) | 1 (2) | 1 (4) | 0 (0) | .639 |
| Infection | 2 (2) | 1 (2) | 1 (4) | 0 (0) | .639 |
allo-SCT, allogeneic SCT; CR, complete remission; EOT, end of treatment; PR, partial remission.
At the last follow-up, 8 of 92 patients (9%) were on treatment with a BsAb. Reason for discontinuing BsAb treatment included planned end of treatment in 14 patients (15%), consolidation of PR with allogeneic SCT in 6 patients (7%), relapse or PD in 62 patients (67%), or death because of nonlymphoma-associated reasons in 2 patients (2%; both infections; Table 2). Overall, 46% of patients had no additional treatment after BsAbs at data cutoff, whereas 45% (41/92) received at least 1 more line of treatment (supplemental Table 3).
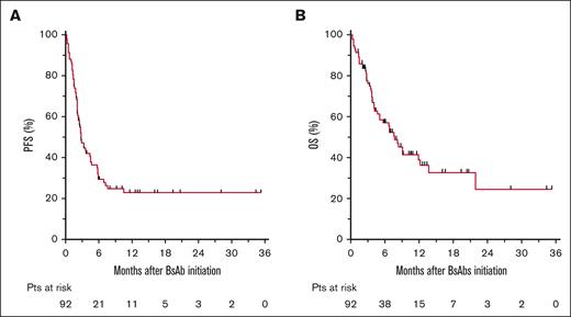
Overall, 52% of patients (48/92) had died at data cutoff. Disease progression was the primary cause of mortality, accounting for 96% of deaths (46/48). The median PFS (mPFS) was 2.8 months and the median OS (mOS) was 7.7 months (Figure 1), whereas patients with CR survived significantly better than those with PR after initiation of BsAb: mPFS and mOS not reached vs 5.83 and 9.07, respectively (P ≤ .002 for both; supplemental Figure 2). In a multivariate analysis, IPI score at initiation of BsAbs (OS, P = .028), LDH at initiation of BsAbs measured as continuous parameter (OS, P = .018), and refractoriness to the last treatment before BsAbs (PFS: HR, 1.92 [P = .024]; OS: HR, 2.74 [P = .005]) were the strongest predictors of survival after initiation of BsAbs (Table 3).
Survival outcomes of BsAbs after CAR-T failure in all patients (Pts). (A) PFS for all Pts; (B) OS for all Pts. The P values are obtained using a log-rank test, and Pts at risk are highlighted below the Kaplan-Meier plot.
Survival outcomes of BsAbs after CAR-T failure in all patients (Pts). (A) PFS for all Pts; (B) OS for all Pts. The P values are obtained using a log-rank test, and Pts at risk are highlighted below the Kaplan-Meier plot.
Univariate and multivariate Cox proportional hazards models
| Variable before BsAb . | Category . | PFS . | OS . | ||
|---|---|---|---|---|---|
| HR (univariate) . | HR (multivariate) . | HR (univariate) . | HR (multivariate) . | ||
| Age at initiation BsAb | Continuous variable | P = .986 | — | P = .637 | — |
| Gender | Male/female | 1.08 (0.65-1.82; P = .764) | — | 1.19 (0.66-2.15; P = .564) | — |
| IPI score at BsAb | Continuous variable | P = .158 | P = .593 | P = .011 | P = .028 |
| Treatment lines before BsAb | Continuous variable | P = .400 | — | P = .399 | — |
| Time point of CAR-T failure | Late vs int vs early | 1.86 (1.30-2.64; P < .001) | 1.73 (1.18-2.54; P = .005) | 2.43 (1.55-3.81; P < .001) | 2.31 (1.40-3.82; P = .001) |
| Best response last therapy | CR/PR vs SD/PD | 2.16 (1.28-3.67; P = .004) | 1.92 (1.09-3.38; P = .024) | 3.17 (1.63-6.15; P < .001) | 2.74 (1.35-5.55; P = .005) |
| Therapy between CAR-Ts and BsAb | BsAb as first salvage vs BsAb as later salvage | 1.79 (1.09-2.94; P = .022) | 2.33 (1.36-3.98; P = .002) | 1.68 (0.95-2.97; P = .075) | 2.41 (1.28-4.54; P = .006) |
| LDH value at BsAb (U/L) | Continuous variable | P = .024 | P = .065 | P < .001 | P = .018 |
