Abstract
All-trans retinoic acid (ATRA) is a potent inducer of terminal differentiation of malignant promyelocytes, but its effects on more primitive hematopoietic progenitors and stem cells are less clear. In this study, we investigated the effect of ATRA on highly enriched murine hematopoietic precursor cells (lin−c-kit+Sca-1+) grown in liquid suspension culture for 28 days. ATRA initially slowed the growth of these hematopoietic precursors but prolonged and markedly enhanced their colony-forming cell production compared with the hematopoietic precursors cultured in its absence. At 7 and 14 days of culture, a substantially greater percentage of cells cultured with ATRA did not express lineage-associated antigens (55.4% at day 7 and 68.6% at day 14) and retained expression of Sca-1 (44.7% at day 7 and 79.9% at day 14) compared with cells grown in its absence (lin−cells: 31.5% at day 7 and 4% at day 14; Sca-1+: 10.4% at day 7 and 0.7% at day 14). Moreover, a marked inhibition of granulocyte production was observed in cultures continuously incubated with ATRA. Significantly, ATRA markedly prolonged and enhanced the production of transplantable colony-forming unit-spleen (CFU-S) during 14 days of liquid suspension culture. In contrast with its effects on primitive lin−c-kit+Sca-1+hematopoietic precursors, ATRA did not exert the same effects on the more committed lin−c-kit+Sca-1−progenitor cells. Moreover, the late addition of ATRA (7 days post-culture initiation) to cultures of primitive hematopoietic precursors resulted in a marked decrease in colony-forming cell production in these cultures, which was associated with enhanced granulocyte differentiation. These observations indicate that ATRA has different effects on hematopoietic cells depending on their maturational state, preventing and/or delaying the differentiation of primitive hematopoietic precursors while enhancing the terminal differentiation of committed granulocyte/monocyte progenitors.
RETINOIDS AND in particular retinoic acid (RA) regulate the growth and differentiation of a wide variety of cell types.1 The biologic effects of RA are mediated through nuclear receptors that are members of the steroid/thyroid hormone superfamily of transcription factors.1 The RA receptor α (RARα) appears to be of particular interest in hematopoiesis, because hematopoietic cells preferentially express this particular RA receptor isoform.2 3
RA has well-documented effects on hematopoietic cell proliferation and differentiation, particularly in cells of the granulocytic lineage. As a single agent, all-trans RA (ATRA) induces granulocytic differentiation of primary leukemia cells from patients with acute promyelocytic leukemia (APL) both in vitro and in vivo, and APL cells harbor an aberrant PML-RARα fusion transcript.4-8 In addition, RA is known to induce granulocytic differentiation of HL-60 myeloid leukemia cells, and this is mediated directly through RARα.7
In contrast, the roles that RA might play in regulating aspects of normal hematopoiesis have not been clearly defined. Studies of the actions of RA on hematopoietic progenitor cells have reached variable conclusions, with some reports showing that RA enhances the growth of progenitor cells, including erythroid and myeloid precursors,9-11 and others demonstrating an inhibitory role of RA on the proliferation and differentiation of hematopoietic progenitor cells.12-15 Moreover, studies on isolated primitive hematopoietic populations, such as human lineage-negative (lin−), CD34+ cells and murine lineage-negative, Sca-1–positive (Sca-1+) cells, have indicated that RA has complex effects on these cells, with some studies suggesting that RA can stimulate the growth of these cells16 and others indicating that RA has inhibitory effects.17 18 In this study, we examined the effects of exogenous ATRA on the growth and differentiation of highly enriched lin−c-kit+Sca-1+murine hematopoietic precursors and lin−c-kit+Sca-1−progenitor cells in liquid suspension culture. We measured the colony-forming potential of these cells in secondary culture systems after ATRA was removed from the cells. Our results indicate that ATRA enhances the generation of colony-forming cells, including both granulocyte/macrophage as well as the more primitive macroscopic, multilineage colony-forming cells. In contrast, the delayed addition of ATRA to cultures of hematopoietic precursors led to decreased granulocyte/macrophage colony-forming activity, presumably by inducing the terminal maturation of committed granulocyte/monocyte progenitors present in these cultures. Furthermore, in vivo colony-forming unit-spleen (CFU-S) studies demonstrated that the lin−c-kit+Sca-1+hematopoietic precursors cultured in ATRA-containing media for 7 and 14 days had markedly greater CFU-S activity than the same hematopoietic precursors cultured without ATRA. These data suggest that the effect of ATRA on hematopoietic development is dependent on the maturational state of the target cell and that ATRA enhances the in vitro production and/or self-renewal of primitive hematopoietic precursors.
MATERIALS AND METHODS
Mice.
C57BL/6J (Ly5.2) female mice were obtained from The Jackson Laboratory (Bar Harbor, ME). Congenic C57BL/6.SJL-Ly5.1-Pep3b (Ly5.1) mice were bred at the Fred Hutchinson Cancer Research Center (Seattle, WA). All animals were housed in specific pathogen free conditions and maintained on acidified drinking water and autoclaved chow ad libitum. Mice were used at 8 to 12 weeks of age.
Enrichment of hematopoietic precursor cells.
For enrichment of hematopoietic precursor cells, single-cell suspensions of Ly5.2 bone marrow cells were obtained by flushing femurs and passaging the marrow through a 23-gauge needle into phosphate-buffered saline (PBS) containing 2% heat-inactivated fetal bovine serum (PBS/FBS). Low-density cells were enriched by equilibrium centrifugation over a cushion of Ficoll-Hypaque at a density of 1.077 g/mL. Retrieved cells were washed and then resuspended at a density of 5 × 107 cells/mL in PBS/FBS containing a predetermined saturating solution of monoclonal antibodies specific for murine T lymphocytes (CD2, CD3, CD5, and CD8), B lymphocytes (B220), macrophages (Mac-1; CD11b), granulocytes (Gr-1), and erythrocytes (TER-119; the kind gifts of Dr G. Spangrude, University of Utah, Salt Lake City, UT).19 20
After 30 minutes of incubation on ice, the cells were washed, resuspended in PBS/FBS at a concentration of 108 cells/mL and transferred to a 50-mL conical tube. Twice-washed immunomagnetic particles (Dynabeads M-450, sheep antirat IgG specificity; Dynal Inc, Great Neck, NY) were slowly added to the cells to a final ratio of 4 beads/cell. The cell/bead suspension was allowed to stand for 5 minutes at room temperature and was then centrifuged at 400 rpm for 3 minutes. The cells and bead mixture were resuspended in 1 mL of PBS/FBS. The magnetic particle-free fraction was retrieved by exposure to a magnetic field, and the magnetic depletion procedure was repeated on this fraction.
