Abstract
Abstract 1691
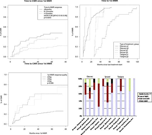
To describe the different treatments and factors associated to the major molecular response (MMR) in CML and to evaluate the elapsed time to obtain the first MMR and its impact on switching from MMR to complete molecular response (CMR). We analyzed retrospectively all patients followed at our institution for a CML between 2002 and 2010 who obtained a MMR after different generations of tyrosine kinase inhibitors (TKI), interferon or TKI+pegasys. There were 170 patients, 100 (59%) males and 70 (41%) females with a median age of 51 years (range, 17–82), according to sokal score, 40% were low, 42% were intermediate and 18% were high; while the hasford score was low in 45%, intermediate in 47% and high in 8%. There were 102 (60%) patients that obtained a MMR after a first treatment (group1), 46 (27%) after two treatment lines (group2) and 22 (13%) after 3 or more treatment lines (group3). In group1, there were 31 (30%) patients who achieved CMR while 3 (3%) patients lost their MMR, 11 (11%) switched to other treatment and 60 (59%) maintained a stable MMR at last follow-up. In group group2, there were 14 (30%) patients who achieved CMR while 4 (9%) patients lost their MMR, 9 (20%) switched to other treatment and 24 (52%) maintained a stable MMR at last follow-up. In group group3, there were 4 (18%) patients who achieved CMR while 2 (9%) patients lost their MMR and 16 (73%) maintained a stable MMR at last follow-up. Different characteristics in each group are shown in Table1. At the last follow-up, we found 12 (7%) patients who developed genomic mutation; none included T315, without any impact on treatment strategy. The multivariate analysis studying different patient characteristics and treatments impacting the time to achieve MMR showed: a significant faster response after Gleevec+pegasys in group1 [HR=2.6, 95%CI: (1.4–5), p=0.003]; a faster response after Sprycel in group 1, 2 or 3 [HR=6.5, 95%CI: (3–13), p<0.001] and a faster response also after Tasigna in group 2 [HR=7, 95%CI: (3–18), p<0.0001]. Age, sokal score, treatment type and number of lines did not impact on the achievement of CMR while a short time to obtain MMR and the MMR depth were the only significant factors, [sHR=0.96, 95%CI: (0.93–0.99), p=0.007; and sHR= 2.6, 95%CI: (1.41–4.75), p=0.006 respectively ].
Michallet:consultant for Novartis Pharma France and Bristol Myers Squibb: Consultancy. Nicolini:Norvartis Pharma France: Consultancy, Research Funding, Speakers Bureau; Bristol Myers Squibb France: Consultancy, Speakers Bureau.
Author notes
Asterisk with author names denotes non-ASH members.

