Abstract
Background and purpose
The effect of very high WBC over 100 or 200*109/L at initial stage on the outcome of pediatric acute lymphoblastic leukemia (ALL) was much argued by different clinical trials. CCLG-2008 clinical trial has been carried out on pediatric ALL for 5 years in China and reports on the evaluation of very high WBC in pediatric ALL are still lacking. In this study, we assessed the clinical features, complications and outcome of ALL patients with hyperleukocytosis treated by CCLG-2008.
Methods
Between March 2009 and June 2013, 399 ALL patients were enrolled in this clinical trial in the Children's Hospital of Soochow University and were treated with the protocol on risk-based principle. 121 patients who had an initial WBC count above 50*109/L were further divided into four groups as 50-100*109/L, 100-200*109/L, 200-300*109/L, 300*109/L. The clinical features, complications, the rate of relapse, event free survival (EFS) and overall survival (OS) within the four groups were analyzed by using SPSS 18.0. Continuous variables were defined as median values if they were not normally distributed and Mann-Whitney test was used in these dates. Groups for categorical variables were analyzed by Chi-square or Fisher's exact tests. Relapses, EFS, and OS were estimated for various patient subgroups by using the Kaplan-Meier method, and the log-rank test was used to compare survival curves between groups. Cox regression analysis was performed to evaluate predictors of adverse events. P-values £¼0.05 were considered statistically significant.
Results
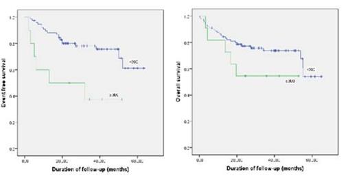
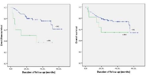
High WBC patients count for 30.33% for all patients (121/399), among which 38 cases (31.4%) with initial leukocyte counts of 100-200*109/L, 8 cases (6.61%) with a leukocyte count of 200-300*109/L, and 19 patients (15.70%) with a leukocyte count of 300*109/L. The data indicated that less than 1 year at diagnosis, T-cell immune phenotype, massive hepatomegaly, SIL-TAL1 fusion gene, serum levels of lactic dehydrogenase (LDH), and serum levels of α-Hydroxybutyrate (α-HBDH) were positively correlated to super-hyperleukocytosis, while fibrinogen(Fib) was negatively correlated to high WBC. Early complications occurred in 42 of 121 patients (34.7%). Of which, 17 patients had respiratory events,11 patients suffered a tumor lysis syndrome (TLS), 4 cases diagnosed as intracranial hemorrhage, 5 cases accompanied with disseminated intravascular coagulation (DIC) and 5 cases died at their early stage (ED). TLS, cerebral hemorrhage, DIC and ED occurred significantly more frequently in patients with extreme hyperleukocytosis. For 121 patients with high WBC counts, 101 patients completed the treatment with CCLG-2008 protocol, 20 cases gave up due to early complications, early death or economic status. The complete remission (CR) rate was 86.1% (87/101). No significant effect of a high WBC was found on MRD on day 33. 24 /87 (27.6%) patients relapsed with an initial WBC of 50-100*109/L in 3 cases, 100-200*109/L in 9 cases, and 300*109/L (50%) in 12 cases, respectively. No case with WBC of 200-300*109/L relapsed probably due to the smallest number of patient in this category. Bone marrow was the most common site of relapse involved either alone or in combination (20 cases, 83.8%). 13 patients (54.2%) relapsed at early or very early time after CR. The treatment related death (TRD) occurred in 18 /121patients (14.9%) with high WBC with a distribution as WBC 50-100*109/L in 4 cases, 100-200*109/L in 2 cases, 200-300*109/L in 4 cases, and 300*109/L in 8 cases. Patients with WBC ¡Ý 300*109/L had a significantly shorter EFS (P=.003), higher relapse (P=.019), higher ED (P=.001) and higher TRD (P=.036) (Figure 1 and 2). However, the WBC count seemed not to significantly influence the OS (Figure 2).
Conclusion
In conclusion, WBC300*109/L confers a poorer prognosis on pediatric ALL patients due to increasing adverse events such as higher relapse, higher ED and TRD which resulted in lower EFS. More efficient protocols need to reduce early complications, early relapse and improve their OS for these patients
No relevant conflicts of interest to declare.
Author notes
Asterisk with author names denotes non-ASH members.