The bead-free cells were then preincubated with FcγRII block (clone 2.4G2; Pharmingen, San Diego, CA) for 10 minutes on ice and then stained with biotinylated anti-Ly6A/E (Sca-1, rat IgG2a, clone E31-161.7) and fluorescein isothiocyanate (FITC)-conjugated anti-CD117 (c-kit, rat IgG2b, clone 2B8) monoclonal antibodies (Pharmingen) for 30 minutes on ice. Aliquots of the bead-free cells were also stained with isotype-matched controls. The cells were then washed with 10 mL PBS/FBS, stained with streptavidin-phycoerythrin (Pharmingen) for 30 minutes on ice, washed, and resuspended in PBS/FBS containing 1 μg/mL propidium iodide (PI; Sigma Chemical Co, St Louis, MO). The sample was filtered through a 70-μm pore size nylon screen.
Fluorescence-activated cell sorting was performed on a FACS VANTAGE cell sorter (Becton Dickinson, San Jose, CA) using the CloneCyt direct cloning application (Becton Dickinson). Cells were sequentially selected for sorting as being PI−, c-kit+, Sca-1+, with intermediate forward- and right-angle scatters.
Liquid suspension cultures of hematopoietic cells.
For prolonged liquid culture studies, 50 lin−c-kit+Sca-1+precursor cells were deposited into a single well of round-bottom 96-well plates (Corning, Corning, NY) containing Iscove’s modified essential medium (IMDM) supplemented with 20% FBS and cytokines (murine stem cell factor [SCF], human Flt-3L, human interleukin-6 [IL-6], each at 100 ng/mL, and human IL-11 [10 ng/mL]; PeproTech, Inc, Rocky Hill, NJ). ATRA (Sigma) was added to a portion of the wells of cells in each experiment to a final concentration of 1 μmol/L. Each group consisted of five wells of cells for each time point. For experiments assessing the effect of ATRA on lin−c-kit+Sca-1−progenitor cells, the final sort window was changed so that 100 cells lacking expression of Sca-1 were deposited into each well. Cultures were placed in incubation at 37°C with 5% CO2 in air atmosphere. Cultures were replenished with fresh media at weekly intervals by removing half the media in each well and replacing it with an equal volume of media containing 2× concentration of cytokines and ATRA where applicable. Different lots of FBS used in cultures were screened for their ability to support colony growth of lin−c-kit+Sca-1+cells in semisolid media. Initial studies showed that adding ATRA to the cultures more often than once weekly did not have any effect on the experimental outcome.
For experiments investigating the effect of ATRA on single primitive hematopoietic precursor cells, a single lin−c-kit+Sca-1+ cell was deposited into a single well of Nunclon 72 microwell plates (Nalge Nunc International, Naperville, IL) in 15 μL total volume/well, in media described above. The outer wells of each plate were filled with sterile distilled water (15 μL/well) to prevent media evaporating from the cell cultures. For each experiment, at least 120 wells of each group were established. After sorting, each well was individually viewed for the presence of a single cell, and wells in which no cell or more than 1 cell were initially observed were not included in the experiment. Wells were monitored at 24-hour intervals, and the number of cells in each well of each plate was recorded daily.
In vitro colony assay.
The cultured cells were analyzed for colony formation in 35-mm culture dishes (Nalge Nunc International) containing methylcellulose-based semisolid medium. At each time point, aliquots of cells were plated at a predetermined concentration so that the average number of colonies per plate did not exceed 50. The final concentration of methylcellulose (Fisher Scientific, Norcross, GA) was 1.2% in α-modified essential medium containing 30% FBS, 1% deionized bovine serum albumin (BSA; Sigma), 0.1 mmol/L 2-mercaptoethanol (Sigma), 3 U/mL Epo (Amgen, Thousand Oaks, CA), 100 ng/mL each of SCF and IL-6, 50 ng/mL thrombopoietin (Tpo; PeproTech), and 5% WEHI conditioned medium (a source of IL-3).21 Cells were plated in 1 mL of this methylcellulose mix and scored at 8 days for erythroid growth and 12 days for mixed and granulocyte/ macrophage (CFU-GM) colonies. Erythroid colony types were routinely confirmed by staining selected plates at day 8 with benzidine (Sigma). Mixed colonies (HPP-mix) were larger than 1.5 mm in diameter and consistently contained erythrocytes, macrophages, and granulocytes. In addition, May-Grünwald-Giemsa–stained cytospin preparations of these colonies often showed the presence of megakaryocytes.
Cell surface phenotyping.
Cultured cells were preincubated with FcγRII block for 10 minutes at 4°C and then stained at 4°C for 30 minutes with predetermined concentrations of phycoerythrin (PE)-conjugated surface markers: Gr-1, CD11b, TER-119, Thy1.2, B220, Sca-1 (Pharmingen), and F4/80 (Caltag, South San Francisco; CA). Isotype-matched control antibodies were used to determine background staining. After staining, the cell preparations were washed, resuspended in PBS/FBS containing 1 μg/mL PI, and analyzed on a FACSCAN (Becton Dickinson). Cells with a surface antigen fluorescence intensity greater than 95% of control staining were considered positive, whereas cells with a surface antigen fluorescence intensity less than the top 5% of control staining were considered negative. The total percentage of positive cells for each marker was obtained by subtracting background staining of the isotype control from the surface marker-stained sample.
CFU-S assay.
The spleen colony assay of Till and McCulloch22 was applied. Ly5.1 female recipients 8 to 12 weeks of age were exposed to a single dose of 10.0 Gy of γ radiation from dual opposed60Co sources at an exposure rate of 20 cGy/min on the day of transplantation. After 7 days of culture, all cells that grew in culture from 500 Ly5.2 lin−c-kit+Sca-1+cells were injected into lethally irradiated female Ly5.1 mice. After 14 days of culture, all cells that grew in culture from 1,000 Ly5.2 lin−c-kit+Sca-1+cells were injected into irradiated female Ly5.1 mice. Transplanted mice were euthanized 8 or 12 days later, and their spleens were dissected, fixed in Bouin’s fixative for 5 minutes, and then transferred to 10% neutral buffered formalin (Sigma). CFU-S were counted under a dissecting microscope. The number of colonies in recipient spleens has been directly stated without correction for seeding (f) factor.
Statistical analysis.