| Extranodal lesions | No vs yes | 1.26 (0.77-2.08; P = .358) | — | 1.24 (0.69-2.22; P = .471) | — |
| Bulky dz (>7.5 cm) | No vs yes | 1.64 (0.97-2.78; P = .066) | — | 2.26 (1.24-4.10; P = .008) | — |
| Variable before BsAb . | Category . | PFS . | OS . | ||
|---|---|---|---|---|---|
| HR (univariate) . | HR (multivariate) . | HR (univariate) . | HR (multivariate) . | ||
| Age at initiation BsAb | Continuous variable | P = .986 | — | P = .637 | — |
| Gender | Male/female | 1.08 (0.65-1.82; P = .764) | — | 1.19 (0.66-2.15; P = .564) | — |
| IPI score at BsAb | Continuous variable | P = .158 | P = .593 | P = .011 | P = .028 |
| Treatment lines before BsAb | Continuous variable | P = .400 | — | P = .399 | — |
| Time point of CAR-T failure | Late vs int vs early | 1.86 (1.30-2.64; P < .001) | 1.73 (1.18-2.54; P = .005) | 2.43 (1.55-3.81; P < .001) | 2.31 (1.40-3.82; P = .001) |
| Best response last therapy | CR/PR vs SD/PD | 2.16 (1.28-3.67; P = .004) | 1.92 (1.09-3.38; P = .024) | 3.17 (1.63-6.15; P < .001) | 2.74 (1.35-5.55; P = .005) |
| Therapy between CAR-Ts and BsAb | BsAb as first salvage vs BsAb as later salvage | 1.79 (1.09-2.94; P = .022) | 2.33 (1.36-3.98; P = .002) | 1.68 (0.95-2.97; P = .075) | 2.41 (1.28-4.54; P = .006) |
| LDH value at BsAb (U/L) | Continuous variable | P = .024 | P = .065 | P < .001 | P = .018 |
| Extranodal lesions | No vs yes | 1.26 (0.77-2.08; P = .358) | — | 1.24 (0.69-2.22; P = .471) | — |
| Bulky dz (>7.5 cm) | No vs yes | 1.64 (0.97-2.78; P = .066) | — | 2.26 (1.24-4.10; P = .008) | — |
Because median LDH was close to 400 U/L among all patients, we aimed to explore the role of LDH in our study more precisely. To this end, we divided patients in 2 groups based on LDH level at initiation of BsAbs by the median. In fact, patients with LDH of ≥400 U/L demonstrated significantly inferior PFS and OS than those with LDH of <400 U/L: mPFS, 2.1 vs 5.8 months (P = .004); and mOS, 4.1 vs 11.9 months (P = .002; supplemental Figure 3). In the same lines, patients with LDH of ≥400 U/L relapsed more frequently (76% vs 61%, P = .132) and significantly earlier than those presenting with LDH of <400 U/L at initiation of a BsAb: median time to relapse 1.8 (range, 0.2-5.7) vs 2.5 (range, 0.2-10.5) months (P = .042). To better explore the role of the IPI score, we divided all patients in low (0-1), low-intermediate,2 high-intermediate,3 and high risk4,5 groups according to the IPI score. Although we did not observe a significant difference for PFS, those patients with high-risk IPI score showed a significantly inferior OS (mOS of 3.8 months) than those with low (mOS of 13.7 months), low-intermediate (mOS of 9.1 months), and high-intermediate (mOS of 11.9 months) IPI (P = .039; supplemental Figure 3). No significant correlation between IPI score and the incidence of relapse and the time point of its occurrence was detectable (P > .05). In addition to the abovementioned factors, earlier R/R disease after CAR-T therapy (PFS: HR, 1.73 [P = .005]; OS: HR, 2.31 [P = .001]), and additional therapies between CAR-Ts and BsAbs (PFS: HR, 2.33 [P = .002]; OS: HR, 2.41 [P = .006]) were associated with earlier relapse and/or shorter survival in a multivariate analysis (Table 3).
