Abstract

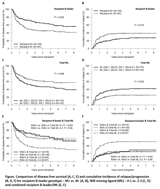
In addition to donor T cells, natural killer (NK) cells are proposed to play a significant role in the graft-versus-leukemia (GVL) effect following haploidentical donor transplantation (HIDT). Following HIDT, donor NK cells express activating (NKG2C) receptors (Ciurea, Leukemia 2021), whose ligand is the non-classical human leukocyte antigen, HLA-E. For surface expression, HLA-E requires binding of leader peptides derived from class I HLA molecules. The rs1050458C/T dimorphism at position -21 of exon 1 of HLA-B gives rise to leader peptides with either methionine (M) or threonine (T) at the second residue of the processed leader peptide. M-containing HLA-B leader peptides promote higher HLA-E expression than T-leaders, potentially favoring more robust natural NK cell recognition of HLA-E-expressing tumor cells. Alternatively, donor NK cells can be activated through inhibitory killer cell immunoglobulin-like receptors (iKIR: 2DL1, 2DL23, 3DL1, 3DL2), if they fail to engage a corresponding class I HLA ligand on recipient leukemia cells (missing ligand (ML) paradigm). We hypothesized that M-containing B-leaders (either MM or MT genotype), and potentially its association with KIR ML, may inform relapse and survival after HIDT using post-transplant cyclophosphamide (PTCy). A total of 322 patients with acute leukemia, MDS, lymphoma, CLL or CML, receiving a HIDT-PTCy from a single institution were evaluated with a median follow-up time of 45 months [range 6, 184]. Baseline characteristics included a median age of 50 years [19, 80], 47% non-white, HCT-CI ≥3 in 50%, PBSC graft in 80%, and myeloablative conditioning in 49%. M-containing B-leader genotype (either MM or MT) was seen in 42% and 44% of recipients and donors, respectively. The B-leader on the unshared donor-recipient haplotypes was matched (either T or M) in 61% of transplants. ML for iKIR 2DL1, 2DL23, 3DL1, and 3DL2 was noted in 29%, 20%, 24% and 72% respectively. Total ML was 0, 1, 2 and 3 in 10%, 43%, 40% and 7% respectively. In univariate analysis, an M-containing recipient B-leader genotype [R(M+)] improved OS and DFS compared to a recipient TT genotype [R(M-)] (75 vs. 53%, p<0.001; 66 vs. 47%, p<0.001), which was primarily due to a lower risk of relapse/progression (24% vs. 38%, p=0.012). In regard to total iKIR ML, the presence of 2-3 ML was associated with better overall (OS) and disease-free (DFS) survival compared with 0-1 (67% vs. 57%, p=0.08; 62% vs. 48%, p=0.019), which was due to lower relapse/progression (25% vs. 38%, p=0.015). There was no association of either recipient B-leader or total iKIR ML with the incidence of NRM, acute or chronic GVHD. When recipient B-leader and ML were combined, the detrimental effect of a R(M-) genotype was seen exclusively in patients with ML 0-1 (see figure). DFS for R(M-)/ML(0-1), R(M+)/ML(0-1), R(M-)/ML(2-3), R(M+)/ML(2-3) was 36%, 68%, 65% and 60%, respectively (p<0.001). Corresponding relapse/progression rates were 49%, 22%, 26% and 25%, respectively (P<0.001). In multivariate analysis, controlling for patient age/sex/race, disease risk index, donor age, HLA-DR mm, HLA-DP npmm and year of transplantation, both recipient B leader and total iKIR ML were independently associated with DFS (HR 0.57, p=0.002 and HR 0.67, p=0.026) and relapse/progression (HR 0.55, p=0.006 and HR 0.55, p=0.007). In summary, a recipient M-containing B-leader genotype (MM or MT) reduces relapse and improves survival following HIDT-PTCy, presumably through HLA-E-mediated effector cell engagement. Furthermore, the negative consequences of low total ML for iKIR, in terms of increased relapse risk and lower DFS, can be mitigated when a R(M+) B-leader is present. In addition to the clinical importance of this novel finding for optimizing HIDT-PTCy, it further supports the role of alloreactive donor NK cells for optimal GVL in this context.
Solh: Partner Therapeutics: Research Funding; Jazz Pharmaceuticals: Consultancy; ADCT Therapeutics: Consultancy, Research Funding; BMS: Consultancy.
Author notes
This icon denotes a clinically relevant abstract