Data comparing the effects of ATRA versus no ATRA on the cell proliferation and colony-forming output of cultured hematopoietic precursors were analyzed by two-way analysis of variance (ANOVA). For experiments in which ATRA was added at different time intervals, the Kruskal-Wallis test was used to compare the median values of CFU-GM and mixed colonies between the groups in which RA was added at 0 to 6 days or not added at all with the median values of the group in which RA was added at day 7 after culture initiation. Dunn’s procedure was used to adjust for multiple comparisions, with adjustments considered separately for the analysis of CFU-GM and HPP-mix.
RESULTS
ATRA alters the growth and colony-forming cell (CFC) production from cultured lin−c-kit+Sca-1+hematopoietic precursors.
To determine the effects of ATRA on relatively primitive hematopoietic cells, we chose to use a combination of cytokines similar to one previously reported23 that enhances the survival of long-term reconstituting stem cells in liquid suspension for at least 7 days. Lin−c-kit+Sca-1+ bone marrow precursor cells were directly deposited by FACS into 96-well plates at initial densities of 50 cells/well. Cells were cultured in liquid suspension in serum-containing medium supplemented with 100 ng/mL each of SCF, IL-6, and Flt-3L and 10 ng/mL IL-11, with half of the wells of cells containing 1 μmol/L ATRA. At various times during the culture, the contents of 5 separate wells of each group were counted, harvested, and plated for colony formation in the absence of ATRA, and cells were also analyzed for cell surface phenotype after 7 and 14 days of liquid culture.
During the first 7 days of culture, the growth of the lin−c-kit+Sca-1+precursor cells was significantly slower in the ATRA-treated cultures compared with cells cultured in the absence of ATRA (Fig 1A and B), whereas viability was comparable in both culture conditions (data not shown). In contrast, beyond 12 days of culture, there was an increased number of cells in cultures containing ATRA (Fig 1A and B). The maximum cell number for the ATRA-negative cultures was observed between days 7 and 12, whereas peak production of cells in the ATRA-treated cultures was noted at day 21. This difference in the average cell counts between the two groups across the time period examined was statistically significant (two-way ANOVA, P < .001 for both experiments).
The effect of ATRA on cell growth and colony formation from lin−c-kit+Sca-1+hematopoietic precursor cells. Fifty FACS-enriched hematopoietic precursors (lin−c-kit+Sca-1+) were added to wells containing media and cytokines (SCF, IL-6, IL-11, and Flt-3-ligand) and cultured without (▪) or with (•) 1 μmol/L ATRA. Cells were removed from liquid suspension at periodic intervals, washed, counted, and replated in semisolid medium without ATRA. The cell counts (A and B) and colony outputs of CFU-GM (C and D) and HPP-mix (E and F) are given as the total number per 50 starting hematopoietic precursors. Results are shown from two separate experiments and are expressed as the mean ± SEM from 5 separate wells for each time point. Two additional experiments were evaluated periodically over 21 days, each with similar results, with ATRA-treated cells exhibiting an initial slow growth followed by an accelerated cell growth associated with enhanced CFU-GM and HPP-mix production.
The effect of ATRA on cell growth and colony formation from lin−c-kit+Sca-1+hematopoietic precursor cells. Fifty FACS-enriched hematopoietic precursors (lin−c-kit+Sca-1+) were added to wells containing media and cytokines (SCF, IL-6, IL-11, and Flt-3-ligand) and cultured without (▪) or with (•) 1 μmol/L ATRA. Cells were removed from liquid suspension at periodic intervals, washed, counted, and replated in semisolid medium without ATRA. The cell counts (A and B) and colony outputs of CFU-GM (C and D) and HPP-mix (E and F) are given as the total number per 50 starting hematopoietic precursors. Results are shown from two separate experiments and are expressed as the mean ± SEM from 5 separate wells for each time point. Two additional experiments were evaluated periodically over 21 days, each with similar results, with ATRA-treated cells exhibiting an initial slow growth followed by an accelerated cell growth associated with enhanced CFU-GM and HPP-mix production.
Of particular interest was our observation that ATRA prolonged and enhanced the colony-forming cell output of hematopoietic precursor cells (Fig 1C through F), including both mature CFU-GM and the more immature mixed progenitors (HPP-mix). Cells grown in the absence of ATRA exhibited colony-forming activity during the first 14 days of liquid culture, after which production of CFU-GM (Fig 1C and D) and HPP-mix (Fig 1E and F) was minimal. In contrast, cultures of hematopoietic precursors stimulated with ATRA formed both CFU-GM and HPP-mix during 21 days of liquid culture, with some colonies detectable as late as day 28 (Fig 1C through F). The CFU-GM production was enhanced in ATRA-treated cells by fourfold at day 7 and by more than 30-fold at day 14 in experiment no. 1, and by 160-fold at day 12 and 70-fold at day 14 in experiment no. 2. In addition, HPP-mix was increased in ATRA-treated cells by more than 20-fold at and after 14 days in experiment no. 1, and by threefold at day 8 and more than 70-fold at days 12 and 14 in experiment no. 2. In both experiments, there were significant differences in both CFU-GM and HPP-mix output between the two groups (two-way ANOVA, P < .001).
In contrast to the CFU-GM and HPP-mix production, there was no effect of ATRA on the number or size of erythroid colonies generated from hematopoietic precursor cells cultured in liquid suspension (data not shown).
To further assess the ATRA-induced growth inhibition of lin−c-kit+Sca-1+precursor cells, single cells were deposited into each well of 72 microwell plates and the number of cells in each well was monitored daily. Immediately after sorting, each well was individually viewed for the presence of a single cell, and wells in which no cell or more than 1 cell were observed were not included in the experiment. The addition of ATRA to the cultures did not alter the time of the first cell division, with the vast majority of cells cultured in either condition dividing by day 3 (Fig 2A). In contrast, ATRA slowed the subsequent cell growth, and by day 4 the majority of wells containing ATRA harbored between 2 and 50 cells, whereas in the absence of ATRA there was a marked increase in the percentage of wells containing more than 50 cells (Fig 2B).
The effect of ATRA on the growth of single lin−c-kit+Sca-1+hematopoietic precursor cells. Single FACS-enriched hematopoietic precursors (lin−c-kit+Sca-1+) were added to wells containing media and cytokines (SCF, IL-6, IL-11, and Flt-3-ligand) and cultured without (▪) or with (•) 1 μmol/L ATRA. After sorting, each well was individually viewed for the presence of a single cell, and wells in which no cell or more than one cell were initially observed were not included in the experiment. The number of cells in each well were counted at daily intervals after culture initiation. The cumulative percentage of wells containing at least one cell division (A) and the percentage of wells with 1 to 16, 17 to 50, and greater than 50 cells per well at daily intervals (B) are shown. In (B), (▪) indicates no ATRA and () indicates ATRA. Results are shown from one experiment but are indicative of three separate experiments, each initiated with 120 single cells per treatment.
