Abstract
INTRODUCTION
Elevated free chain level (FLC) levels were found to be associated with adverse outcomes in patients with newly diagnosed multiple myeloma (NDMM), reflecting either a high burden of disease at presentation, and/or the higher incidence of renal failure and unfavorable cytogenetics. An alternative explanation is that patients presenting with increased light chain level combined with "discordant" elevation of the involved heavy chain (HC) may represent greater clonal heterogeneity, which is also associated with adverse outcomes. In this study we compared the prognostic importance of elevated FLC levels; concordant vs discordant to involved HC level, in NDMM patients treated with bortezomib- based induction.
METHODS
We reviewed data of consecutive patients with newly diagnosed multiple myeloma who received first line bortezomib-based therapy, between January 1st 2007 and January 31st 2014 in three participating centers in Greece and Israel. We included only patients with a measurable disease. We defined a dominating light chain clone (HiLC) as Kappa or Lambda levels ≥1000 mg/L and involved heavy chain levels (M protein as measured by protein electrophoresis) < 2.5 gr/L ; a Heavy chain dominating disease (HiHC) as heavy chain levels ≥2.5 gr/L and light chain < 1000 mg/L; elevation of both heavy and light chain (BiC) as both light chain levels ≥1000 mg/L and heavy chain levels ≥2.5 gr/L; low expression disease (Lo) included all patients not meeting the previous criteria. We compared groups in respects to baseline characteristics, response, overall survival (OS) and progression free survival (PFS).
RESULTS
We included in the analysis 295 patients (27% HiLC, 31.5% HiHC, 23% BiC, 18.5% Lo). HiLC patients had more often ISS-3 (53% HiLC, 27% HiHC, 44% BiC, 20% Lo, p<0.0001). High risk cytogenetic abnormalities were most common in patients with BiC (30% HiLC, 39% HiHC, 46% BiC, 20% Lo, p=0.05). Notably, t(4:14) was more frequent in HiHC and BiC patients compared to HiLC and Lo patients (28% & 17% vs. 3% and 6%, respectively, p=0.005).
High levels of paraprotein or free light chains were associated with higher levels of bone marrow plasmacytosis above 60% (more than 55% of patients in BiC, HiHC, HiLC, vs 27% in Lo, p<0.0001) and higher rates of anemia (more than 40% had Hb<10g/dL in BiC, HiHC, HiLC vs 15%, in Lo, p<0.0001). HiLC patients were characterized by higher rates of renal failure (Cr>2mg/dL in 49% HiLC, 7% HiHC, 26% BiC, 13% Lo, p<0.0001 ) and higher levels of beta2microglobulin (mean B2M g/L 9.2 in HiLC, 6.0 in BiC, 4.6 in HiHC, 3.8 in Lo, p<0.0001).
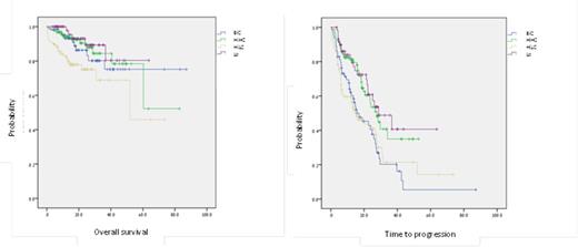
There was no difference in overall response rate between the groups (p=0.5), however, HiLC patients had a higher rate of progression or death during induction (13% HiLC, 3% HiHC, 8% BiC, 4% Lo, p=0.004) and a significantly shorter OS compared to other patients (52 months vs. not reached, HiLC vs.BiC, HiHC, Lo, p=0.014. Fig 1). Both HiLC and BiC patients had a shorter PFS compared to HiHC and Lo patients (16/15 vs. 28/29 months for BiC/HiLC vs. HiHC/Lo respectively, p<0.0001. Fig 2). In multivariate analysis controlling for patient features (age, sex, performance status) and disease features (plasmacytosis in bone marrow, skeletal disease and extramedullary disease), HiLC and BiC status retained independent statistical significance for shorter PFS, and HiLC for shorter OS.
Conclusions
Our analysis confirmed the adverse prognosis of elevated light chain levels in patients with NDMM, which was associated with a shortened PFS. Patients with predominantly elevated light chain levels, discordant to the increase in the involved HC, were also found to have shorter survival. This group of patients may represent a different, more aggressive category, possibly reflecting greater clonal heterogeneity, in which light chain escape could be the trigger to the development of clinically significant myeloma. Further studies are needed to confirm this hypothesis and investigate this patient subgroup.
Overall survival Figure 2: Progression free survival
Dimopoulos:Celgene: Consultancy, Honoraria.
Author notes
Asterisk with author names denotes non-ASH members.
