Abstract
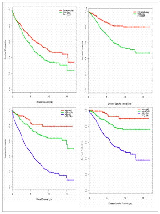
Solitary plasmacytoma (PCM) is a focal, neoplastic, plasma cell disorder without evidence of systemic disease. While PCM is a clinically distinct entity, survival can be limited by progression to multiple myeloma. Prior studies have attempted to identify factors influencing survival in PCM but have been limited by small patient cohorts. This study identified 1472 patients with PCM using the SEER database between 1988 and 2004. The median age of the patients was 64 years (range 12–97), 65.4% male, 34.6% female, 83% Caucasians, 10.7% African Americans and 6.3% other races. 63.8% had medullary PCM and 36.2% extramedullary PCM. 84% of medullary PCM occurred in axial skeleton and the rest in appendicular skeleton. Extramedullary PCM most frequently occurred in the head and neck region (51.4%) followed by skin/subcutaneous tissue (16.2%), GI tract 6% and other sites (26.4%). 55.2% were treated with radiation therapy alone, 29.5% with radiation therapy and surgery and 15.3% with surgery alone. 558 died during this period and the mean overall survival was 6.83 years (range, 0–16.9). The cause of death was multiple myeloma in 49.6%, other cancers 20.9% and cardiovascular diseases 12.9%. In all patients, survival probability at one year was 87.6% (95% CI, 85–89%), at five years was 58.9% (95% CI, 56–62%), and at 10 years was 40.0% (95% CI, 36–44%). The five year overall survival in the ≤40yo cohort was 83.5% as compared to 76.7% and 44.8% in the 40–60yo and >60yo groups, respectively (p<0.0001). The five year disease specific survival probability in the ≤40yo cohort was 94.5% as compared to 86.0% and 66.2% in the 40–60yo group and >60yo group, respectively (p<0.0001) (figure 1)). Overall survival in the extramedullary PCM was 65.9% at five years as compared to 54.6% in the medullary PCM (p<0.0001) and the disease specific survival in the extramedullary PCM was 86.2% compared to 70.1% in the medullary PCM (p<0.0001) (figure 1). Multivariate analysis of disease specific survival revealed that younger age, male gender, extramedullary type, and race other than African American or Caucasian were favorable prognostic factors (Table 1). Younger age, extramedullary site, treatment with XRT + surgery, and race other than African Americans were associated with improved overall survival by multivariate analysis (Table 1). To our knowledge, this is the largest published review of survival in PCM. This study identifies several prognostic risk factors influencing survival in PCM. These risk factors can be used to identify patients at high risk for progression to multiple myeloma. Those at highest risk could be considered for future trials comparing adjuvant systemic therapy compared to local therapy alone.
Table 1. Multivariate Analysis of Prognostic Factors
| . | . | Disease Specific Survival . | Overall Survival . | ||||
|---|---|---|---|---|---|---|---|
| Variable . | Category . | HR . | 95% CI . | P . | HR . | 95%CI . | P . |
| Abbreviations: HR, Hazard Ratio; Q, Confidence Inverval | |||||||
| Sex | Female | --- | -- | --- | -- | --- | --- |
| Male | 0.74 | 0.58~ 0.94 | 0.01 | 0.95 | 0.80~1.13 | 0.57 | |
| Age | <40yo | --- | --- | --- | --- | --- | --- |
| 40–60yo | 2.68 | 115~ 6.2 | 0.02 | 1.74 | 1.04~2.91 | 0.03 | |
| >60yo | 6.94 | 3.06~ 15.73 | <0.01 | 5.55 | 3.40~9.06 | <0.01 | |
| Race | Black | --- | --- | --- | --- | --- | --- |
| White | 0.74 | 0.52~ 1.06 | 0.1 | 0.72 | 0.56~0.92 | 0.01 | |
| Others | 0.31 | 0.13~ 0.75 | <0.01 | 0.48 | 0.29~0.79 | <0.01 | |
| Primary Site | Extramedullary | --- | --- | --- | --- | --- | --- |
| Medullary | 2.35 | 1.74~.3.18 | <0.01 | 1.37 | 1.13~1.65 | <0.01 | |
| Treatment | Surgery Only | --- | --- | --- | --- | --- | --- |
| XRT Only | 0.90 | 0.62~ 1.31 | 0.59 | 0.82 | 0.64~1.04 | 0.10 | |
| XRT + Surgery | 0.84 | 0.55~1.26 | 0.39 | 0.68 | 0.52~0.89 | <0.01 | |
| Period | 1988–1993 | --- | --- | --- | --- | --- | --- |
| 1994–1999 | 0.96 | 0.72~1.30 | 0.8 | 0.96 | 0.78~1.19 | 0.74 | |
| 2000–2004 | 0.94 | 0.68~1.30 | 0.7 | 0.94 | 0.75~1.18 | 0.6 | |
| . | . | Disease Specific Survival . | Overall Survival . | ||||
|---|---|---|---|---|---|---|---|
| Variable . | Category . | HR . | 95% CI . | P . | HR . | 95%CI . | P . |
| Abbreviations: HR, Hazard Ratio; Q, Confidence Inverval | |||||||
| Sex | Female | --- | -- | --- | -- | --- | --- |
| Male | 0.74 | 0.58~ 0.94 | 0.01 | 0.95 | 0.80~1.13 | 0.57 | |
| Age | <40yo | --- | --- | --- | --- | --- | --- |
| 40–60yo | 2.68 | 115~ 6.2 | 0.02 | 1.74 | 1.04~2.91 | 0.03 | |
| >60yo | 6.94 | 3.06~ 15.73 | <0.01 | 5.55 | 3.40~9.06 | <0.01 | |
| Race | Black | --- | --- | --- | --- | --- | --- |
| White | 0.74 | 0.52~ 1.06 | 0.1 | 0.72 | 0.56~0.92 | 0.01 | |
| Others | 0.31 | 0.13~ 0.75 | <0.01 | 0.48 | 0.29~0.79 | <0.01 | |
| Primary Site | Extramedullary | --- | --- | --- | --- | --- | --- |
| Medullary | 2.35 | 1.74~.3.18 | <0.01 | 1.37 | 1.13~1.65 | <0.01 | |
| Treatment | Surgery Only | --- | --- | --- | --- | --- | --- |
| XRT Only | 0.90 | 0.62~ 1.31 | 0.59 | 0.82 | 0.64~1.04 | 0.10 | |
| XRT + Surgery | 0.84 | 0.55~1.26 | 0.39 | 0.68 | 0.52~0.89 | <0.01 | |
| Period | 1988–1993 | --- | --- | --- | --- | --- | --- |
| 1994–1999 | 0.96 | 0.72~1.30 | 0.8 | 0.96 | 0.78~1.19 | 0.74 | |
| 2000–2004 | 0.94 | 0.68~1.30 | 0.7 | 0.94 | 0.75~1.18 | 0.6 | |
Disclosures: No relevant conflicts of interest to declare.
Author notes
Corresponding author

This feature is available to Subscribers Only
Sign In or Create an Account Close Modal