The effect of ATRA on the growth of single lin−c-kit+Sca-1+hematopoietic precursor cells. Single FACS-enriched hematopoietic precursors (lin−c-kit+Sca-1+) were added to wells containing media and cytokines (SCF, IL-6, IL-11, and Flt-3-ligand) and cultured without (▪) or with (•) 1 μmol/L ATRA. After sorting, each well was individually viewed for the presence of a single cell, and wells in which no cell or more than one cell were initially observed were not included in the experiment. The number of cells in each well were counted at daily intervals after culture initiation. The cumulative percentage of wells containing at least one cell division (A) and the percentage of wells with 1 to 16, 17 to 50, and greater than 50 cells per well at daily intervals (B) are shown. In (B), (▪) indicates no ATRA and () indicates ATRA. Results are shown from one experiment but are indicative of three separate experiments, each initiated with 120 single cells per treatment.
Primitive lin−c-kit+Sca-1+hematopoietic precursors cultured in the presence of ATRA exhibit a more immature surface phenotype than those grown in its absence.
The expression of differentiation antigens by cultured lin−c-kit+Sca-1+precursor cells was analyzed by flow cytometry after 7 and 14 days of liquid suspension culture. To have enough cells for analysis of the multiple cell markers at these time points, cultures were established in 24-well plates at an initial density of 1,000 cells/well in 1 mL of the culture medium described previously. To determine that this different initial cell density did not markedly change the experimental outcome, the production of CFC from these cultures was also analyzed and the results were comparable to those from the 96-well plate cultures described above (data not shown).
We observed that ATRA enhanced the expression of the monocytic marker, F4/80, by the cultured cells at both 7 and 14 days of culture (Table 1). There was negligible expression (<3%) of this marker by cells grown in the absence of ATRA (Table1). In contrast, the granulocyte marker, Gr-1, was predominantly expressed by cells grown in the absence of ATRA (Table 1). Significantly fewer cells cultured with ATRA expressed this marker (Table 1).
There was little or no expression of the erythroid marker, TER-119, or the T-lymphoid (Thy1.2) and B-lymphoid (B220) lineage markers after either 7 or 14 days of culture (data not shown). The total percentage of lin+ cells in these experiments was therefore considered to be the summation of F4/80-positive and Gr-1–positive populations. For cells grown in the absence of ATRA, at 7 days the total percentage of lin+ cells was 68.5%, increasing to 96.0% of the population at day 14. In contrast, 44.6% of cells grown in the presence of ATRA expressed F4/80 or Gr-1 at 7 days of incubation, and 31.4% of the population was positive for these lineage markers at 14 days of incubation.
Effect of 1α,25 dihydroxyvitamin D3[1α,25(OH)2D3] on cultured lin−c-kit+Sca-1+primitive hematopoietic precursors.
To determine whether other ligands for the nuclear hormone receptor superfamily might have a similar effect on the growth and colony-forming capacity of the cultured murine hematopoietic precursors, similar experiments were performed using 1α,25(OH)2D3. This ligand was chosen because it also has well-documented activity in the regulation of certain aspects of hematopoiesis.24-26 Hematopoietic precursor cells (lin−c-kit+Sca-1+) were incubated with or without 1 μmol/L ATRA, 1 μmol/L 1α,25(OH)2D3, or 10 nmol/L 1α,25(OH)2D3 in the liquid suspension cultures. At 1 week of culture, total viable cells and colony-forming cell output was assessed.
Similar to the cells incubated with ATRA, precursor cells cultured with 1α,25(OH)2D3 exhibited a marked reduction in cell number compared with cells cultured in the absence of either ligand (Fig 3A). Vitamin D3 was more inhibitory than ATRA, with little cell growth occurring in 1 μmol/L (≤100 cells/well), and even at 10 nmol/L, there were fewer cells in wells incubated with 1α,25(OH)2D3than in those cultured with 1 μmol/L ATRA. In contrast with ATRA-treated cells, the colony output was markedly reduced from precursor cells cultured with 1α,25 dihydroxyvitamin D3, with no colony growth observed from cells grown in 1 μmol/L 1α,25(OH)2D3, and markedly fewer colonies produced from cells cultured in 10 nmol/L 1α,25(OH)2D3 compared with those incubated in ATRA or in the absence of any ligand (Fig 3B). No HPP-mix were produced from 10 nmol/L 1α,25 dihydroxyvitamin D3–treated cells, and the colonies grown from cells cultured in liquid suspension in the presence of this ligand were predominantly mature macrophages (data not shown).
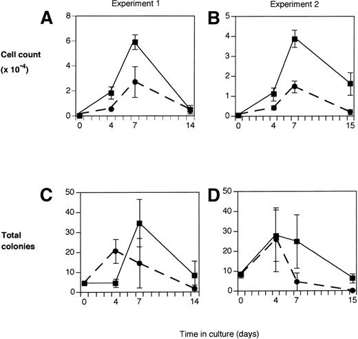
The effect of 1,25 dihydroxyvitamin D3 on cell growth and colony formation from lin−c-kit+Sca-1+hematopoietic precursor cells. Fifty enriched hematopoietic precursors (lin−c-kit+Sca-1+) were added to wells containing media and cytokines (SCF, IL-6, IL-11, and Flt-3-ligand) and cultured with or without 1 μmol/L ATRA, 1 μmol/L 1,25 dihydroxyvitamin D3 (D3), or 10 nmol/L D3 in the media. Cells were removed from liquid suspension after 7 days, washed, counted, and replated in semisolid medium without ATRA or D3. The cell counts (A) and total colonies (B) are given as the total number per 50 starting hematopoietic precursors. Results are shown from one experiment but are indicative of two separate experiments and are expressed as the mean ± SEM from 5 separate wells for each time point.
The effect of 1,25 dihydroxyvitamin D3 on cell growth and colony formation from lin−c-kit+Sca-1+hematopoietic precursor cells. Fifty enriched hematopoietic precursors (lin−c-kit+Sca-1+) were added to wells containing media and cytokines (SCF, IL-6, IL-11, and Flt-3-ligand) and cultured with or without 1 μmol/L ATRA, 1 μmol/L 1,25 dihydroxyvitamin D3 (D3), or 10 nmol/L D3 in the media. Cells were removed from liquid suspension after 7 days, washed, counted, and replated in semisolid medium without ATRA or D3. The cell counts (A) and total colonies (B) are given as the total number per 50 starting hematopoietic precursors. Results are shown from one experiment but are indicative of two separate experiments and are expressed as the mean ± SEM from 5 separate wells for each time point.
