Abstract
Abstract 1872
Poster Board I-897
Patients with multiple myeloma (MM) have an increased risk of venous thrombosis. Additionally, MM has been associated with arterial thrombosis. Interestingly, excess risk of venous thromboembolism has been observed among patients with monoclonal gammopathy of undetermined significance (MGUS).
Using population-based data from Sweden, we assessed the risks of venous and arterial thrombosis in 18,627 MM and 5,326 MGUS patients, compared to 70,991 and 20,161 matched controls, respectively. Hazard ratios for thrombosis, at 1, 5, and 10 years follow-up were calculated using Cox proportional hazard models.
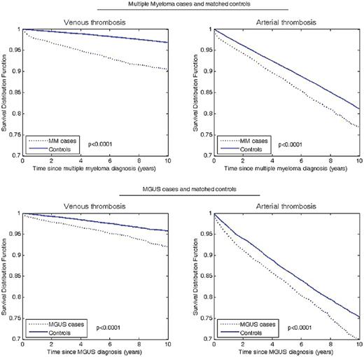
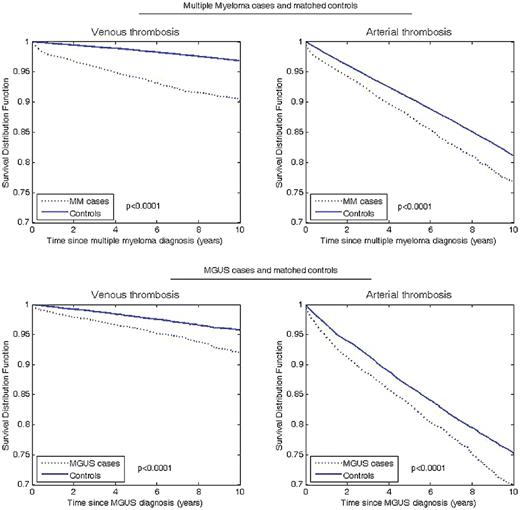
At 1, 5 and 10 years after MM diagnosis, there was an increased risk of venous thrombosis: hazard ratios (95% confidence intervals) were 7.5 (6.4–8.9), 4.6 (4.1–5.1), and 4.1 (3.8–4.5), respectively. The corresponding results for arterial thrombosis were 1.9 (1.8–2.1), 1.5 (1.4–1.6), and 1.5 (1.4–1.5). At 1, 5 and 10 years after MGUS diagnosis, hazard ratios were 3.6 (2.6–4.9), 2.2 (1.8–2.6), and 2.1 (1.8–2.5) for venous thrombosis. The corresponding risks for arterial thrombosis were 1.7 (1.5–1.9), 1.3 (1.2–1.4), and 1.3 (1.3–1.4). IgG/IgA (but not IgM) MGUS patients had increased risks for venous and arterial thrombosis with hazard ratios 4.5 (2.8–7.2) and 1.6 (1.3–1.9) 1 year and 2.2 (1.7–2.8) and 1.2 (1.1–1.4) 5 years after diagnosis. Risks for thrombosis did not vary by M-protein concentration (above/below 10.0 g/L) at diagnosis. MGUS patients with (versus without) thrombosis had no excess risk of MM progression.
In this large study including more than 5,000 MGUS patients and 18,000 MM patients, and their matched controls, we found that both MGUS and MM patients had an increased risk of venous as well as arterial thrombosis. Among MGUS patients, an excess risk of thrombosis was observed in patients with IgG/IgA MGUS, but not IgM. Future studies are needed to clarify underlying mechanisms of our findings. Such efforts will be of relevance for physicians managing MGUS and MM patients and have potential implications for the development of better thrombosis prophylaxis strategies.
Cumulative risk of venous and arterial thrombosis in patients with multiple myeloma and MGUS with their matched controls
Cumulative risk of venous and arterial thrombosis in patients with multiple myeloma and MGUS with their matched controls
Mellqvist:Johnson and Johnson: Research Funding; Celgene: Speakers Bureau; Jansen-Cilag: Speakers Bureau.
Author notes
Asterisk with author names denotes non-ASH members.

This feature is available to Subscribers Only
Sign In or Create an Account Close Modal