Abstract
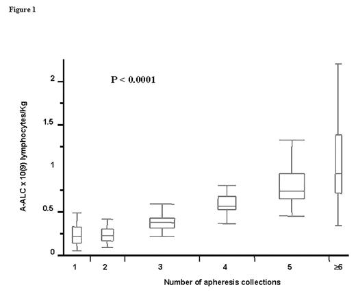
Peripheral blood infused total autograft absolute lymphocyte count (A-ALC) correlates with day 15 absolute lymphocyte count and is an independent prognostic factor for survival after autologous stem cell transplantation (ASCT) for non-Hodgkin lymphoma (NHL). Factors to enhance A-ALC collections are not well defined. We hypothesize that the number of peripheral blood apheresis collections (PBAC) directly correlates with A-ALC. 190 consecutive NHL patients who underwent ASCT at the Mayo Clinic between 1993 and 2001 were analyzed. The primary end point of the study was to assess the correlation between the number of PBAC and A-ALC. The secondary end point was to determine if the number of PBAC affected survival post-ASCT. Of the 190 patients, 18 patients underwent 1 PBAC, 23 patients 2 PBAC, 50 patients 3 PBAC, 37 patients 4 PBAC, 50 patients 5 PBAC, and 12 patients had ≥ 6 PBAC. There was no association between the number of PBAC and the number of CD34+ stem cells collected (p= 0.25). A strong association between number of PBAC and A-ALC (Kruskall Wallis test, p <0.0001)(Figure 1) was identified. Using a cut-off of 4 PBAC, superior overall survival (OS) and progression-free survival (PFS) were observed for patients that underwent 4 PBAC or more compared to patients that underwent less than 4 PBAC (86 months vs 18 months, p <0.0001; 76 months vs 10 months, p <0.0001, respectively). Multivariate analysis demonstrated PBAC ≥ 4 is an independent prognostic factor for OS (RR = 0.654, 95%CI: 0.529–0.804, p< 0.0001) and for PFS (RR = 0.682, 95%CI: 0.561–0.826, p< 0.0001) when compared with other significant factors including performance status, lactate dehydrogenase and extra nodal disease. These data suggest that increasing the number of PBAC beyond the minimum number required to meet CD34+ collection targets may result in improved overall and progression-free survival mediated by an increase in autograft absolute lymphocyte count.
Author notes
Corresponding author

This feature is available to Subscribers Only
Sign In or Create an Account Close Modal