The enhanced CFC production from cells cultured with ATRA is observed only with highly enriched lin−c-kit+Sca-1+primitive hematopoietic precursors.
The enhanced and prolonged detection of both CFU-GM and HPP-mix in ATRA-containing liquid suspension cultures of lin−c-kit+Sca-1+precursor cells (Fig 1) suggested that ATRA affects a relatively primitive hematopoietic precursor. We therefore tested if ATRA could affect more mature progenitors (lin−c-kit+Sca-1−). These cells were deposited into 96-well plates at a density of 100 cells/well, and wells were assayed for cell number and colony-forming production (calculated as the total number of CFU-GM and HPP-mix per well) at days 4, 7, and 14 of culture.
Similar to its effects on primitive lin−c-kit+Sca-1+hematopoietic precursors, ATRA slowed the proliferation of these more committed lin−c-kit+Sca-1−progenitor cells (Fig 4A and B). However, in contrast, the cell output from this ATRA-treated population never exceeded the cell production from lin−c-kit+Sca-1−progenitor cells grown in the absence of ATRA (Fig 4A and B). Moreover, ATRA did not enhance or prolong the production of colonies from these progenitors; in fact, the total colony output was lower in the ATRA-treated cultures at and after 7 days of primary liquid suspension culture (Fig 4C and D).
The effect of ATRA on cell growth and colony formation from lin−c-kit+Sca-1−hematopoietic progenitor cells. One hundred FACS-enriched hematopoietic progenitors (lin−c-kit+Sca-1−) were added to wells containing media and cytokines (SCF, IL-6, IL-11, and Flt-3-ligand) and cultured without (▪) or with (•) 1 μmol/L ATRA. Cells were removed from liquid suspension at periodic intervals, washed, counted, and replated in semisolid medium without ATRA. The cell counts (A and B) and total colony outputs (C and D) are given as the total number per 100 starting hematopoietic progenitors. Results are shown from two separate experiments and are expressed as the mean ± SEM from 5 separate wells for each time point.
The effect of ATRA on cell growth and colony formation from lin−c-kit+Sca-1−hematopoietic progenitor cells. One hundred FACS-enriched hematopoietic progenitors (lin−c-kit+Sca-1−) were added to wells containing media and cytokines (SCF, IL-6, IL-11, and Flt-3-ligand) and cultured without (▪) or with (•) 1 μmol/L ATRA. Cells were removed from liquid suspension at periodic intervals, washed, counted, and replated in semisolid medium without ATRA. The cell counts (A and B) and total colony outputs (C and D) are given as the total number per 100 starting hematopoietic progenitors. Results are shown from two separate experiments and are expressed as the mean ± SEM from 5 separate wells for each time point.
The enhanced colony-forming cell production from the cultured lin−c-kit+Sca-1+precursor cells requires the early addition of ATRA after initiation of cultures.
The enhanced CFC production observed in the ATRA-treated cultures of primitive lin−c-kit+Sca-1+hematopoietic precursors was observed when ATRA was continuously present in the culture medium from the time of culture initiation (Fig1). To determine whether there was a specific time interval during which the addition of ATRA resulted in this enhanced generation of CFC, we cultured lin−c-kit+Sca-1+cells in 24-well plates at an initial density of 1,000 cells per well and then added ATRA (1 μmol/L final concentration) at daily intervals from 0 to 7 days after culture initiation to a separate group of wells for each time point. Cells were then harvested at day 8 and counted, and colony assays were performed.
In each of two experiments, the addition of ATRA at each time point caused a reduction in cell growth, with the lowest cell counts obtained when ATRA was continuously present from day 0 of culture (Fig 5A and B). There was then a gradual increase in the cell number corresponding with each daily addition of ATRA, with the maximum cell output obtained from wells of cells that were cultured in the absence of ATRA for the entire 8-day period.
The effect of the delayed addition of ATRA on cell growth and colony formation from cultured lin−c-kit+Sca-1+hematopoietic precursors. FACS-enriched hematopoietic precursors (lin−c-kit+Sca-1+) were added to wells containing media and cytokines (SCF, IL-6, IL-11, and Flt-3-ligand). At daily intervals from 0 to 7 days after culture initiation, ATRA (1 μmol/L final concentration) was added to a separate group of wells for each time point. Cells were harvested at day 8, washed, counted, and assayed for colony-forming cell activity. The results from two separate experiments are shown. Experiment no. 1 was initiated at 50 cells/well in 96-well plates (200 μL media/well), and experiment no. 2 was initiated at 1,000 cells/well in 24-well plates (1 mL media/well). Cell counts (A and B) are shown as total cell number per well for each experiment. Colony output, CFU-GM (C and D) represent the total number of CFU-GM colonies per 50 starting hematopoietic precursors for both experiments. Colonies are shown as the mean ± SEM of triplicate plates per well.
The effect of the delayed addition of ATRA on cell growth and colony formation from cultured lin−c-kit+Sca-1+hematopoietic precursors. FACS-enriched hematopoietic precursors (lin−c-kit+Sca-1+) were added to wells containing media and cytokines (SCF, IL-6, IL-11, and Flt-3-ligand). At daily intervals from 0 to 7 days after culture initiation, ATRA (1 μmol/L final concentration) was added to a separate group of wells for each time point. Cells were harvested at day 8, washed, counted, and assayed for colony-forming cell activity. The results from two separate experiments are shown. Experiment no. 1 was initiated at 50 cells/well in 96-well plates (200 μL media/well), and experiment no. 2 was initiated at 1,000 cells/well in 24-well plates (1 mL media/well). Cell counts (A and B) are shown as total cell number per well for each experiment. Colony output, CFU-GM (C and D) represent the total number of CFU-GM colonies per 50 starting hematopoietic precursors for both experiments. Colonies are shown as the mean ± SEM of triplicate plates per well.
The delayed addition (days 1, 2, and 3) of ATRA did not affect the production of CFU-GM in comparison with cultures that were initiated with ATRA (Fig 5C and D). In contrast, the late addition of ATRA (day 7) resulted in a significant decrease in CFU-GM production (P = .008, Kruskal-Wallis test, adjusted by Dunn’s procedure) compared with cultures in which ATRA was added during the first 3 days (Fig 5C and D).
