Abstract
The selectins are inducible adhesion molecules critically important for the inflammatory response. We investigate here the functional effects of three monoclonal antibodies (MoAbs) raised against murine E-selectin (9A9, 10E6, and 10E9.6) on neutrophil recruitment in vivo, leukocyte rolling and circulating leukocyte concentrations in vivo, and adhesion of myeloid cells to E-selectin transfectants and recombinant E-selectin–IgG fusion protein in vitro. MoAbs 9A9 and 10E6 map to the lectin and epidermal growth factor (EGF)-like domains of murine E-selectin, whereas 10E9.6 binds to the consensus repeat region. 10E9.6 blocked neutrophil recruitment in a model of thioglycollate-induced peritonitis in Balb/c mice by more than 90% but had no effect in C57BL/6 mice. 9A9 and 10E6 blocked neutrophil recruitment in this assay only when combined with a P-selectin antibody, 5H1. Neither 9A9 nor 10E9.6 alone blocked leukocyte rolling in tumor necrosis factor-α–treated venules of Balb/c mice, but 9A9 almost completely inhibited leukocyte rolling when combined with the function-blocking murine P-selectin MoAb, RB40.34. In contrast, 10E9.6 had no effect on leukocyte rolling in RB40.34-treated Balb/c or C57BL/6 mice. 10E9.6 did not affect adhesion of myeloid cells to E-selectin transfectants or attachment, rolling, and detachment of myeloid cells to murine E-selectin–IgG fusion protein. However, adhesion was completely blocked in the same assays by 9A9. Taken together, these results indicate that E-selectin serves a function, other than rolling, that appears to be critically important for neutrophil recruitment to inflammatory sites in Balb/c mice.
LEUKOCYTE RECRUITMENT to sites of inflammation in vivo requires leukocyte rolling before firm adhesion and transmigration.1-3 Leukocyte rolling is known to be mediated by the selectins, a family of three mammalian transmembrane adhesion molecules with similar structural organization consisting of an N-terminal lectin domain, an epidermal growth factor (EGF)-like domain, multiple consensus repeats, a transmembrane, and a cytoplasmic domain.4-6 Both P-selectin and E-selectin have been shown to support neutrophil rolling in reconstituted systems in vitro using laminar flow chamber assays at near-physiologic shear stresses.7-9
In the mouse, the functions of P-selectin and E-selectin are thought to be overlapping, because neutrophil recruitment to thioglycollate-induced peritonitis is not impaired in gene-targeted E-selectin–deficient mice10 and only moderately delayed in P-selectin–deficient mice.11 Similarly, leukocyte rolling is not significantly reduced in venules of tumor necrosis factor-α (TNF-α)–treated P-selectin–deficient mice12 or E-selectin–deficient mice.13 However, TNF-α–induced leukocyte rolling and inflammatory neutrophil recruitment into peritoneal lesions are severely compromised in P- and E-selectin double mutant mice,14 in E-selectin–deficient mice treated with P-selectin antibodies,10 and in P-selectin–deficient mice treated with E-selectin antibodies.15 Similarly, leukocyte recruitment into inflammatory lesions in vivo is only partially inhibited by antibodies to P- or E-selectin,16 but more complete inhibition is achieved by combinations of such antibodies (Wolitzky et al, unpublished data). Although α4 integrins have been shown to provide an alternative pathway capable of mediating lymphocyte rolling in flow chamber systems in vitro17,18 and in Peyer's patch venules19 in vivo, the severe inflammatory deficiency and the absence of leukocyte rolling after blockade of E- and P-selectin indicate that the selectins are required for normal neutrophil recruitment during an inflammatory response in vivo.
Gene-targeting and homologous recombination requires the use of embryonal stem (ES) cells, which are usually derived from the 129/Sv mouse strain. Transfected ES cells are then implanted into blastocysts from C57BL/6 mice. Consequently, gene-targeted mice are of a mixed 129/Sv × C57BL/6 background. Some mutant strains have been back-crossed into a C57BL/6 background. A recent study showed that the E-selectin MoAb 10E9.6 efficiently blocked neutrophil recruitment to thioglycollate-induced peritonitis in Balb/c mice.16 We observed in previous studies that 10E9.6 did not inhibit leukocyte rolling in TNF-α–treated cremaster muscle venules of wild-type or P-selectin–deficient C57BL/6 mice,12,15 whereas 9A9 blocked rolling.15 Based on these findings, it appears possible that E-selectin function may differ among mouse strains.