BsAb are more active in later than in early relapse after CAR-T treatment
The time point of relapse/PD after CAR-T treatment significantly correlated with the BORR after BsAb initiation, with 29% BORR for early, 54% for intermediate, and 60% for late failure after CAR-T therapy, accordingly (P < .001; supplemental Figure 1). The highest CR rate was observed in patients with late failure after CAR-T therapy (45%), followed by patients with intermediate (25%) and with early (10%) relapse, respectively (P = .006; supplemental Figure 1). Furthermore, relapse or PD after BsAbs was observed significantly more often in patients who relapsed earlier, with a relapse/PD rate of 79% in early, 63% in intermediate, and 45% in late relapse after CAR-T therapy (P = .020).
In line with BORR, mPFS and mOS differed significantly in early (2.17 and 4.17 months, respectively), intermediate (3.73 and 9.07 months, respectively), and late (10.47 months and not reached, respectively) failure after CAR-T therapy (PFS, P value = .002; and OS, P value = .0002; Figure 2).
Survival outcomes of BsAb after CAR-T failure depending on the time point of CAR-T failure (early vs intermediate vs late). (A) PFS; (B) OS. The P values are obtained using a log-rank test. Pts at risk are highlighted below the Kaplan-Meier plot.
Survival outcomes of BsAb after CAR-T failure depending on the time point of CAR-T failure (early vs intermediate vs late). (A) PFS; (B) OS. The P values are obtained using a log-rank test. Pts at risk are highlighted below the Kaplan-Meier plot.
Additional therapy between CAR-T and BsAb has a negative impact on the advantage of late administration of BsAb
We compared patients who received BsAb directly after CAR-Ts (BsAb as first salvage) with those who had additional therapies between CAR-T treatment and application of a BsAb (BsAb as later salvage). Patients receiving a BsAb as first salvage experienced relapse or PD significantly less frequently than patients receiving BsAbs as later salvage (60% vs 87%, P = .009), which correlated with a significantly shorter mPFS in the later compared with the earlier group (2.3 vs 3.6 months; P = .020; supplemental Table 4; Figure 3). At the last follow-up, 58% of patients with BsAb as first salvage and 27% of patients with BsAb as later salvage were alive (P = .005), with mOS numerically higher in the BsAb as first salvage than those with later salvage (8.4 vs 4.7 months; P = .073; Figure 3).
Survival outcomes of BsAbs after CAR-T failure depending on BsAb administration as either first or later salvage. (A) PFS; (B) OS. The P values are obtained using a log-rank test. Pts at risk are highlighted below the Kaplan-Meier plot.
Survival outcomes of BsAbs after CAR-T failure depending on BsAb administration as either first or later salvage. (A) PFS; (B) OS. The P values are obtained using a log-rank test. Pts at risk are highlighted below the Kaplan-Meier plot.
Lastly, we included the time of relapse as an independent variable in our analysis. Patients who received BsAbs within 3 months from CAR-T infusion had the same dismal outcome independent of receiving BsAbs as first or as later salvage (mPFS, 2.3 vs 1.3 months [P = .161]; mOS, 6.7 vs 3.8 months [P = .311]; Figure 4). Although later administration of a BsAb was generally associated with more favorable outcomes, patients in the intermediate/late relapse group after CAR-T who received a BsAb as first salvage had longer PFS and OS than those who received additional therapy in between (mPFS, not reached vs 2.72 months [P = .007]; mOS, not reached vs 9.07 months [P = .028]; Figure 4).
