Background: Sickle hemoglobin (HbS) under conditions of deoxygenation polymerizes to cause sickling of red blood cells (RBCs) and other rheological abnormalities. Voxelotor has been previously shown in a preclinical model of sickle cell disease (SCD) to increase HbS affinity to oxygen, thus reducing its polymerization and sickling with subsequent increase in the half-life of RBCs. We hypothesized that given this mechanism of action, we would observe improvements in RBC physiology in patients receiving voxelotor. In the Phase 3 GBT HOPE trial, the use of voxelotor in patients with SCD caused a significant reduction in markers of hemolysis and anemia. Ektacytometry is considered the gold standard to study deformability of RBCs with membrane protein disorders. The deformability of RBCs can be assessed using a defined value of shear stress with an increasing osmotic gradient (osmoscan) as well as with a newer technology to subject these cells to gradual deoxygenation (oxygenscan). Both assays can be measured using the Laser Optical Rotational Red Cell Analyzer (LORRCA, RR Mechatronics, NL). In this pilot study, we analyzed samples from patients with SCD receiving voxelotor, before and 12 weeks after starting therapy to assess the benefits of voxelotor on RBC physiology.
Methods: Our pilot study obtained whole blood from children ages 4-11 years with SCD, who were enrolled in the IRB approved GBT 440-007 clinical trial (NCT02850406; a study evaluating multiple doses of voxelotor at 1500 mg/day equivalent exposure to adults based on body weight) at Emory University/Children's Healthcare of Atlanta. All participants in this cohort continued their stable, optimal hydroxyurea dose during treatment with voxelotor. The below measurements were performed on the pre-dose and Week 12 visit samples. Deformability of RBCs was performed at a shear stress of 30 Pa and varying osmolality gradients (0-600 mOsm/Kg) for Osmoscan. Omin corresponds to the value of the hypotonic osmolality, where 50% of the cells hemolyze in an osmotic fragility assay and provides information on the initial surface area:volume ratio. Maximal deformability or Elongation Index (EImax) near isotonic osmolality informs us of the RBC cytoskeleton mechanics and Ohyper, the osmolality corresponding to 50% of the Elmax, provides information regarding the cytoplasmic viscosity. Oxygenscan was performed but under controlled deoxygenation using nitrogen. Point of Sickling (POS) is a point on the curve during deoxygenation when sickling begins, and EImin corresponds when sickle RBCs can least elongate. Oxygen dissociation curves were obtained using a HemOx Analyzer (TCS Scientific). Complete blood count parameters were determined on a clinical laboratory hematology analyzer (ADVIA, Siemens). Data was analyzed with Prism using a paired T-test.
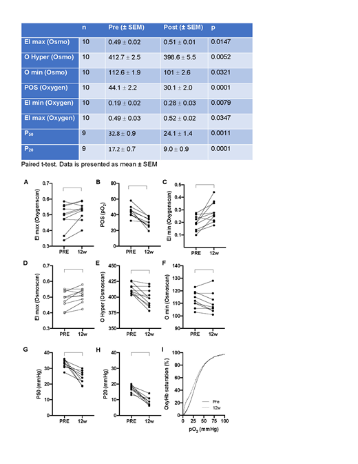
Results: Both pre-dose and Week 12 visit samples were available for 10 participants. Mean hemoglobin at baseline was 9.0 g/dL (7.6-10.0) and at 12 weeks, 10.3 g/dL (8.2-12.3). Six out of 10 participants had a hemoglobin response at Week 12 (defined as an increase in Hb from baseline by >1 g/dL), of which 5 had hemoglobin over 10 g/dL. Mean % change in percentage of reticulocytes was -17.0%. Significant improvement in EImax on osmoscan was noted at Week 12 (p=0.0147), suggesting RBCs were more deformable with improved cytoskeleton mechanics. In addition, oxygenscan curves shifted upwards towards normal with a significant increase in EImax (p=0.0347) and EImin (p=0.0079). These findings combined with a decrease in POS (p=0.0001) during deoxygenation suggests that at low oxygen tension, voxelotor treated RBCs were more deformable possibly from reduced HbS polymer inside these cells. Significant reductions in P50 (p=0.0011) and P20 (p=0.0001) with a left shift of the oxygen dissociation curve further demonstrates the effect of voxelotor on RBCs.
Discussion: Voxelotor therapy in children with HbSS is associated with reductions in anemia and reticulocyte response, and recovery in RBC health as early as 12 weeks of treatment. Voxelotor's ability to inhibit HbS polymerization and RBC sickling is associated with specific modulation in red cell rheology at normoxic and deoxygenating conditions. Left shifted oxygen dissociation curves confirm voxelotor's ability to increase oxygen affinity. These findings suggest that voxelotor improves RBC deformability and anemia and delays the initiation of RBC sickling.
Chonat:Alexion: Other: advisory board; Agios Pharmaceuticals, Inc.: Other: advisory board. Baratz:Prolong Pharmacuticals: Honoraria; Global Blood Therapeutics: Research Funding. Pochron:Global Blood Therapeutics: Employment, Equity Ownership. Dixon:Global Blood Therapeutics: Employment, Equity Ownership. Tonda:Global Blood Therapeutics: Employment, Equity Ownership. Lehrer-Graiwer:Global Blood Therapeutics: Employment, Equity Ownership. Brown:Pfizer: Research Funding; Novartis, Inc: Research Funding; Imara, Inc: Consultancy, Research Funding; Global Blood Therapeutics, Inc: Consultancy, Membership on an entity's Board of Directors or advisory committees, Research Funding. Archer:AstraZeneca: Research Funding; Prolong Pharmaceuticals: Consultancy; Global Blood Therapeutics: Consultancy, Research Funding.
Author notes
Asterisk with author names denotes non-ASH members.