The present study was undertaken to investigate the possibility that E-selectin may serve a function apart from mediating leukocyte rolling during neutrophil recruitment in Balb/c mice, but not in C57BL/6 mice. We hypothesized that such a function of E-selectin would be nonredundant with the function of P-selectin. We aimed to reconcile apparent discrepancies between the normal inflammatory phenotype seen in E-selectin–deficient C57BL/6 × 129Sv mice10 compared with significant anti-inflammatory effects of E-selectin MoAbs seen in Balb/c mice,16 rats,20 and in human skin transplanted into severe combined immunodeficient (SCID) mice.21 Balb/c mice are known to differ from the C57BL/6 strain with respect to several parameters relevant to inflammation. Compared with Balb/c mice, C57BL/6 mice are more resistant to infection with herpes simplex virus-1 and other pathogens,22 produce more complement factor C3b when stimulated via the alternative pathway,23 release less interleukin-5 (IL-5) and IL-10 during parasite infection,24 and show weaker transcription of the interferon-activatable 202 gene.25 Based on these findings, it appears reasonable to expect at least quantitative differences in the inflammatory consequences of intraperitoneal injection of thioglycollate. We investigate here the effect of various E-selectin monoclonal antibodies (MoAbs) on neutrophil recruitment to thioglycollate-induced peritonitis and leukocyte rolling in venules of TNF-α–treated cremaster muscles in Balb/c and C57BL/6 mice in vivo. Furthermore, we map the binding sites of MoAbs 9A9, 10E6, and 10E9.6 on murine E-selectin and determine the effect of these E-selectin MoAbs on myeloid cell attachment, rolling, and detachment on E-selectin–coated plastic and E-selectin–transfected cells in vitro. The data indicate that 10E9.6 blocks a mandatory function of E-selectin for neutrophil recruitment in Balb/c mice that is unrelated to leukocyte rolling.
MATERIALS AND METHODS
Cell lines.The murine neutrophil progenitor cell line 32Dcl326 was grown in Dulbecco's modified Eagle's medium supplemented with 20% fetal calf serum (FCS) and 10% WEHI-3B–conditioned media as a source of IL-3. The human promyelocytic cell line HL-60 was cultured in RPMI 1640 supplemented with 10% FCS. COS cells were transfected as described previously27 with cDNAs encoding for membrane-anchored constructs of murine E-selectin (lec-EGF-CR1-6), truncated murine E-selectin (lec-EGF ), or a human/murine E-selectin chimera (murine lec-EGF-human CR1-2).28 COS cells were grown in Iscove's Modified Dulbecco's media with 10% FCS.
MoAbs.Rat antimouse E-selectin MoAbs 10E9.6 (IgG2a), 9A9 (IgG1), and 10E6 (IgG2b) were produced as described.16,28 Rat antimouse P-selectin MoAbs RB40.34 and 5H1 were produced as described.10,16 All antibodies were used as purified IgG preparations and were free of endotoxin as determined by limulus amoebocyte assay (endotoxin content, <50 pg/mg antibody). All antibodies were confirmed to be specific for E-selectin or P-selectin, respectively.10,16 28
Epitope mapping.The binding epitopes for antimurine E-selectin MoAbs 9A9, 10E6, and 10E9.6 were determined by indirect immunofluorescence on COS cells transfected with various E-selectin constructs. Transiently transfected COS cells were fixed in phosphate-buffered saline (PBS) containing 3% paraformaldehyde for 15 minutes at 25°C. After two washes with PBS, cells were blocked with 10% human serum in PBS and stained for 30 minutes with E-selectin MoAbs, P-selectin MoAb 5H1, or L-selectin MoAb MEL14 at 5 μg/mL in PBS containing 10% human serum. Cells were washed with PBS and incubated with rhodamine-conjugated antimouse IgG for 30 minutes. Immunofluorescence was observed using a Zeiss Axioscope microscope (Carl Zeiss, Inc, Thornwood, NY).
Binding of selectin antibodies to COS cells transfected with E-selectin constructs. E-selectin MoAbs 9A9 (B), 10E9.6 (C), and 10E6 (D), but not P-selectin MoAb 5H1 (E) or L-selectin MoAb MEL-14 (F ), bind to COS-cells transfected with a cDNA encoding for the lectin (Lec), EGF, and CR1-6 domains of murine (Mu) E-selectin (top). Negative control antibody shows no binding (A). MoAbs 9A9 and 10E6, but not 10E9.6, bind to COS cells transfected with a chimeric selectin containing murine lectin and EGF domains and human (Hu) CR1-2 domains (middle). Identical results to those seen with the murine/human chimera are seen with COS cells transfected with truncated mouse E-selectin (lectin and EGF domains only; bottom).
Binding of selectin antibodies to COS cells transfected with E-selectin constructs. E-selectin MoAbs 9A9 (B), 10E9.6 (C), and 10E6 (D), but not P-selectin MoAb 5H1 (E) or L-selectin MoAb MEL-14 (F ), bind to COS-cells transfected with a cDNA encoding for the lectin (Lec), EGF, and CR1-6 domains of murine (Mu) E-selectin (top). Negative control antibody shows no binding (A). MoAbs 9A9 and 10E6, but not 10E9.6, bind to COS cells transfected with a chimeric selectin containing murine lectin and EGF domains and human (Hu) CR1-2 domains (middle). Identical results to those seen with the murine/human chimera are seen with COS cells transfected with truncated mouse E-selectin (lectin and EGF domains only; bottom).
