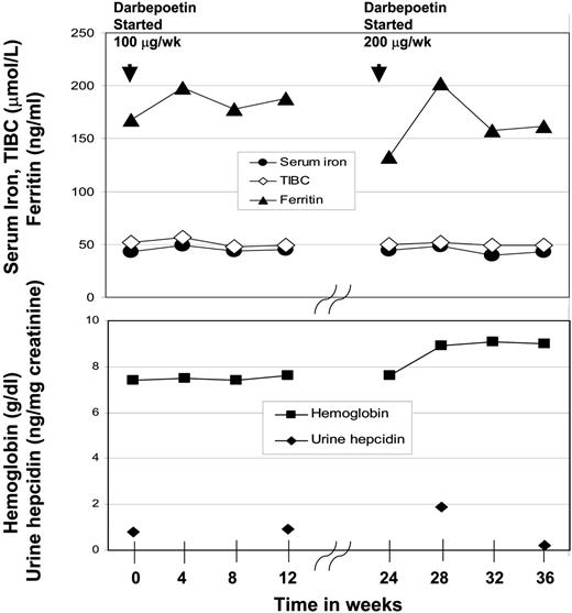
Recently we reported the first human mutation of DMT1 in a patient homozygous for G>C transversion in the ultimate nucleotide of exon 12.1-3 The patient exhibits iron-deficient erythropoiesis, elevated serum iron level, mild serum ferritin level elevation, and liver iron overload out of proportion to the number of transfusions received.4 Figure 1 illustrates the patient's response to darbepoetin. Hemoglobin level did not improve following administration of 100 μg of darbepoetin weekly for 3 months (hemoglobin level, 75 ± 1.0 g/L [7.5 ± 0.1 g/dL]). Three months after the last 100-μg dose, darbepoetin at 200 μg weekly was begun; the patient's hemoglobin level increased to 90 ± 1.0 g/L (9.0 ± 0.1 g/dL) and remained stable on darbepoetin (P < .001 for the difference in mean hemoglobin level on 100 μg vs 200 μg). The patient reported an increased sense of well-being. There was no change in other parameters including hepcidin level, which remained significantly below the lower limit of normal.
Response of hematologic parameters to darbepoetin. Blood and urine samples of the patient were obtained with informed consent. The ethics committee of the Palacky University Hospital approved the study. Darbepoetin was administered as a subcutaneous injection beginning at a dose of 100 μg (1.67 μg/kg) every week and continued for 3 months. There was a 3-month break in therapy, and darbepoetin was reinstituted at a dose of 200 μg weekly, where it remained throughout the course of the study. Hepcidin assay was performed as previously described5 and urine hepcidin concentration was expressed as nanograms hepcidin per milligrams creatinine. Normal ranges for hematologic parameters are as follows: serum iron level, 14.5-26 μM/L; total iron-binding capacity (TIBC), 44.8-71.6 μM/L; ferritin level, 20-150 μg/L (20-150 ng/mL); hemoglobin level, 120-155 g/L (12-15.5 g/dL); and urine hepcidin level, 10-200 ng/mg creatinine.
Response of hematologic parameters to darbepoetin. Blood and urine samples of the patient were obtained with informed consent. The ethics committee of the Palacky University Hospital approved the study. Darbepoetin was administered as a subcutaneous injection beginning at a dose of 100 μg (1.67 μg/kg) every week and continued for 3 months. There was a 3-month break in therapy, and darbepoetin was reinstituted at a dose of 200 μg weekly, where it remained throughout the course of the study. Hepcidin assay was performed as previously described5 and urine hepcidin concentration was expressed as nanograms hepcidin per milligrams creatinine. Normal ranges for hematologic parameters are as follows: serum iron level, 14.5-26 μM/L; total iron-binding capacity (TIBC), 44.8-71.6 μM/L; ferritin level, 20-150 μg/L (20-150 ng/mL); hemoglobin level, 120-155 g/L (12-15.5 g/dL); and urine hepcidin level, 10-200 ng/mg creatinine.
Since the description of this patient, 2 more patients6,7 who are compound heterozygotes for different DMT1 mutations and have hypochromic microcytic anemia have been reported. One patient received erythropoietin from infancy, with improvement in hemoglobin level and decline in serum ferritin level, but persistence of liver iron overload. We presume that, like our patient, she has low hepcidin levels allowing increased dietary iron absorption and increased iron release from macrophages, resulting in elevated serum iron level.8 Hepcidin production is increased by inflammation and iron loading and decreased by anemia and hypoxia.9 While cellular mechanisms by which iron and anemia regulate hepcidin production are unknown, data from DMT1 mutant patients and β-thalassemia intermedia (TI) patients10 suggest that anemia is dominant over the iron stores signal. It is unclear whether the anemia signal is mediated by hepatic hypoxia, by the effects of anemia on erythropoietic activity, or by both. Our patient has ineffective erythropoiesis based on mild erythroid hyperplasia in the bone marrow (39.2% of nucleated cells were erythroid precursors) and high soluble transferrin receptor level (0.038 g/L; normal range, 0.0019-0.0044 g/L), but the ineffective erythropoiesis of DMT1 mutant patients6,7 is much milder than in TI.
The discrepancy between the slightly elevated ferritin levels in these patients and the striking liver iron overload is remarkable. We speculate that the relatively low serum ferritin level reflects a bottleneck in iron transport from macrophage vacuoles that digest senescent erythrocytes into macrophage cytoplasm. Low hepcidin levels and resulting high macrophage expression of ferroportin in patients with DMT1 mutations could further lower macrophage cytoplasmic iron and suppress soluble ferritin secretion.
Patients with anemia due to DMT1 mutations are critically dependent on iron delivery to developing erythrocytes; increased transferrin saturation may be essential to deliver iron when DMT1 activity is diminished. Thus, even if medications that increase hepcidin levels become available for treatment of iron overload, they may not benefit DMT1 patients because increased plasma hepcidin level would limit release of iron into the bloodstream, decreasing serum iron level and transferrin saturation, further limiting available iron for hemoglobin synthesis. Removing excess iron is probably the only viable treatment for iron overload in these patients.
Supported by National Institutes of Health (NIH) grants R21 DK069851-01 (M.P.M.), R01 DK065029 (T.G.), and R01 HL50077-11 (J.T.P.); Czech Ministry of Education Grants MSM 6198959205 (D.P.) and MSM 0021620806 (J.T.P.); Czech Republic Ministry of Health grant NR/7799 (D.P.); and the Will Rogers Fund (T.G.).
