Introduction:
Primary extranodal lymphomas of the salivary glands constitute 12% of head and neck lymphomas, and less than 5% of salivary gland neoplasms. Parotid gland is the most commonly involved structure. Mucosa-associated lymphoid tissue (MALT) lymphoma is considered the most common histology in parotid lymphomas and carry a favorable prognosis. In this study, we sought to explore the impact of histologic subtype on survival.
Methods:
The Surveillance, Epidemiology and End Results (SEER) database was used to identify patients (≥18 years) diagnosed with primary parotid lymphomas between 1975 and 2016. B-cell, T-cell, and Hodgkin's lymphomas were included. Treatment effect (surgery, radiation, chemotherapy) was analyzed when available. Only stage I lymphomas by Ann-Arbor staging system were included to ensure parotid gland as the primary site. Overall survival was estimated using the Kaplan-Meier method, and compared using Log-Rank test. Cox proportional hazards models were used for adjusted survival analyses.
Results:
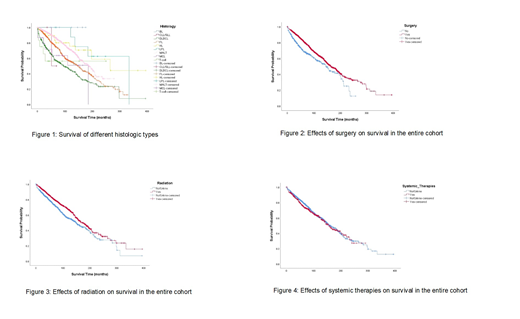
A total of 1482 patients were included in the analysis. Median age was 66 years (18-102), and the majority were female (n=904, 61%) and Caucasian (n=1074, 72.5%). MALT was the most common histology (N=681, 46%), followed by follicular lymphoma (FL; N=407, 27.5%), and diffuse large B-cell lymphoma (DLBCL; N=310, 21%). Small lymphocytic lymphoma was the least common histology (CLL/SLL; N=3, 0.8%). A total of 1084 patients (73%) had surgery, 433 (29%) had systemic therapies and 691 (47%) had radiation. Median overall survival was 13 years [12-14.5; 95% CI]. Survival was different by histological type (Figure 1, P<0.001). Compared with MALT, DLBCL was associated with higher mortality (HR 2.05 [1.60-2.63], P <0.001), while FL was not significantly different (HR 1.11 [0.89-1.40], P=0.32); independent of other variables. In a multivariate model; surgery (HR 0.81 [0.66-0.99], P=0.042) and radiation (HR 0.67 [0.56-0.82], P <0.001), but not systemic therapies (HR 0.93 [0.76-1.15], P=0.55) were associated with lower mortality (Figures 2-4). Adjusted mortality decreased by a relative 3% annually (HR 0.97 [0.95-0.99], P=0.03).
Conclusion:
Primary parotid lymphomas are rare extranodal lymphomas affecting mostly elderly Caucasian women. Using a large population database, MALT was still the most common histology and carried a favorable prognosis with a median overall survival of greater than 10 years despite the high median age at diagnosis. DLBCL histology did significantly worse which highlights the need for potentially more aggressive interventions to improve outcomes. Surgery and radiation were associated with improved outcomes.
Yazbeck:Gilead Sciences: Research Funding; Seattle Genetics: Membership on an entity's Board of Directors or advisory committees; Celgene: Membership on an entity's Board of Directors or advisory committees.
Author notes
Asterisk with author names denotes non-ASH members.