Outcomes of BsAbs after CAR-T failure depending on the time point of CAR-T failure (early vs intermediate/late) and BsAb administration (first vs later salvage). (A) PFS in Pts with early relapse after CAR-Ts; (B) OS rates in Pts with early relapse after CAR-Ts; (C) PFS in Pts with intermediate/late relapse after CAR-Ts; and (D) OS rates in Pts with intermediate/late relapse after CAR-Ts; Pts at risk are highlighted below the Kaplan-Meier plot.
Outcomes of BsAbs after CAR-T failure depending on the time point of CAR-T failure (early vs intermediate/late) and BsAb administration (first vs later salvage). (A) PFS in Pts with early relapse after CAR-Ts; (B) OS rates in Pts with early relapse after CAR-Ts; (C) PFS in Pts with intermediate/late relapse after CAR-Ts; and (D) OS rates in Pts with intermediate/late relapse after CAR-Ts; Pts at risk are highlighted below the Kaplan-Meier plot.
Nonhematological toxicity
The frequency of CRS after BsAb administration was 30% (26/91), with grades 3 to 4 documented in 3% (3/91) of the patients. Only 1 patient (1%) presented with ICANS (grade 1). No patient deaths were related to CRS or ICANS. The incidence of tumor lysis syndrome was 2% (2/91; supplemental Table 5).
Infections occurred in 37% (34/92) of patients with grades 3, and higher in 13%. The most common infections were viral (25% [23/92]) two-thirds of which were non–severe acute respiratory syndrome coronavirus 2 (15/92) and one-third was severe acute respiratory syndrome coronavirus 2(8/92), followed by bacterial (22% [20/92]) and fungal (3% [3/92]). Two percent of the patients (2/92) succumbed to nonlymphoma-related death attributed to infections (grade 5 toxicities; supplemental Table 5).
Discussion
Here, we report the real-world analysis (RWA) studying the safety and efficacy of BsAb for patients who relapse after CAR-T therapy. So far, to our knowledge, our analysis represents the largest, well-balanced patient cohort undergoing BsAb after CAR-T outside of clinical trials. Consistent with previous reports, we detected that BsAbs achieve an encouraging response rate in relapse after CAR-T, a clinical scenario that is difficult to treat. Importantly, we revealed that the time from CAR-T infusion significantly predicts efficacy and durability of response of BsAb therapy, which is in line with results of any other salvage therapy in CAR-T failure, suggesting a lymphoma-intrinsic resistance. Further underscoring the latter, patients who received other therapies between CAR-T and BsAbs performed worse than patients who received BsAbs directly after CAR-T failure, in our analysis. Finally, and in accordance with outcome analyses to other treatments for LBCL, common clinical factors reflecting aggressive tumor biology, such as elevated LDH and higher IPI score as well as refractoriness to the last therapy were significant predictors of poor outcome to BsAbs in multivariate Cox regression analyses, underscoring their role as dominant and possibly very general prognostic markers for any therapeutic strategy in LBCL. Particularly, patients with LDH of ≥400 U/L and a high IPI score had an inferior survival after initiation of a BsAb in post-CAR-T settings. Moreover, patients with LDH ≥400 U/L relapsed more frequently and rapidly than those with LDH <400 U/L after the administration of a BsAb after CAR-T failure.
