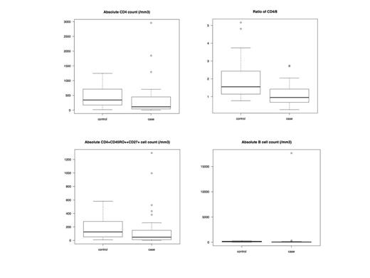
Altered immune status in non-Hodgkin lymphoma is characterized by undesired autoimmune phenomena and frequent occurrence of infections. The immune defects may be responsible for the initiation, maintenance and progression of malignant clone. We therefore evaluated immune effector cells between 35 patients with newly diagnosed diffuse large B-cell lymphoma (DLBCL) and 34 age- and sex- matched healthy controls using three-color flow cytometry. For patients with DLBCL, there were 19 males and 16 females with a mean age of 59.9 ± 15.6 years. There were 6, 17 and 13 patients with ECOG > 2, stage III-IV and high intermediate to high International Prognostic Index, respectively. We found significant decreases in CD3+CD4+, CD4/CD8 ratio, CD4 central memory (CD4+CD45RO++CD27+) and B cells (Figure 1). From conditional logistic regression, only CD4/CD8 ratio showed significant association with being cases with the odds ratio of 0.29 (95% CI 0.12, 0.68).
Disclosures:
No relevant conflicts of interest to declare.
© 2013 by The American Society of Hematology
2013