Myeloid cell adhesion under static conditions.Adhesion of HL-60 cells to COS cells transfected with murine E-selectin (lectin, EGF, and CR1-6 domains) was investigated in the presence and absence of the E-selectin MoAbs and an isotype-matched control antibody at 20 μg/mL. COS cell monolayers (5 × 105 cells per 35-mm well, 48 hours posttransfection) were incubated with 3 × 106 carboxyfluorescein diacetate (CFDA)-labeled HL-60 cells for 30 minutes at 25°C as previously described.29 COS cells were preincubated with 9A9, 10E6, 10E9.6 (20 μg/mL), or control rat IgG (P-selectin MoAb 10A10) for 20 minutes at 25°C. Wells were washed four times with RPMI, and bound cells were visualized and photographed. Adherent cells were removed with trypsin and transferred to a 96-well plate, and the associated fluorescence was determined in a CytoFluor 2300 plate reader (Millipore Corp, Bedford, MA).
Myeloid cell attachment, rolling, and detachment in laminar flow.Murine E-selectin–IgG fusion protein30 (2 μg/mL) was adsorbed to plastic coverslips as described.8 Murine 32Dcl3 or human HL-60 cells (500,000/mL) in RPMI1640 with 1% human serum albumin (HSA) were infused into a parallel plate flow chamber31 at room temperature at a wall shear stress of 0.8 dyn/cm2. The adsorbed E-selectin–IgG was incubated with polyclonal F(ab′)2 antibody against the Fc domain of human IgG (Biodesign International, Kennebunk, ME) to block Fc receptor-mediated adhesion. Antibodies were added to the cell suspensions (2 μg/mL) and incubated with the selectin-coated surface for 15 minutes before the experiment. In some experiments, EDTA (5 mmol/L) was used to chelate divalent cations by treating both the selectin substrate and the cell suspension before and during the experiment. MoAbs 9A9 or 10E9.6 were infused into the flow chamber at a concentration of 10 μg/mL and incubated for 15 minutes before the onset of flow. For the detachment assay, 32Dcl3 cells were infused as described above at a wall shear stress of 0.8 dyn/cm2. After 5 minutes, the flow was stopped, and cell-free media was perfused through the chamber at low shear stress to remove unbound cells. Detachment was assayed by counting the number of bound cells after increasing the wall shear stress at 30-second intervals up to 9.6 dyn/cm2.
Neutrophil recruitment to thioglycollate-induced peritonitis.Balb/c or C57BL/6 mice (4 per group) were treated with MoAbs 10E6, 9A9, or 10E9.6 (intravenously, 200 μg per mouse). Dose titration experiments showed that this dose was in the saturating range 4 hours after a single injection (data not shown). Peritonitis was induced by intraperitoneal injection of 0.5 mL of 3% thioglycollate per mouse, as described,10 and neutrophil recruitment to the peritoneal cavity was assessed at 4 hours after the induction of peritonitis. The peritoneal cavity was lavaged with 4 mL of Hanks' balanced salt solution with 10% FCS, and the number of cells was determined using a Coulter counter (Coulter, Miami, FL). Differentials were obtained from cytospins stained with Wright's stain, and the number of intraperitoneal neutrophils recovered per mouse was calculated. Peripheral blood neutrophil counts (retro-orbital sinus blood) in the thioglycollate-treated mice were obtained using a Coulter counter and smears stained with Wright's stain.
E-selectin expression in vivo.Cremaster muscle whole mounts were prepared from TNF-α–treated C57BL/6 and Balb/c mice injected with the E-selectin MoAb 10E9.6 and fixed in acetone at −18°C overnight. The tissue was washed in 0.05 mol/L Tris buffer containing 0.003% saponin, and secondary antibody (1:500 biotinylated rabbit antirat IgG; DAKO, Carpinteria, CA) was incubated for 45 minutes at room temperature in a humidified chamber. Secondary antibody was followed by incubation with 0.3% H2O2 in methanol for 1 hour and peroxidase-conjugated streptavidin (DAKO). The staining was developed using 3,3′-diaminobenzidine (Sigma, St Louis, MO) tablets at a concentration of 1 mg/mL in 0.05 mol/L Tris buffer with 0.01% H2O2 . The tissue was counterstained with Giemsa stain (Sigma) and mounted with Permount (Fisher Scientific, Pittsburgh, PA).
Leukocyte rolling in mouse cremaster muscle venules.The cremaster muscle was pretreated with an intrascrotal injection of murine recombinant TNF-α (Genzyme, Cambridge, MA; 500 ng/mouse) for 2.5 hours. This treatment is known to induce expression of E-selectin12 and to increase the expression of intercellular adhesion molecule-115 in venules of the cremaster muscle. The tissue was prepared for intravital microscopy as described previously12,32 and superfused with thermo-controlled (37°C) bicarbonate-buffered saline. Observations were made using a Zeiss Axioskop FS (Carl Zeiss Inc) intravital microscope with a saline immersion objective (SW 40, 0.75 numerical aperture). Venules with diameters between 20 and 80 μm were observed and recorded through a CCD camera system (model VE-1000CD; Dage-MTI, Inc, Michigan City, IN) for approximately 60 seconds per venule (Panasonic S-VHS recorder; Panasonic, Osaka, Japan). Centerline red blood cell velocities, microvessel diameters, and rolling leukocyte fluxes were measured as described,15 and rolling leukocyte flux fractions were calculated, accounting for hemodynamic variation between different venules.12 Systemic leukocyte concentrations were determined from carotid artery blood samples (10 μL each). Blood smears were stained with a three-step LeukoStat stain (Fisher) from which differential leukocyte counts were obtained.