In our cohort of heavily pretreated patients with R/R LBCL after CAR-T therapy we observed an encouraging (B)ORR of 43%, with 22% CRs and 21% PRs. However, ORR was lower than in pivotal studies with glofitamab (ORR, 50%; CR, 35%; n = 52) and epcoritamab (ORR, 54.1%; CR, 34.4%; n = 61) and also in the recently published RWA of Iacoboni et al (ORR, 51%; CR, 36%; n = 34) in the post-CAR-T settings.12,26,27 A potential reason for this lower response rate could be that our cohort included patients with significantly more prior lines of therapy, suggesting a more challenging to treat population. The here reported mPFS of 2.8 months and the mOS of 7.7 months were slightly shorter than in the abovementioned RWA of Iacoboni et al (mPFS 3.6 months; mOS 9.9 months).12
Treatment of LBCL is generally more difficult in patients who relapse early compared with those relapsing later.28,29 This discrimination also holds true after CAR-T therapy in which early relapse is more difficult to treat than later relapse.9,12,30,31 In line, the efficacy of BsAbs and subsequent survival were worst in the group of patients relapsing within 3 months after CAR-T therapy whereas improving significantly among patients with intermediate and particularly late relapse occurring beyond 6 months after CAR-T. Because CR to BsAbs early after treatment is predictive for favorable long-term outcome,26,27,32,33 the improved response when a BsAb was used later was reflected by a 4.5-fold higher CR rate in late and a twofold higher CR rate in intermediate relapse compared with the early-relapse cohort. Of note, patients with late relapse beyond 6 months after CAR-T infusion had a particularly favorable outcome with BsAbs (mPFS, 10.5 months; mOS, not reached). This benefit was even more pronounced if the administration was in first relapse after CAR-T and beyond 3 months after CAR-T infusion, whereas patients who received additional therapies before and being treated with a BsAb as salvage afterward had dismal prognosis. Thus, although patients with early relapse after CAR-T (≤3 months) benefit less from any currently approved therapy including BsAbs, those with later relapse after CAR-T should preferably receive a BsAb without any other treatment in between when BsAbs are available in the post–CAR-T setting. At the same time, other rescue treatments applied after CAR-T failure and prior BsAbs could have potentially selected more refractory cases in our analysis, explaining the worse outcomes of the latter. All this suggests that beyond additional therapy, also the more aggressive biology of the rapidly relapsing LBCL likely plays a role in the dismal outcome after BsAb.
Overall, patients with early CAR-T treatment failure represent a highly challenging patient population. In line with all published data after CAR-T therapy, our data highlight the inferior outcomes for patients relapsing early after CAR-T across all drug classes (eg, antibody-drug conjugate, anti-CD19 monoclonal antibodies, BsAbs, among others). Recently, Epperla et al analyzed the outcomes of loncastuximab tesirine in patients relapsing after CAR-Ts in a real-world scenario. The authors demonstrated promising efficacy of loncastuximab tesirine in the post–CAR-T setting, with an ORR of ≥73% and a mOS being not reached after a median follow-up of at least 8.5 months.34 However, the median time between CAR-T infusion for loncastuximab tesirine administered in third line and fourth line after CAR-T failure was almost 7 and 10 months, respectively, pointing out that the early-relapse group seemed to be underrepresented in this analysis. Melani et al investigated a combination of venetoclax, ibrutinib, prednisone, obinutuzumab, and lenalidomide (ViPOR) in a phase 1b-2 study in heavily pretreated patients with R/R LBCL (n = 60) with a median of 3 previous treatment lines including those who had failed CAR-T treatment (n = 20).35 Among the latter, ViPOR achieved an ORR and a CR rate of 45% and 20%, respectively, resulting in a 2-year PFS of 30%. Notably, the outcomes of ViPOR were strongly associated with specific molecular LBCL subtypes and were particularly favorable in patients with a non-GCB DLBCL. The 2-year PFS and OS were 67% in patients with non-GCB DLBCL who were treated with ViPOR after CAR-T failure. Thus, ViPOR might be preferably considered for fit and early relapsed patients with non-GCB DLBCL subtype in post–CAR-T settings. Recently, the STARGLO study, a phase 3, randomized, open-label trial, investigated the combination of glofitamab and gemcitabine/oxaliplatin (Glofit-GemOx) vs rituximab-GemOx (R-GemOx) among patients with R/R DLBCL ineligible for high-dose chemotherapy and autologous SCT, with at least 1 prior therapy line, and 21 of whom (8%) had received prior CAR-T treatment.36 After a median follow-up of 20.7 months, mOS was significantly better at 25.5 months after Glofit-GemOx compared with 12.9 months for R-GemOx (HR, 0.62; P = .006). Principally, this combination might be considered for early relapsed patients receiving CAR-Ts, as well after the approval of Glofit-GemOx in the future. We suggest that the combinations of the new agents (eg, a BsAb together with chemotherapy, antibody-drug conjugates, or small molecules) could be a promising option to treat patients with LBCL with early relapse after CAR-T failure in the future.
