Abstract
BACKGROUND: Despite recent increase of reduced intensity conditioning (RIC) transplantation, mortality rates after RIC and myeloabrative conditioning (MAC) HSCT remain high and cannot accurately predicted.
OBJECTIVE: To determine the value of pre-transplant factors in predicting one year overall survival of allogeneic HSCT with RIC and MAC. Optimizing conditioning selection based on pre-transplant prognostic factors may further improve results of allogeneic HSCT.
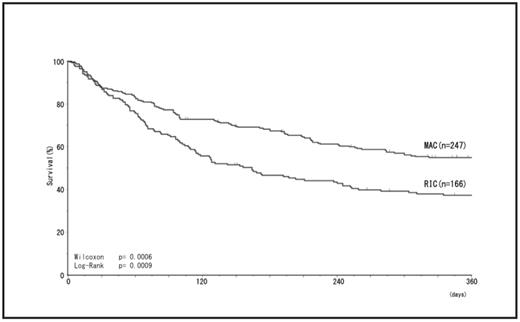
PATIENTS AND METHODS: A retrospective review of 415 consecutive allogeneic HSCT was performed with attention to mortality and pre-transplant factors in five hematopoietic cell transplantation centers between 2000 and 2005. Patients underwent transplantation from sibling (n=275) or unrelated donors (n=140) with MAC (n=247) or RIC (n=168). Main outcomes and prognostic factors were analyzed in multivariable analyses (a logistic regression model) with RIC and MAC.
RESULTS: Mortality before one year occurred in 252 of 415(60.1%) transplant recipients; 137 of 247(55.4%) with MAC and 115 of 168(68.5%) with RIC. Multivariate analysis identified specific and distinct prognostic factors with one year overall survival with MAC (CR/non-CR, performance status, albumin level, creatinine leve and a contain of Ara-C with preconditioning regimens) and with RIC (PS, albumin level, a contain of fuldarabin)(Table). These factors were useful for estimating survival rate of recipient after one year of transplantation (survival estimating equation).
CONCLUSION: Our results may provide indication for a better choice of conditioning regimen according to pre-transplant prognostic factors
Disclosures: No relevant conflicts of interest to declare.
Author notes
Corresponding author