Statistical analysis.All data are reported as the mean ± SEM of the number of animals, venules, or assays indicated. Leukocyte rolling in different experimental groups was compared using an analysis of variance (ANOVA) with correction for multiple comparisons where appropriate.
RESULTS
Epitope mapping.MoAbs 10E9.6, 9A9, and 10E6 all specifically bind to murine E-selectin.16 28 We extend these findings by showing that 10E9.6 binds to COS cells transfected with murine E-selectin (lectin, EGF, and CR1-6 domains) or a truncated murine E-selectin fusion protein containing the lectin, EGF, and first two CR domains (data not shown), but not to a murine-human chimera containing the murine lectin and EGF and human CR 1-2 domains or a truncated murine E-selectin construct consisting of the lectin and EGF domains only (Fig 1). This is in contrast to 9A9 and 10E6, both of which bind to all four constructs. Control antibodies 5H1 (to murine P-selectin) and MEL-14 (to murine L-selectin) do not bind to any of the constructs. These findings indicate that 10E9.6 binds to an epitope in the CR domains 1 and/or 2 of murine E-selectin. All three MoAbs recognize inducible E-selectin expressed on the surface of TNF-treated bEnd.3 mouse endothelioma cells (W. Risau, Max Planck Institute for Physiology and Clinical Research, Bad Nauheim, Germany; data not shown).
Myeloid cell adhesion under static conditions.HL-60 promyelocytes bind avidly to COS cells transfected with murine E-selectin cDNA (Fig 2). About 80% of this binding is blocked by coincubation with either 9A9 or 10E6, the antibodies recognizing the lectin and/or EGF domains of murine E-selectin (Fig 2). In contrast, 10E9.6 shows no inhibitory effect in this assay. Similarly, we find that 9A9, but not 10E9.6, blocks adhesion of murine 32Dcl3 or human HL-60 cells under static conditions to murine E-selectin–IgG immobilized on plastic (data not shown). Adhesion measured in the presence of 9A9 is equivalent to background levels seen in the presence of EDTA or in wells not adsorbed with E-selectin–IgG. Clearly, 10E9.6 does not block myeloid cell adhesion to E-selectin, whether immobilized on microtiter plates or expressed in COS cells.
Adhesion of HL-60 promyelocytes to COS cells transfected with murine E-selectin. CFDA-labeled HL-60 cells were incubated with E-selectin–transfected COS cells in the presence of E-selectin MoAbs 10E9.6, 9A9, 10E6, or P-selectin MoAb 10A10. Adhesion was quantified by measuring the fluorescence intensity of the supernatant obtained after lysis of labeled HL-60 cells bound to E-selectin–transfected COS cells. The level of HL-60 cell adhesion to untransfected COS cells is indicated by the broken line. Average ± SEM of four experiments.
Adhesion of HL-60 promyelocytes to COS cells transfected with murine E-selectin. CFDA-labeled HL-60 cells were incubated with E-selectin–transfected COS cells in the presence of E-selectin MoAbs 10E9.6, 9A9, 10E6, or P-selectin MoAb 10A10. Adhesion was quantified by measuring the fluorescence intensity of the supernatant obtained after lysis of labeled HL-60 cells bound to E-selectin–transfected COS cells. The level of HL-60 cell adhesion to untransfected COS cells is indicated by the broken line. Average ± SEM of four experiments.
Myeloid cell attachment, rolling, and detachment in laminar flow.In the presence of laminar flow, myeloid cells of murine (32Dcl3) or human (HL-60) origin adhere avidly and specifically to adsorbed murine E-selectin IgG and form stable rolling interactions (Fig 3A and C). In agreement with previous studies,8 myeloid cells attached to the E-selectin substrate exhibit slow rolling. Myeloid cell adhesion is completely blocked in the absence of extracellular divalent cations (5 mmol/L EDTA) and blocked by more than 90% by the E-selectin MoAb 9A9. In contrast, 10E9.6 has no effect on myeloid cell adhesion to E-selectin under flow conditions.
Attachment, rolling, and detachment of 32Dcl3 cells to adsorbed murine E-selectin fusion protein under flow. Cells were injected at a wall shear stress of 0.8 dyn/cm2 at time 0. The number of adherent and rolling 32Dcl3 cells in the absence of antibody (□) was not changed by 10E9.6 (⋄), but was almost completely abolished by 9A9 (○) (B). Mean ± SD of multiple fields. Rolling of 32Dcl3 cells (A) or HL-60 cells (C) on adsorbed murine E-selectin fusion protein in the presence of laminar flow (0.8 dyn/cm2 ) was expressed as number of cells per square millimeter at 5 minutes after onset of perfusion. Data are presented as the percentage of adherent cells in the absence of antibody. EDTA shows divalent cation dependence of adhesion, 9A9 almost completely blocks adhesion, and 10E9.6 has no effect. Mean ± SEM of multiple fields in two to three independent experiments. (D) Once engaged in rolling adhesion, 32Dcl3 cells are extremely shear resistant. Data are expressed as the percentage of bound cells at 0.8 dyn/cm2 after shear stress increments of 1.6 dyn/cm2 at 30-second intervals. Cells are not detached up to a shear stress of 9.6 dyn/cm2 either in the absence (□) or presence (⋄) of 10E9.6. Mean ± SD of multiple fields.
