Abstract
Mutations in the nucleophosmingene (NPM1) are common in patients with cytogenetically-normal acute myeloid leukemia (AML) and have been associated with positive outcomes. Although most leukemic stem cells (LSCs) arise from CD34+ primitive progenitors, our recent data suggest that a fraction arise from less primitive CD34- progenitors and seem to have a better prognosis (Gerber et al. Haematologica 2016). Conversely, poor-risk AMLs such as those harboring internal tandem duplications of the FMS-like tyrosine kinase 3 (FLT3-ITD) or with poor-risk cytogenetics appear to arise from LSCs with a primitive hematopoietic stem cell (HSC) phenotype. NPM1-mutated AMLs can be either CD34- or CD34+, and have been associated with variable prognoses. We hypothesize that the cell of origin, CD34- or CD34+, of NPM1-mutated AML has prognostic implications.
A retrospective cohort analysis was conducted using electronic medical record data from patients aged 18 or older with newly-diagnosed NPM1-mutated AML treated with intensive induction chemotherapy at Johns Hopkins Hospital from 2008-2015. NPM1 and FLT3-ITD mutations were determined from PCR assays on diagnostic samples. We (Gerber et al. Haematologica2016) and others have shown that CD34+ cells represent normal, non-leukemia progenitors when they comprise <1% of mononuclear cells (MNCs); thus, >/= 1% MNCs was the cut-off used to distinguish CD34+ from CD34- AMLs. Clinical outcomes including complete remission (CR) rate were compared using Chi-squared tests and event-free survival (EFS) and overall survival (OS) were estimated per the Kaplan-Meier method, using Wilcoxon tests to determine the impact of CD34 status.
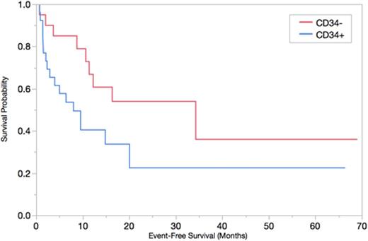
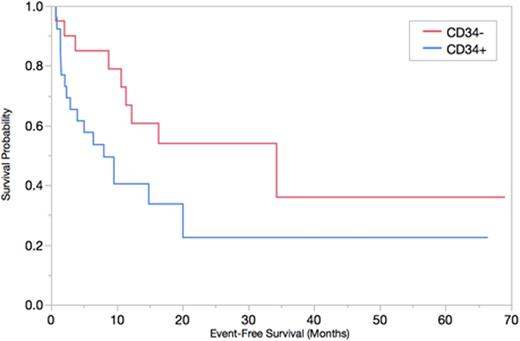
Of 46 consecutive, newly diagnosed NPM1-positive patients treated between 2008-15, 36 (78%) had normal cytogenetics and 37 (80%) had de novo AML. 26/46 (57%) had CD34+ disease; of these, 18/26 (69%) had FLT3-ITD mutations, compared to 9/20 (45%) with CD34- AML (p=0.10). In the CD34- patients with FLT3-ITD, the mean allelic ratio (mutant to wild type allele) ±SEM was 0.26±.08 compared to 2.3±1.0 in the CD34+ patients (p=0.07). Comparing CD34+ and CD34- patients, there were no significant differences in mean age at diagnosis (52 vs 59), sex, initial hemoglobin, platelet count, or lactate dehydrogenase, but CD34+ patients had significantly higher baseline white blood cell count (mean 78 vs 38 x 103 cells/mm3; p=0.04). There was a trend toward lower CR rates following induction for CD34+ patients (69 vs 89%; p=0.11), and similar proportions of patients underwent bone marrow transplantation (BMT) (50% vs 37%, p=0.38). However, CD34+ patients had significantly shorter EFS (figure 1; median 8.0 vs 34.3 months; p=0.04), and a trend toward inferior OS (15.4 vs 35.4 months; p=0.36). The lack of statistical significance in OS may reflect effective salvage by allogeneic transplantation.
In conclusion, in this small retrospective cohort analysis of NPM1-mutated AML patients, CD34 expression was associated with significantly reduced EFS and, among FLT3-ITD mutated patients, a trend toward higher allelic ratios. Hence, CD34 positivity may be an early indicator of poor prognosis in NPM1+ AML and requires further characterization to determine its full prognostic and predictive value in guiding AML therapy. These data support evidence that the biology of AML is not only a function of genetic mutations, but also in part a functionof the stage of hematopoietic differentiation at which the leukemogenic mutations develop.
EFS of NPM1-mutated AML patients by CD34 expression. Median follow-up of 23 months. EFS was significantly shorter for CD34+ patients (median 8.0 vs 34.3 months; p=0.01).
EFS of NPM1-mutated AML patients by CD34 expression. Median follow-up of 23 months. EFS was significantly shorter for CD34+ patients (median 8.0 vs 34.3 months; p=0.01).
No relevant conflicts of interest to declare.
Author notes
Asterisk with author names denotes non-ASH members.