A frequently discussed question is whether a T-cell dysfunction associated with refractoriness to immunotherapies is due to damage induced by previous therapies and therefore a therapy-induced resistance, or whether it is a biological characteristic of a distinct and, as such, high-risk subset of LBCL.37 As outlined earlier, several strong arguments link T-cell dysfunction to lymphotoxic therapies such as bendamustine or fludarabine. Favoring a LBCL-intrinsic resistance, patients with LBCL often exhibit immune alterations at first diagnosis most relevantly in naïve and in central memory T cells, which remain for years after therapy, even in patients who achieve complete remission.38 Furthermore, defined immune phenotypes in LBCL, namely high inflammation, T-cell activation, and T-cell exhaustion in distinct T-cell subsets are associated with poor risk in first-line therapy using conventional immunochemotherapy,39,40 poor outcome after CAR-T therapy,41,42 and with failure to BsAb treatment,43,44 suggesting that an overlapping phenotype of LBCL may be difficult to treat with any of the currently available therapeutic options.
The downregulation of CD20 expression on LBCL cells is another potential reason for the failure of BsAbs. Recently, Grigg et al reported on 42 patients with lymphoma progression on glofitamab.45 Notably, those who were CD20– at relapse progressed earlier on glofitamab (mPFS, 2.5 vs 5.5 months; P = .4). The mOS from time of progression was 4.4 vs 10.4 months in those who were CD20–and CD20+, respectively (P = .06). Along this line, another study from Brooks et al showed that patients without detectable CD20 expression measured by immunohistochemistry or flow cytometry before BsAb therapy had significantly inferior outcomes (mPFS, 1.1 vs 3.4 months [P < .001]; OS, 1.3 vs 13 months [P < .001]) than patients with detectable CD20.46
Although our data provide strong evidence that relapse timing after CAR-Ts strongly predicts BsAb efficacy, the subgroup analyses were performed on small numbers with a time-limited follow-up and should therefore be interpreted with caution. Furthermore, current clinical practice has changed, with CAR-Ts and BsAbs being used in earlier lines than reflected by this RWA analysis, which, in theory, could lead to different results in the future. Lastly, the treatment sequence has recently evolved, with several novel targeted therapies used in earlier lines of therapy such as polatuzumab vedotin, tafasitamab plus lenalidomide, or loncastuximab tesirine, which could alter immune phenotypes after therapy and, thus, outcome of immunotherapies in later lines. Despite these limitations, the effects of early relapse as poor risk marker for BsAbs after CAR-T therapy were consistent with other non-BsAb reported treatments, suggesting that the underlying biological and treatment-related effects are possibly a more general phenomenon in LBCL.
In summary, BsAbs demonstrate efficacy and a manageable safety profile in patients with R/R LBCL after CAR-T failure in the real-world scenario. However, efficacy of BsAbs is significantly impaired in patients with refractory disease or early relapse after CAR-T therapy, underscoring the necessity of novel therapeutic approaches in these patients.
Authorship
Contribution: F.M. and G.L. conceived the project and provided leadership; E.S., J.K.S., M.S., P.M., R.W.-K., V.V., U.H., H.B., T.M., A.H., C.S.-F., A.A., G.F.V., A.O.-S., V.L., U.S., A.K., U.B., S.G., E.A., N.G., T.W., G.W., B.G., L.T., F.H.H., C.S., A.V., M.H., S.D., T.P., F.A., B.v.T., B.C., C.P., F.M., and G.L. provided patient data; E.S., J.K.S., M.S., P.M., F.M., and G.L analyzed the data; E.S., F.M., and G.L. wrote the manuscript; and all authors approved the final manuscript.