Attachment, rolling, and detachment of 32Dcl3 cells to adsorbed murine E-selectin fusion protein under flow. Cells were injected at a wall shear stress of 0.8 dyn/cm2 at time 0. The number of adherent and rolling 32Dcl3 cells in the absence of antibody (□) was not changed by 10E9.6 (⋄), but was almost completely abolished by 9A9 (○) (B). Mean ± SD of multiple fields. Rolling of 32Dcl3 cells (A) or HL-60 cells (C) on adsorbed murine E-selectin fusion protein in the presence of laminar flow (0.8 dyn/cm2 ) was expressed as number of cells per square millimeter at 5 minutes after onset of perfusion. Data are presented as the percentage of adherent cells in the absence of antibody. EDTA shows divalent cation dependence of adhesion, 9A9 almost completely blocks adhesion, and 10E9.6 has no effect. Mean ± SEM of multiple fields in two to three independent experiments. (D) Once engaged in rolling adhesion, 32Dcl3 cells are extremely shear resistant. Data are expressed as the percentage of bound cells at 0.8 dyn/cm2 after shear stress increments of 1.6 dyn/cm2 at 30-second intervals. Cells are not detached up to a shear stress of 9.6 dyn/cm2 either in the absence (□) or presence (⋄) of 10E9.6. Mean ± SD of multiple fields.
In view of these findings, we investigated whether 10E9.6 might influence the efficiency of attachment or capture of cells by E-selectin. We followed the transient accumulation of cells at the onset of perfusion of the flow chamber at 0.8 dyn/cm2 (Fig 3B). During the first minute, 32Dcl3 cells started to accumulate and the rate of accumulation was not reduced in the presence of 10E9.6. In contrast, 9A9 almost completely blocked accumulation of cells, which is consistent with its ability to block myeloid cell attachment to E-selectin.
We hypothesized that 10E9.6, even though unable to prevent myeloid cell adhesion in the presence of low shear stress, might compromise the bond formed between E-selectin and its ligand(s) on 32Dcl3 cells. To this end, we allowed 32Dcl3 cells to adhere to adsorbed E-selectin at low shear (0.8 dyn/cm2 ) and attempted to detach cells by increasing shear stress in 1.6-dyn/cm2 increments at 30-second intervals (Fig 3D). We found the bond between 32Dcl3 cells and E-selectin to be extremely shear-resistant, and we could not detect any reduction in the number of adherent cells up to a wall shear stress of 9.6 dyn/cm2. The E-selectin MoAb 10E9.6 did not promote detachment of 32Dcl3 cells adhered to E-selectin (Fig 3D). Detachment of 32Dcl3 cells in the presence of 9A9 could not be measured, because almost no cells attached even at 0.8 dyn/cm2. Taken together, our data show that 10E9.6 does not affect attachment rate, adhesion, or detachment rate of myeloid cells to E-selectin under flow conditions in vitro, whereas 9A9 prevents myeloid cell attachment completely.
Neutrophil recruitment to thioglycollate-induced peritonitis.In all in vitro assays, with the exception of myeloid cell adhesion to cultured endothelial cells,16 10E9.6 behaved like a non–function-blocking antibody. However, an earlier study had suggested that this antibody can block recruitment of neutrophils into thioglycollate-induced peritonitis in Balb/c mice in vivo.16 In contrast, E-selectin–deficient mice from a mixed 129sv × C57BL/6 background showed no defect of neutrophil recruitment in this assay.10 Therefore, we directly investigated whether the blocking capability of 10E9.6 is restricted to Balb/c mice. Figure 4 shows the number of neutrophils recovered after 4 hours from thioglycollate-treated wild-type Balb/c mice (Fig 4A) and wild-type C57BL/6 mice (Fig 4B). Although the inflammatory response to thioglycollate was very similar in the presence of isotype-matched control antibodies (8 to 10 million neutrophils per mouse), there was a striking difference in the ability of E-selectin antibodies to block neutrophil recruitment. In Balb/c mice, 10E9.6 blocked the inflammatory response by more than 90%, whereas 9A9 and 10E6, both recognizing the lectin and/or EGF domains of E-selectin, showed only partial effects (30% to 40% inhibition, Fig 4A). In contrast, neither 10E6 nor 10E9.6 alone inhibited neutrophil recruitment in C57BL/6 mice. Because of the known overlapping function of E- and P-selectin in this system, we included a group of C57BL/6 mice treated with a combination of a P-selectin MoAb (5H1) and E-selectin MoAbs 10E9.6 or 10E6. As expected, the combined blockade of the lectin functions of E- and P-selectin by 10E6 and 5H1, respectively, significantly reduced neutrophil recruitment. However, the combination of 10E9.6 and 5H1 had no effect in C57BL/6 mice (Fig 4B).
