Abstract
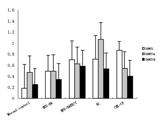
The expression and methylation of p15INK4B gene and the expression of DNA methyltransferase genes (DNMTs) in the mononuclear cells (MNCs) from bone marrow of 54 cases with hematopoietic malignances were detected by using RT-PCR, Western blot, and methylation-specific PCR. Of the 54 patients, 10 cases were low-risk MDS, 10 cases were high-risk MDS, 10 cases were acute myeloid leukemia (AML), 10 cases were acute lymphocytic leukemia (ALL), 10 cases were chronic myeloid leukemia in chronic phase (CML-CP), and 4 cases were CML in blast phase (CML-BP). 10 normal persons were studied as nective controls. The results showed that the incidence of p15INK4B methylation in cells of high-risk MDS was higher than that in low-risk MDS (6/10 VS 1/10, P=0.003), and the p15INK4B methylation was found to be associated with the down-regulation of the expressions of p15INK4B gene on both mRNA (r=−0.734, p<0.001) and protein (r=−0.664, p=0.001)levels, which indicated that the silencing of p15INK4B gene was in conjunction with hypermethylation in MDS. The expressions of p15INK4B on mRNA level and protein levels were almost detected in the MNCs from bone marrow of normal persons without the p15INK4B methylation. We also found the expression of DNMT3A and DNMT3B in high-risk MDS (densitometry readings respectively: 0.624±0.146, 0.577±0.344) were higher than in low-risk MDS (densitometry readings respectively: 0.487±0.300, 0.338±0.290) (P<0.05). The expression of DNMT1 was higher in the groups of low-risk MDS, high-risk MDS, AL and CML-CP( densitometry readings respectively: 0.487±0.218, 0.697±0.243, 0.706±0.463 and 0.867±0.375) than in normal control (densitometry reading: 0.181±0.312)(P<0.05, figure listed bellow), which indicated that up-regulated DNMTS might contribute to the hypermethylation of p15INK4B, and the higher expressions of de novo methyltransferases DNMT3A and DNMT3B may be related to the disease progression of MDS. The methylation of p15INK4B was also detected in 9/20 of AL cases accompanied by over-expressions of DNMT1, DNMT3A, and DNMT3B (densitometry readings respectively: 0.706±0.463, 1.066±0.547, and 0.530±0.428). The methylation of p15INK4B was detected in 1 of 10 cases of CML-CP patients, but all be detected in 4 case of CML-BP patients. These results indicated that the hypermethylation of p15INK4B gene may be one of the most common genetic event in pathogenesis of high-risk MDS, acute leukemia, and blast phase of CML. Furthermore, DNMT3A and DNMT3B were substantially over-expressed in the bone marrow cells of these patients. which might play an important role in the transformation from MDS to acute leukemia.
Author notes
Corresponding author

This feature is available to Subscribers Only
Sign In or Create an Account Close Modal