The late addition of ATRA to cultured lin−c-kit+Sca-1+precursor cells enhances granulocytic differentiation.
The marked decrease in CFU-GM production observed in the cultured lin−c-kit+Sca-1+cells when ATRA was added relatively late (day 7; Fig 5C and D) suggested that ATRA influences the proliferative and differentiative potential of granulocyte/monocyte progenitors that have accumulated in the cultures over the initial 7 days. Because ATRA is a well-known inducer of the differentiation of leukemic promyelocytes to granulocytes,4 we determined whether the late addition of ATRA might enhance terminal granulocytic differentiation of cells generated by the cultured hematopoietic precursors.
Surface phenotype analysis by flow cytometry was performed on the cultured cells in which ATRA was successively added at days 0 to 7 of culture, with analysis on day 8 after culture initiation. Results of four separate experiments reproducibly showed an increase in the percentage and absolute number of Gr-1–expressing cells (Fig 6A and B) in the cultures in which ATRA was added on and after day 3, with a decrease in F4/80-expressing cells (Fig 6C and D) in these cultures.
Expression of granulocyte and monocyte/macrophage markers after the delayed addition of ATRA during liquid suspension culture. One thousand FACS-enriched lin−c-kit+Sca-1+hematopoietic precursors were added to wells containing media and cytokines (SCF, IL-6, IL-11, and Flt-3 ligand). At daily intervals from 0 to 7 days after culture initiation, ATRA (1 μmol/L final concentration) was added to a separate group of wells for each time point. Cells were harvested at day 8 and washed, and the surface phenotypes of granulocytes (Gr-1) and monocyte/macrophages (F4/80) were analyzed by flow cytometry. Results are expressed as the percentage and absolute number of Gr-1–expressing (A and B) or F4/80-expressing (C and D) cells per well for each day of addition. Results are shown from one experiment, but multiple repeat experiments yielded similar results.
Expression of granulocyte and monocyte/macrophage markers after the delayed addition of ATRA during liquid suspension culture. One thousand FACS-enriched lin−c-kit+Sca-1+hematopoietic precursors were added to wells containing media and cytokines (SCF, IL-6, IL-11, and Flt-3 ligand). At daily intervals from 0 to 7 days after culture initiation, ATRA (1 μmol/L final concentration) was added to a separate group of wells for each time point. Cells were harvested at day 8 and washed, and the surface phenotypes of granulocytes (Gr-1) and monocyte/macrophages (F4/80) were analyzed by flow cytometry. Results are expressed as the percentage and absolute number of Gr-1–expressing (A and B) or F4/80-expressing (C and D) cells per well for each day of addition. Results are shown from one experiment, but multiple repeat experiments yielded similar results.
The percentage and absolute number of Gr-1–expressing cells present in cultures grown without ATRA and to which ATRA was added on day 7 were similar. However, the expression of Gr-1 did not discriminate between immature and mature granulocytic cells in these populations. To examine the effect of ATRA on the maturation of granulocytic cells, we therefore prepared cytospins of these cultures and analyzed them for morphological differences. We observed that the addition of ATRA on day 7 resulted in an increased number of mature granulocytes in the cultures as assessed 24 hours later using May-Grünwald-Giemsa–stained cytospins (Table 2). These observations, taken together, suggest that ATRA enhances the terminal granulocytic differentiation of the CFU-GM that are generated during the 7-day culture of the lin−c-kit+Sca-1+precursors initially grown in the absence of ATRA.
ATRA enhances the production of CFU-S from cultured lin−c-kit+Sca-1+hematopoietic precursors.
Given its different effects on hematopoietic cells depending on their maturational state, we wished to determine whether ATRA enhanced the in vitro generation of hematopoietic cells that are more primitive than colony-forming cells. We therefore investigated the effect of ATRA on the production of CFU-S from cultured lin−c-kit+Sca-1+precursors.
The primitive hematopoietic precursors were deposited into 24-well plates at an initial density of 2,000 cells/well in 1 mL of the culture medium described previously. At days 7 and 14 of culture, the wells of cells in each group were pooled, washed, and resuspended in PBS containing 2% FBS for injection into lethally irradiated recipients. An initial titration curve was performed using cells cultured without ATRA to determine the optimal cell number to inject into mice after 7 and 14 days of culture (data not shown). In two studies, at day 7 of culture, all cells that grew in culture from 500 lin−c-kit+Sca-1+cells were injected into lethally irradiated female recipients. At day 14, all cells that grew in culture from 1,000 lin−c-kit+Sca-1+cells were injected into lethally irradiated female recipients. Mice were euthanized at day 8 or day 12 posttransplant, and their spleens were removed, fixed, and counted for CFU-S. Endogenous CFU-S were also measured in mice that were lethally irradiated but injected with PBS/2% FBS only, and no CFU-S were visible in these mice (data not shown).
The results of these experiments are shown in Table 3. At both days 7 and 14 of culture, cells that were cultured with ATRA had markedly greater CFU-S activity than cells cultured without ATRA. In fact, 500 or 1,000 hematopoietic precursors cultured with ATRA for 7 or 14 days, respectively, produced so many CFU-S that the spleen colonies were grossly confluent at both days 8 and 12. The weights of the spleens of these mice were approximately twice that of the spleens of mice injected with cells grown without ATRA (Table 3). Therefore, to better quantitate CFU-S number, the ATRA-treated cells were further titrated in experiment no. 2, and these results were used to derive the data shown in Table 3. Specifically, the spleen colonies of mice injected with all cells that grew from 20 ATRA-treated lin−c-kit+Sca-1+cells at both days 7 and 14 were quantifiable and thus were used to extrapolate values for CFU-S potential of cells that grew from 500 or 1,000 hematopoietic precursors after culture in ATRA-containing medium for 7 or 14 days, respectively. In this experiment, we determined that, after 7 days of culture, the ATRA-treated cells had approximately 12-fold more CFU-S on day 8 (D8) and 31-fold more CFU-S on day 12 (D12) than cells cultured without ATRA. After 14 days of culture, the ATRA-treated cells had 625-fold more CFU-S D8 than hematopoietic precursors cultured without ATRA. At day 12, no mice injected with cells cultured without ATRA had survived, so the CFU-S D12 fold-increase could not be measured.