Recovery of neutrophils from peritoneal lavage fluid at 4 hours after thioglycollate injection of Balb/c mice and C57BL/6 mice. Neutrophil recruitment to thioglycollate-induced peritonitis was almost completely blocked by 10E9.6 in Balb/c mice and partially reduced by 10E6 and 9A9 (A). In contrast, 10E9.6 had no effect in the same assay performed in C57BL/6 mice, either alone or in combination with P-selectin 5H1 (B). 10E6 alone had no effect on neutrophil recruitment, but reduced recruitment by 60% when combined with 5H1. *P < .05; **P < .01 v isotype control. Mean ± SEM in four mice per group.
Recovery of neutrophils from peritoneal lavage fluid at 4 hours after thioglycollate injection of Balb/c mice and C57BL/6 mice. Neutrophil recruitment to thioglycollate-induced peritonitis was almost completely blocked by 10E9.6 in Balb/c mice and partially reduced by 10E6 and 9A9 (A). In contrast, 10E9.6 had no effect in the same assay performed in C57BL/6 mice, either alone or in combination with P-selectin 5H1 (B). 10E6 alone had no effect on neutrophil recruitment, but reduced recruitment by 60% when combined with 5H1. *P < .05; **P < .01 v isotype control. Mean ± SEM in four mice per group.
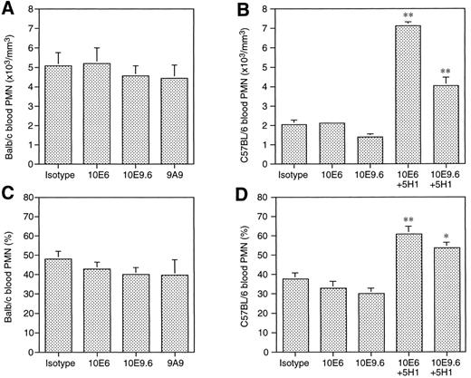
Circulating neutrophil concentration.Antibody treatment of experimental animals can have nonspecific effects, one of which is activation of intravascular neutrophils that results in an acute reduction in the circulating neutrophil concentration. A reduction in circulating neutrophils can reduce neutrophil recruitment to inflammatory sites. We therefore explored the impact of our antibody treatments on circulating neutrophil counts. In Balb/c mice (Fig 5A and C), circulating neutrophil concentrations averaged 5,000 polymorphonuclear leukocytes (PMN)/μL, and neutrophils accounted for about 45% of circulating leukocytes. Neither of these values was changed by treatment of mice with 10E6, 9A9, or 10E9.6. In C57BL/6 mice (Fig 5B and D), the percentage of neutrophils was similar (40%) to that in Balb/c mice, but the absolute concentration was lower (about 2,000 PMN/μL) due to lower total leukocyte counts. Neither 10E6 nor 10E9.6 alone affected neutrophil concentration in the peripheral blood. When combined with P-selectin antibody 5H1, neutrophil fractions were elevated to 50% to 55%, and total neutrophil numbers reached 4,000 to 7,000 PMN/μL (Fig 5B and D). This elevation of circulating neutrophil counts is a well-known consequence of the blockade of P-selectin function10 and is also observed in gene-targeted mice lacking P-selectin.11 33
Circulating neutrophil counts and fractions in Balb/c mice and C57BL/6 mice. E-selectin antibodies alone did not affect circulating neutrophil counts or the percentages in blood of either strain of mice. However, when combined with P-selectin MoAb 5H1, 10E9.6 and 10E6 caused an elevation of systemic neutrophil concentration and fraction. P-selectin antibodies are known to elevate circulating neutrophil counts even in the absence of E-selectin antibodies.10 Mean ± SEM in four mice per group. *P < .05, **P < .01 v isotype control.
Circulating neutrophil counts and fractions in Balb/c mice and C57BL/6 mice. E-selectin antibodies alone did not affect circulating neutrophil counts or the percentages in blood of either strain of mice. However, when combined with P-selectin MoAb 5H1, 10E9.6 and 10E6 caused an elevation of systemic neutrophil concentration and fraction. P-selectin antibodies are known to elevate circulating neutrophil counts even in the absence of E-selectin antibodies.10 Mean ± SEM in four mice per group. *P < .05, **P < .01 v isotype control.
E-selectin expression in vivo.MoAb 10E9.6 showed uniform staining of venules in both C57BL/6 and Balb/c mice treated with TNF-α (Fig 6C and D). Specificity was demonstrated by the absence of 10E9.6 staining in vessels from animals not treated with TNF-α (Fig 6A). An isotype-matched control primary antibody did not stain vessels of TNF-α–treated mice (Fig 6B). These findings indicate that 10E9.6 is able to recognize E-selectin in both mouse strains. It further confirms that E-selectin is indeed expressed in the venules investigated by intravital microscopy. Although immunoperoxidase staining is only semiquantitative, we saw no obvious difference of staining intensity between the two strains.
Expression of E-selectin in cremaster muscle venules of C57BL/6 and Balb/c mice. Mouse cremaster muscle whole mounts stained with immunoperoxidase as described in the Materials and Methods. Negative controls include specimen injected with 10E9.6 against E-selectin, but not treated with TNF-α (A) and TNF-α–treated specimen with irrelevant rat IgG2b (B). Strong E-selectin expression shown in venules of cremaster muscle obtained from C57BL/6 mice treated with TNF-α for 3 hours and injected with E-selectin MoAb 10E9.6 (C). Under the same conditions, similar staining was observed in Balb/c mice (D). Arterioles showed no detectable E-selectin expression under the same conditions. Bar represents 50 μm.
