Abstract
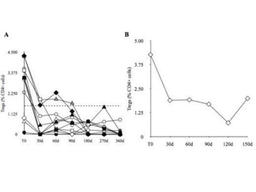
Ruxolitinib, a JAK1/JAK2 inhibitor, is considered effective and safe in the relief of splenomegaly and symptoms in Myelofibrosis (MF), and it is now approved for this use in US and EU. Since 2009, we have treated 47 patients with MF enrolled in two consecutive clinical trials with ruxolitinib (Clinicaltrials.gov Identifiers: NCT00463385 and NCT00669578) or under an individual patient therapeutic use. Among these patients, one developed tuberculosis, two herpes zoster infections, three herpex simplex reactivation, and one non-bacterial pneumonia of suspected viral origin. This incidence of infectious adverse effects is in agreement with the Novartis reported high incidence of urinary tract infections (12.3%), herpes zoster (4.3%), and tuberculosis (1%) (JAKAVI, Summary of product characteristics. Basel, CH: Novartis Pharma AG; 2012). Accordingly, a case of Cryptococcus neoformans pneumonia in a patient receiving ruxolitinib has been recently described (Wysham NG et al, Chest 2013;143(5):1478-9). Considering that a protective role for regulatory T-cells (Tregs) against specific viral pathogens, some parasites, and fungal pathogens has been documented (Rowe JH et al, Immunology 2012;136:1-10), we have investigated the possible role of ruxolitinib in modulating immune surveillance, by asseessing the frequency of circulating Tregs in patients affected by MF receiving ruxolitinib. In particular, we evaluated by cytofluorimetric analysis both total peripheral blood (PB) CD4+ T cells and the CD25+CD127low/-FOXP3+ Tregs subset in 11 patients (JAK2V617F: n=9) with MF (disease duration: median 60 months, range 6-360) who never received JAK2 inhibitors and were out of chemotherapy since at least three months. The evaluations were performed before they received ruxolitinib (full approved dose) (T0) and at defined time points for 1 year. Results are expressed as % of CD4+ cells. We found that the PB CD4+ T cell frequency was stable during the study (data not shown), whereas a significant reduction of the Treg frequency was evident in all patients since 30 days after the first dose of ruxolitinib (Figure, panel A) as well as at the subsequent time points, with values that were below our lower limit of normality (dotted line). One of these patients experienced ruxolitinib withdrawal after 120 days of therapy: the frequency of Tregs on day 150 increased up to normal levels, speaking in favour of a direct effect of the drug on Treg ferquency (Figure, panel B). Based on our results, we argue that the severe reduction in circulating Tregs may count as a major cause of immunosurveillance disruption during ruxolitinib therapy. This observation is in agreement with previous evidence that inhibition of the JAK2 pathways reduces in vitro FOXP3 expression blocking STAT5 signalling (Murawski MR et al Ann.N.Y.Acad.Sci 2006; Barrio S et al Br J Hematol 2013).
Disclosures:
No relevant conflicts of interest to declare.
Author notes
*
Asterisk with author names denotes non-ASH members.
© 2013 by The American Society of Hematology
2013