There was also a marked difference in the CFU-S numbers from both cultured populations when compared with the CFU-S numbers of uncultured lin−c-kit+Sca-1+cells (experiment no. 2; Table 3). Freshly sorted lin−c-kit+Sca-1+cells gave rise to approximately 4 CFU-S D8 and 30 CFU-S D12 per 500 cells, similar to values previously reported by other investigators.27 Cells cultured without ATRA for 7 days had approximately fivefold more CFU-S D8 than the uncultured hematopoietic precursors. However, this was accompanied by a fourfold decrease in CFU-S D12 potential. After 14 days of culture, the hematopoietic cells cultured without ATRA had approximately fourfold less the number of CFU-S D8 than 1,000 uncultured lin−c-kit+Sca-1+cells, and no measurable CFU-S D12. In marked contrast, hematopoietic precursors cultured with ATRA for 7 days had a 61-fold increase in CFU-S D8 and a sevenfold increase in CFU-S D12 potential over the uncultured lin−c-kit+Sca-1+hematopoietic precursors. In addition, 1,000 hematopoietic precursors cultured for 14 days with ATRA had approximately 157-fold more CFU-S D8 and fivefold more CFU-S D12 than the same number of uncultured lin−c-kit+Sca-1+hematopoietic precursors.
The radioprotective ability of the cells cultured with or without ATRA was also markedly different. Only 1 of 5 mice injected with cells that grew from 1,000 hematopoietic precursors cultured without ATRA for 14 days survived by day 12 in experiment no. 1, and none of 3 similarly injected mice survived in experiment no. 2. In contrast, all 5 mice receiving cells that grew from 1,000 hematopoietic precursors cultured in ATRA in experiment no. 1 and all 3 mice in experiment no. 2 had survived and looked healthy when euthanized at day 12. In addition, in experiment no. 2, all 3 mice receiving cells that grew from 100 hematopoietic precursors cultured with ATRA survived by day 12 (and had confluent spleens) and 1 of 3 mice receiving cells that grew from 20 of these cultured hematopoietic precursors survived by day 12.
Taken together, these observations indicate that ATRA markedly enhances the production and/or self-renewal of both CFU-S D8 and CFU-S D12 as well as hematopoietic cells exhibiting radioprotective ability in liquid suspension cultures of primitive hematopoietic precursors.
DISCUSSION
When highly enriched hematopoietic precursors are cultured in liquid suspension in the presence of specific hematopoietic growth factors, they undergo extensive proliferation accompanied by progressive lineage commitment and terminal differentiation that, in some respects, may mimic the proliferation and differentiation that normal hematopoietic stem cells undergo in vivo.28,29 In this study, we provide evidence that ATRA, a potent inducer of differentiation of promyelocytic leukemia cells,4 can markedly alter the growth and colony-forming capacity of highly enriched (lin−c-kit+Sca-1+) hematopoietic precursors cultured in liquid suspension.
ATRA initially slowed the proliferation of these primitive hematopoietic precursors, although this delayed cell production was temporary and was followed by relatively rapid proliferation in the ATRA-treated cultures. Surprisingly, ATRA enhanced and prolonged CFC generation, including the immature, multipotent HPP-mix and the more lineage-committed CFU-GM. Cells cultured in ATRA also exhibited fewer lineage-specific markers (Gr-1 and F4/80) and displayed enhanced expression of the marker associated with immature cells, Sca-1.
A striking effect of ATRA on the cultured hematopoietic precursors was an inhibition of granulocytic production, as measured by expression of the marker Gr-1. In the bone marrow, this antigen has previously been shown to also be expressed transiently on the monocyte lineage30; however, in the periphery it specifically recognizes neutrophils.31 The specificity of this marker for cultured cell populations is unknown. However, given that there is negligible expression of the monocyte-specific marker, F4/80, by cells cultured without ATRA, which largely express Gr-1, we believe that Gr-1 is likely to be a granulocyte-specific marker in our cultured cell populations.
The significance of the Sca-1 expression, which is enhanced in cells from ATRA-treated cultures, is less clear. This marker is expressed not only on multipotent hematopoietic stem cells,32 but also on subpopulations of bone marrow B cells and myeloid cells33 as well as on certain populations of resting and activated T cells.34 35 The lack of expression of B-lymphocyte and T-lymphocyte markers by cells cultured with or without ATRA indicates that the expression of Sca-1 is not by these cell types. Although it is possible that Sca-1 is expressed by myeloid cells in the cultured cell populations, the percentage of myeloid cells (Gr-1–positive and F4/80-positive) in the ATRA-treated cultures does not account for the high percentage of Sca-1–expressing cells, especially at day 14 of culture. Likewise, the low percentage of Sca-1–expressing cells in the untreated cultures does not correspond with the high percentage of myeloid cells in these cultures. Although it is unlikely that all the Sca-1–positive cells in the ATRA-treated cultures represent primitive hematopoietic stem cells, nevertheless, their presence correlates with the enhanced production of CFU-S noted in these cultures.
The addition of ATRA to liquid suspension cultures of lin−c-kit+Sca-1+hematopoietic precursors strikingly enhanced the production of both day-8 CFU-S and day-12 CFU-S compared with both uncultured lin−c-kit+Sca-1+cells and the hematopoietic precursors cultured for 7 and 14 days without ATRA. In contrast, hematopoietic precursors cultured without ATRA showed a progressive loss in CFU-S activity during the 14 days of liquid suspension culture compared with the CFU-S potential in uncultured lin−c-kit+Sca-1+cells. Whereas there was a fivefold increase in CFU-S D8 in the 7-day cultured cells over the uncultured hematopoietic precursors, this was accompanied by a fourfold decrease in CFU-S D12 at this time point. The CFU-S populations are more primitive than colony-forming cells, with CFU-S D8 reflecting a more mature cell population than CFU-S D12.36 The shift caused by a loss of CFU-S D12 in conjunction with an increase in CFU-S D8 in the cultures at 7 days suggests that the primitive hematopoietic precursors cultured without ATRA were progressively differentiating to more mature precursors. This progressive differentiation appeared to continue by day 14 in the cells cultured without ATRA, where we could detect very few CFU-S D8 and no CFU-S D12. However, in marked contrast, the prolonged and enhanced production of CFU-S D8 and CFU-S D12 in the ATRA-treated cultures suggests that ATRA may be enhancing the self-renewal of hematopoietic cells with CFU-S activity in these cultures. Alternatively, ATRA may be influencing the self-renewal of hematopoietic cells that are even more primitive than CFU-S,37 which could also result in enhanced CFU-S production. To distinguish these possibilities, we are currently determining whether ATRA enhances the production of short- and long-term repopulating stem cells in liquid suspension cultures of primitive hematopoietic precursors.