Expression of E-selectin in cremaster muscle venules of C57BL/6 and Balb/c mice. Mouse cremaster muscle whole mounts stained with immunoperoxidase as described in the Materials and Methods. Negative controls include specimen injected with 10E9.6 against E-selectin, but not treated with TNF-α (A) and TNF-α–treated specimen with irrelevant rat IgG2b (B). Strong E-selectin expression shown in venules of cremaster muscle obtained from C57BL/6 mice treated with TNF-α for 3 hours and injected with E-selectin MoAb 10E9.6 (C). Under the same conditions, similar staining was observed in Balb/c mice (D). Arterioles showed no detectable E-selectin expression under the same conditions. Bar represents 50 μm.
Leukocyte rolling in mouse cremaster muscle venules.Both E-selectin and P-selectin are known to mediate neutrophil rolling in vitro7,8,34,35 and in vivo,11,12,15,36,37 and inhibition of leukocyte rolling largely parallels effects seen on neutrophil recruitment.11,15,33 It is generally accepted that selectins function by initiating contact between circulating leukocytes and endothelial cells in the presence of shear stress.1,4-6 Therefore, we sought to investigate whether the inhibitory effect of 10E9.6 on inflammatory neutrophil recruitment in Balb/c mice was due to a dependence of leukocyte rolling on E-selectin in Balb/c mice. Previous studies had established that, in C57BL/6 mice lacking P-selectin, MoAb 9A9, but not 10E9.6, could inhibit leukocyte rolling in TNF-α–treated venules of the exposed cremaster muscle.12,15 Although E-selectin function was not studied in mesenteric venules, previous studies have yielded similar results in cremaster and mesenteric venules with respect to selectin-mediated leukocyte rolling.11,12 38
We next tested the possibility that 10E9.6 may inhibit E-selectin–dependent leukocyte rolling in Balb/c mice. We found that the average rolling leukocyte flux fraction in venules of TNF-α–treated cremaster muscles of Balb/c mice was about 13% of all passing leukocytes (Fig 7), a value that is somewhat smaller than in C57BL/6 mice studied under the same conditions.12,15 10E9.6, alone or in combination with the P-selectin function-blocking MoAb RB40.34, was unable to inhibit leukocyte rolling in this model. In contrast, a combination of E-selectin MoAb 9A9 with P-selectin MoAb RB40.34 blocked rolling in TNF-α–treated venules of Balb/c mice by almost 90%, as it does in wild-type C57BL/6 mice.13 Acute application of MoAb 10E9.6 did not alter the number of transmigrated leukocytes, because most of the leukocytes found in the extravascular space transmigrated during the 3-hour period of TNF-α treatment preceding antibody application.
Rolling leukocyte flux fraction in venules of TNF-α–treated cremaster muscle venules of Balb/c mice. The number of rolling leukocytes per minute (flux) was counted, and rolling leukocyte flux fraction was determined by dividing rolling leukocyte flux by total leukocyte flux (all leukocytes passing through microvessel). 10E9.6 had no significant effect on leukocyte rolling, either in the presence or absence of P-selectin MoAb RB40.34. In contrast, 9A9 almost completely blocked leukocyte rolling when combined with RB40.34. Mean of 9 to 21 venules in four mice. ***P < .001.
Rolling leukocyte flux fraction in venules of TNF-α–treated cremaster muscle venules of Balb/c mice. The number of rolling leukocytes per minute (flux) was counted, and rolling leukocyte flux fraction was determined by dividing rolling leukocyte flux by total leukocyte flux (all leukocytes passing through microvessel). 10E9.6 had no significant effect on leukocyte rolling, either in the presence or absence of P-selectin MoAb RB40.34. In contrast, 9A9 almost completely blocked leukocyte rolling when combined with RB40.34. Mean of 9 to 21 venules in four mice. ***P < .001.
DISCUSSION
We show that 10E9.6, which recognizes an epitope in the CR domains of E-selectin, strongly blocks neutrophil recruitment into the inflamed peritoneal cavity of Balb/c mice without affecting neutrophil rolling in vitro or in vivo. Because this antibody is specific for E-selectin, as shown by immunofluorescence, enzyme-linked immunosorbent assay, and immunoprecipitation,16 this finding suggests that E-selectin serves an obligatory function in Balb/c mice, but not in C57BL/6 mice. Our data show that 10E9.6 does not interfere with the first two steps of the adhesion cascade, leukocyte capture, and rolling, and thus indicate that this antibody inhibits a function of E-selectin downstream from leukocyte rolling.