Conflict-of-interest disclosure: E.S. received honoraria (not related to this study) from Amgen, Bristol Myers Squibb (BMS), Sanofi, Oncopeptides, Gilead, Incyte, Eli Lilly, and Takeda. B.C. is inventor on patent applications related to molecular subtyping of diffuse large B-cell lymphoma, including DLBclass; has received research funding from Gilead in 2021, not related to this study; served on advisory boards (not related to this study) for AbbVie, ADC, BMS, Incyte, Janssen, Regeneron, Roche, and Sobi; received honoraria for talks from AbbVie, Ars Tempi, AstraZeneca, BMS, Incyte, Janssen, Gilead, KML, Roche, Sandoz, Sobi, and Ono Pharmaceutical (not related to this study); received travel support from Sobi and Roche (not related to this study); and is lead investigator on the R-Pola-Glo clinical trial, which is indirectly funded by Roche. M.H. received travel support from AbbVie and served on advisory boards (unrelated to this study) for Sobi, Novartis, Gilead, BMS, Pfizer, Incyte, Sanofi, Roche, Janssen, and Amgen. U.H. has served on advisory boards (not related to this study) for BMS, Johnson & Johnson, Kite Pharma (a Gilead company), and Roche, and received honoraria (unrelated to this study) for talks from AbbVie, BeiGene, BMS, Johnson & Johnson, Kite Pharma (a Gilead company), and Miltenyi Biotec. T.M. received honoraria from AbbVie, BMS, Incyte, Janssen, Regeneron, and Roche, not related to this study. B.v.T. is an adviser or consultant (unrelated to this study) for Allogene, Amgen, BMS/Celgene, Cerus, Kite Pharma (a Gilead company), Incyte, IQVIA, Janssen-Cilag GmbH, Eli Lilly, Merck Sharp & Dohme, Miltenyi Biotec, Novartis, Noscendo, Pentixapharm, Pfizer, Pierre Fabre, QualWorld, Regeneron, Roche, Sobi, and Takeda; has received honoraria (not related to this study) from AbbVie, AstraZeneca, BMS/Celgene, Kite Pharma (a Gilead company), Incyte, Eli Lilly, Merck Sharp & Dohme, Novartis, Roche Pharma AG, and Takeda; reports research funding (unrelated to this study) from Esteve (institutional), Merck Sharp & Dohme (institutional), Novartis (institutional), and Takeda (institutional); and reports travel support (not related to this study) from AbbVie, AstraZeneca, Kite Pharma (a Gilead company), Eli Lilly, Merck Sharp & Dohme, Pierre Fabre, Roche, Takeda, and Novartis. V.V. received honoraria for consultancy or advisory roles from AbbVie, Novartis, Gilead, BMS, Janssen, Sobi, Incyte, AstraZeneca, Amgen, and MSD, unrelated to this study G.L. received research grants (not related to this study) from Agios, Aquinox, AstraZeneca, Bayer, Celgene, Gilead, Janssen, MorphoSys, Novartis, Roche, and Verastem Oncology, and received honoraria (not related to this study) from ADC Therapeutics, AbbVie, Amgen, AstraZeneca, Bayer, BMS, Celgene, Constellation, Genase, Genmab, Gilead, Hexal-Sandoz, Inmagene, Incyte, Janssen, Karyopharm, Eli Lilly, Miltenyi Biotec, MorphoSys, NanoString, Novartis, Pentixapharm, Roche, Sobi, and Takeda. The remaining authors declare no competing financial interests.
Correspondence: Georg Lenz, Department of Medicine A, Hematology, Oncology, and Pneumology, University Hospital Münster, Albert-Schweitzer Campus 1, 48149 Münster, Germany; email: georg.lenz@ukmuenster.de; and Fabian Müller, Department of Internal Medicine 5, Hematology and Oncology, University Hospital of Erlangen, Schwabachanlage 12, 91054 Erlangen, Germany; email: fabian.mueller@uk-erlangen.de.
References
Author notes
F.M. and G.L. contributed equally as last authors to this study.
The data sets generated and/or analyzed during this study are not publicly available because of privacy and ethical restrictions but are available upon reasonable request from the corresponding authors Georg Lenz (georg.lenz@ukmuenster.de) and Fabian Müller (fabian.mueller@uk-erlangen.de).
The full-text version of this article contains a data supplement.




