Background:
Sickle cell disease (SCD) is the most commonly inherited blood disorder in the U.S., affecting 100,000 individuals there, and more than 250 million individuals globally. It is not clear what leads to variation in phenotype among individuals with the disease. Differences in experiences such as stress may be a contributing factor to variation in disease severity. Hair cortisol content (HCC) has been used to study stress levels. Our objective is to determine the relationship between HCC and other clinical measures in individuals with SCD.
Methods:
We collected hair samples from individuals with SCD as a part of the Insights into Microbiome and Environmental Contributions to SCD and Leg Ulcers (INSIGHTS) study (NCT02156102). Study participants received a comprehensive history and physical exam. Hair samples were collected from the base of scalp and analyzed for cortisol by enzyme immunoassay. Blood samples were collected for analysis of hemoglobin variants and steroids. Linear regression models were used to assess which factors were associated with HCC.
Results:
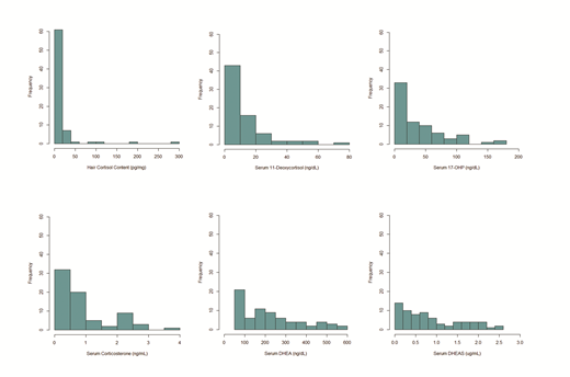
We collected hair samples from 73 subjects with SCD (mean age:39 ± 12 years, 63% female). Most individuals were homozygous genotype HbSS (81%). The average HCC per individual was 17.1 pg/mg, with a large range of 0.4 pg/mg to 280.10 pg/mg. In linear regression models, higher hemoglobin S levels were associated with lower HCC (β=-5.18, SE=-3.07, p=0.003). We also observed that HCC was lower among individuals who had greater than 30% hemoglobin S, compared with those who had less than 30% hemoglobin S (W = 272.5, p-value = 0.01). Lower HCC was also associated with report of not being on a chronic transfusion program (β=48.34, SE=14.09, p=0.001) and higher ferritin levels (β=-0.006, SE=0.002, p=0.02). Furthermore, HCC was significantly correlated with serum cortisol (rs=0.26, p=0.03) and corticosterone (rs=0.29, p=0.01). We also observed a consistent pattern of low steroid values among our population (Figure 1).
Conclusions:
Our findings suggest that individuals with higher hemoglobin S and ferritin, both markers of severe SCD, may have decreased cortisol levels as indicated by their lower hair cortisol values. This is consistent with the relationship we observed between higher hair cortisol levels among individuals who are on a chronic blood transfusion program, which typically increases quality of life and reduces hemoglobin S levels. Previous studies have observed a higher prevalence of adrenal insufficiency (AI), which is associated with increased morbidity and mortality, among individuals with SCD when compared with the general population (Makino et al., 2013 Exp Clin Endocrinol Diabetes and Chabre et al., 2017 Ann Endocrinol). As AI may be more prevalent in SCD, we recommend that clinicians treating patients with SCD follow the Endocrine Society guidelines for testing for AI, assessed by serum cortisol,11-deoxycorticosterone, and corticosterone, and treat accordingly (Bornstein et al. 2016 J Clin Endocrinol Metab). Future studies should continue to examine the prevalence and effects of AI in SCD. Hair cortisol may be a useful tool in evaluating patients with SCD who could be at risk for developing AI.
Minniti:Doris Duke Foundation: Research Funding. Stratakis:Pfizer: Consultancy, Research Funding.
Author notes
Asterisk with author names denotes non-ASH members.
