Abstract
The use of reduced intensity conditioning has resulted in a significantly lower incidence of severe acute GVHD (aGVHD) compared with myeloablative conditioning. It is not known if reduced toxicity myeloablative conditioning has a similar impact. To answer this question, we evaluated the incidence of acute and chronic GVHD in a homogeneous group of AML/MDS patients treated with Fludarabine (Flu) and IV Busulfan (IVBu) between April 2001 and August 2005 at MD Anderson Cancer Center.
METHODS: Retrospective analysis of all 195 consecutive AML/MDS patients (pts) who received conditioning with IVBu (130 mg/m2 for 4 days) and Flu (40 mg/m2 for 4 days) and allogeneic stem cell transplantation (ASCT). The cumulative incidence of GVHD was estimated considering disease progression or death in the absence of GVHD as competing risks. Cox’s proportional hazards regression analysis was used to compare the rates of GVHD.
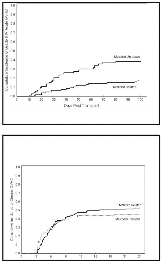
RESULTS: Median age at the time of transplantation was 46 years (12–65) with 4 pts being younger than 18 years. 45% of pts (n=93) were females and 47% (n=92) were in complete remission at the time of transplant. 55% (n=107) received a graft from a matched related donor (MRD), 38% (n=74) from a matched unrelated donor (MUD), and 7% (n=14) from a 1 Ag mismatched related or unrelated donor. Stem cell source was peripheral blood in 85% of recipients of a MRD graft and bone marrow in 88% of recipients of a MUD graft. The median number of CD34+ cells infused was 4.6 x 106/Kg (range 1.1–8.9) and 3.8 x106/Kg (range 0.2–13) in the two groups respectively. GVHD prophylaxis consisted of tacrolimus and mini-methotrexate. In addition, 29/74 recipients of a MUD graft received varying doses of pentostatin on a phase I/II clinical trial. Evaluation of GVHD was limited to pts who received a graft from a MRD or MUD and engrafted (n=179/181). With a median follow-up among survivors of 48 months (range 16–80), 100 day actuarial survival was similar in recipients of a MRD (96%) and MUD (93%) graft (p=0.3). A total of 50 pts (28%) developed grade II-IV and 15 pts (8%) grade III-IV aGVHD within 100 days after ASCT. Donor type was the most significant predictor of the incidence of grade II-IV aGVHD with a cumulative incidence of 18% (95% CI: 12–27) in recipients of a MRD graft and 38% (95% CI: 29–51) in recipients of a MUD graft (HR=0.4, p=0.001). Similarly the rate of grade III-IV aGVHD was significantly lower in recipients of a MRD graft (4% vs. 15%, HR=0.2, p=0.007). In contrast, donor type did not impact the incidence of chronic GVHD with a comparable cumulative incidence by 2 years in recipients of a MRD (53%, 95% CI: 44–63) and MUD graft (45%, 95% CI: 35–58), (HR=0.9, p=0.8). Similar results were observed when the comparison was restricted to de novo chronic GVHD (n=32). Use of peripheral blood stem cells was the only significant factor associated with a higher rate of chronic GVHD in recipients of a MRD graft (56% vs. 35%; HR=2.5, p=0.03). Female gender was associated with a significantly lower rate of chronic GVHD in recipients of a MUD graft (HR=0.4, p=0.006). There was no significant impact for age, percent donor chimerism at the time of engraftment, diagnosis (AML versus MDS), or donor/recipient CMV serostatus on the rate of grade II-IV aGVHD or chronic GVHD.
CONCLUSION: The incidence of grade II-IV aGVHD is low following IVBuFlu conditioning and ASCT in AML/MDS patients. In this setting, donor type affects the incidence of acute but not chronic GVHD.
Disclosures: No relevant conflicts of interest to declare.
Author notes
Corresponding author

This feature is available to Subscribers Only
Sign In or Create an Account Close Modal