Several previous studies in vitro have suggested that selectins can serve functions beyond mediating leukocyte rolling. L-selectin has long been known to be responsible for definitive adhesion of lymphocytes to high endothelial venules in cryostat sections of peripheral lymph nodes39,40 in addition to its function in leukocyte rolling.41,42 Cross-linking of L-selectin by bivalent antibodies or L-selectin ligands appears to induce intracellular signals in neutrophils.43-45 Other in vitro studies have suggested that E-selectin can also serve a signaling function, because neutrophils show signs of activation after binding to E-selectin.46,47 A ligand for E-selectin expressed on murine neutrophils, E-selectin ligand-1, is highly homologous with a receptor for fibroblast growth factor,48 which suggests a possible molecular substrate for E-selectin–mediated signaling. Although a signaling role for E-selectin has not been formally proven, it is possible that 10E9.6 may block a signaling function of E-selectin involved in activating neutrophils.
Leukocyte binding to E-selectin also appears to affect the arrangement of cytoskeletal elements and the localization of E-selectin in endothelial cells. A recent study49 shows that endothelial E-selectin is connected to the cytoskeleton and is actively redistributed to sites where neutrophils adhere. This clustering of E-selectin may represent a necessary step in the transition from rolling to firm adhesion of leukocytes. Yoshida et al49 clearly show that E-selectin must be involved in outside-in signaling, prompting the endothelial cell to rearrange its cytoskeleton. MoAb 10E9.6 may interfere with this signaling and/or cytoskeletal rearrangement. This would be consistent with the observation that 10E9.6 inhibits myeloid cell adhesion to endothelioma cells,16 but not to E-selectin–transfected COS cells or E-selectin immobilized on plastic. Alternatively, 10E9.6 might interfere with neutrophil transmigration through the microvessel wall. Some,50,51 but not all,52 53 previous in vitro studies have suggested a role for E-selectin in transendothelial migration.
Blockade of selectin function by an MoAb mapping to the complement regulatory domains is not unprecedented. At least one other CR-binding selectin antibody, EL246, is known to inhibit the adhesive functions of L- and E-selectin in various assay systems.54 The importance of the CR domains for selectin function is also implicated by studies showing reduced cell binding efficiency to constructs lacking some or all CR domains.55 56 Nevertheless, 10E9.6 differs from known selectin antibodies, including EL246, in that it does not interfere with myeloid cell binding in an endothelial cell-free adhesion assay using immobilized E-selectin.
The striking difference in the susceptibility of neutrophil emigration in the two different mouse strains to 10E9.6 raised the possibility that 10E9.6 may recognize E-selectin in Balb/c mice, but not in C57BL/6 mice. To address this possibility, we used immunoperoxidase detection of 10E9.6 antigen expression in cremaster muscle whole mounts. We found an absence of basal expression, but a strong induction by TNF-α on endothelial cells, which is a pattern of expression consistent with E-selectin.4-6 The intensity of staining was similar in Balb/c and C57BL/6 mice, consistent with comparable expression of E-selectin in both mouse strains. We further investigated whether 10E9.6 might block leukocyte rolling in Balb/c mice. Our data clearly show that this is not the case. Having ruled out these other possibilities, we propose that 10E9.6 blocks a function of E-selectin that is required for PMN recruitment in Balb/c mice, but not in C57BL/6 mice.
Previous investigations have established that differences in inflammatory function between these two mouse strains exist. For example, C57BL/6 mice are more resistant to infection with herpes simplex virus-1 and other pathogens,22 produce more complement factor C3b when stimulated via the alternative pathway,23 release less IL-5 and IL-10 during parasite infection,24 and show weaker transcription of the interferon-activatable 202 gene.25 Other differences may exist, including differences that enable C57BL/6 mice to recruit neutrophils to inflammatory sites even when the E-selectin function identified by 10E9.6 is blocked. In the present study, we used the existing differences in the inflammatory response in Balb/c versus C57BL/6 mice as a tool to investigate the function of E-selectin in neutrophil recruitment in vivo. Further studies will be needed to associate the effect of 10E9.6 with a single step of the leukocyte recruitment cascade.
The present findings reconcile apparent discrepancies in the role of E-selectin between previous studies conducted in various mouse strains and other species.10,12,15,16,20,21 Experiments on neutrophil recruitment into human skin transplanted into SCID mice showed that an antibody recognizing human E-selectin almost completely blocked transmigration of murine and human leukocytes into the human skin grafts injected with TNF-α.21 Although the investigators did not investigate leukocyte rolling in this system, their observation suggests that E-selectin serves a required, nonredundant function in neutrophil recruitment in the human system.
Taken together, we show that blocking of E-selectin with 10E9.6 almost completely abolishes neutrophil recruitment into the inflamed peritoneal cavity in Balb/c mice, although leukocyte rolling is unaffected. These results suggest a unique role for E-selectin in Balb/c mice that cannot be accomplished by P-selectin.
Because neither rolling nor detachment was found to be affected by 10E9.6 in any of the systems studied, we conclude that E-selectin plays a role in neutrophil recruitment downstream from rolling, such as firm adhesion, leukocyte or endothelial activation, or leukocyte transmigration.
Supported by the National Institutes of Health (NIH) through NHLBI Grants No. HL54136 to K.L. and HL54614 to M.B.L. C.L.R. was supported by NIH Individual Training Grant No. NRSA HL09578.
Address reprint requests to Klaus Ley, MD, University of Virginia Health Sciences Center, Department of Biomedical Engineering, Box 377, Charlottesville, VA 22908.