In other studies assessing the effect of ATRA on murine hematopoietic precursor cells, Jacobsen et al18 cultured lin−Sca-1+ cells in liquid suspension in the presence or absence of ATRA but did not investigate the colony-forming cell or CFU-S potential of these cells after this initial liquid suspension culture. However, they did morphologically characterize cytospin preparations of the lin−Sca-1+ cells and noticed a threefold to fourfold increase in the relative number of immature blasts that formed after 12 to 14 days of incubation of lin−Sca-1+ cells in the presence of either SCF and IL-3 or SCF and granulocyte colony-stimulating factor (G-CSF), consistent with our own observation that ATRA maintains the cultured hematopoietic precursors in a more undifferentiated state.
In addition, Jacobsen et al18 noted a marked decrease in HPP-CFC formation when lin−Sca-1+hematopoietic precursors were cultured in semisolid media containing ATRA. This is consistent with our own observation that ATRA slows the proliferation of such cells, because HPP-CFC assays are largely a measure of the proliferative potential of relatively immature hematopoietic precursors.38 Alternatively, this decrease may have been due to the ATRA-induced terminal differentiation of the more mature progenitor cells developing in these colonies.
The maintenance and/or self-renewal effect of ATRA on hematopoietic precursors appears be on a very defined population of these precursors, because ATRA has different effects on a more mature population of hematopoietic progenitors, which lack expression of lineage markers and express c-kit but not Sca-1. These lin−c-kit+Sca-1−progenitors have previously been shown to contain both colony-forming cell and colony-forming spleen activity, but do not contain the short- or long-term repopulating activity that is contained within the lin−c-kit+Sca-1+primitive hematopoietic precursor population.27 39 Although ATRA slowed the growth of the lin−c-kit+Sca-1−cells, the cell counts never exceeded those of the progenitor cells cultured without ATRA. Moreover, the ATRA-treated lin−c-kit+Sca-1−progenitors did not form enhanced numbers of colony-forming cells as observed with the ATRA-treated lin−c-kit+Sca-1+primitive hematopoietic precursors.
The molecular basis for the observed effects of ATRA in slowing the growth and enhancing the maintenance of early hematopoietic precursors is unclear. ATRA regulates its biological activities by triggering the activation of RAR-RXR heterodimers that serve as transcription factors to regulate the expression of specific target genes. One candidate gene that might be regulated by ATRA is transforming growth factor-β (TGF-β), which is known to inhibit the proliferation of primitive hematopoietic precursors.40-43 Indeed, ATRA enhances the production of TGF-β by HL-60 cells.44However, TGF-β has not been observed to enhance CFC production from precursors after liquid suspension culture.45 Moreover, Jacobsen et al18 observed that neutralizing antibodies to TGF-β did not block the RA-induced inhibition of proliferation of hematopoietic precursors in liquid suspension culture.
Although the ATRA-mediated enhanced CFC and CFU-S generation likely reflects an effect on a relatively immature hematopoietic precursor, experiments in which the addition of ATRA to the cultures was delayed suggested another effect of RA on a relatively committed hematopoietic progenitor. We reproducibly observed that the late (day 7) addition of ATRA to cultures of lin−c-kit+Sca-1+precursor cells resulted in diminished rather than enhanced CFU-GM production. Although the delayed addition of ATRA after 7 days of culture of lin−c-kit+Sca-1+precursors did not alter the expression of the lineage marker, Gr-1, it was associated with enhanced morphological granulocytic differentiation in the cultures. These observations suggest that delaying the addition of ATRA to a time when the cultures have accumulated a significant number of granulocyte/monocyte progenitors results in an acceleration of their terminal differentiation. This effect on normal progenitors may be similar to the well-characterized ATRA-induced granulocytic differentiation of leukemic promyelocytes.4
Thus, ATRA appears to have different effects during in vitro hematopoiesis, slowing the growth and enhancing the generation and/or preventing the differentiation of primitive hematopoietic precursors, but also enhancing the terminal granulocytic differentiation of more mature progenitors. These contrasting effects of ATRA may account for the previously reported variable effects of ATRA on normal hematopoiesis, because these experiments involved different and more heterogeneous populations of precursors and progenitors.12,17,46 47 Such contrasting effects underscore the complexity of the effects of ATRA in the regulation of hematopoietic cell differentiation, and it appears that the nature of the initial hematopoietic cell type used in such experiments may be critical to the observed effects.
Our observations of different effects of ATRA have also been observed in other developmental systems.48-54 For example, during embryonic limb development in the mouse, the application of pharmacological concentrations of ATRA during early development induced the formation of supernumerary limbs.51,54 When ATRA was applied between 10:30 and 12:00 on 5.5 days postcoitum (dpc), limb duplications occurred, whereas no duplications resulted when ATRA was administered after 13:00 hour on 5.5 dpc.54 Moreover, when ATRA was administered to the embryo at later stages of development, between 10 and 12.5 dpc, it induced the opposite effect of stunted limb development.48 49 Hence ATRA induces different effects on embryonic limb development in the mouse dependent on the stage of embryonic development.
Our observation that ATRA enhances CFC and CFU-S production and delays the differentiation of cultured primitive hematopoietic precursors has potentially important implications for hematopoietic stem cell transplantation in that ATRA may prove beneficial for expanding hematopoietic stem cells ex vivo. In addition, ATRA may be useful for improving the efficiency of retroviral vector-mediated transduction of hematopoietic stem cells by maintaining the cells in a more primitive state during the ex vivo expansion of these cells during the transduction procedure. An important question arising from these studies is whether ATRA enhances the self-renewal of long-term repopulating stem cells, and we are currently investigating this possibility.
ACKNOWLEDGMENT
The authors thank Cynthia Nourigat for her technical assistance in the CFU-S studies; Dr Ted Gooley for statistical analysis; and Drs Grant A. McArthur, Robert G. Andrews, Hans-Peter Kiem, and Shelly Heimfeld for stimulating discussions and for critically reviewing the manuscript.
Supported by National Institutes of Health Grants No. HL54881 and CA58292. I.D.B. is also supported as a Clinical Research Professor by the American Cancer Society.
The publication costs of this article were defrayed in part by page charge payment. This article must therefore be hereby marked “advertisement” in accordance with 18 U.S.C. section 1734 solely to indicate this fact.
REFERENCES
Author notes
Address reprint requests to Louise E. Purton, PhD, Fred Hutchinson Cancer Research Center, 1100 Fairview Ave N, C1-169, PO Box 19024, Seattle, WA 98109-1024.











