Abstract
Abstract 3011
CD81 is a tetraspanin cell surface protein that regulates CD19 expression in B lymphocytes and enables hepatitis C virus infection of human cells. Immunohistochemistry and FC have showed that CD81 expression is downregulated in multiple myeloma and PC lines (Luo, 2010). It appears also that normal PCs are CD81+ at a high percentage (Rawstron, 2008). However, information about CD81 utility in phenotypic diagnosis of PC disorders is scanty. We assessed the frequency and the diagnostic value of the FC detection of CD81 surface expression in multiple myeloma (MM), monoclonal gammopathy of undetermined significance (MGUS) and non-hematological malignancy subjects.
A total of 84 bone marrow aspirates were analyzed in this study. These included 52 diagnosis/disease progression MM samples, 8 samples from MGUS patients and 24 samples from reactive plasmacytosis and ITP patients. A 4-color FC technique was used for PC analysis. Based on the European Myeloma Network guidelines (Rawstron, 2008), we evaluated expression of CD19, CD27, CD56 and CD81 on PCs identified by the CD38/CD45/CD138 combination. At least 100,000 events/tube were acquired, leading to a sensitivity limit of 0.1%. FC positivity threshold for studied antigens was set at 20%. Any deviation from the normal PC phenotype (CD19+CD27+CD56-) was considered as abnormal. Diagnostic tests also included FBC, biochemistry, beta-2 microglobulin, IgA, IgG, IgM, kappa and lambda light chain serum levels, serum protein electrophoresis and immunofixation, bone marrow aspirate and skeletal survey where required.
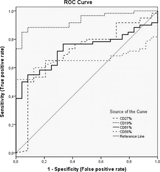
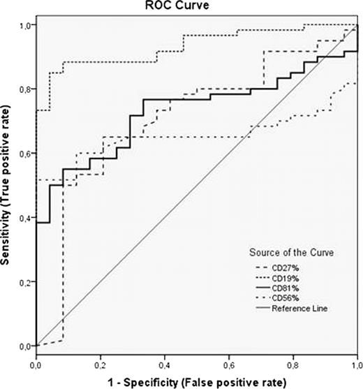
Median PC percentage was significantly higher in the bone marrow aspirate when compared to FC as expected [15.5(3-96)% vs. 2(0.11-53)%, p<0.001]. CD81 positivity was identified in 19% (10/52) of MM samples and 50% of MGUS (4/8) and normal PC samples (12/24). CD81 plasma cell expression was significantly different between normal and MM samples (median: 16.8(1.9-52.4)% vs. 2.5(0-90.4)%, p<0.001) and between MGUS and MM patients (median: 14.4(1.5-53)% vs. 2.5(0-90.4)%, p=0.001). Mean fluorescence intensity of CD81 was similar in the 3 groups. A positive correlation was found between CD81 and CD19 expression (rho=+0.596, p<0.0001) and between CD81 and CD27 (rho=+0.358, p=0.001) while CD56 expression was negatively correlated with CD81 (rho=-0.291, p=0.007). Flow cytometry provided correct diagnosis in 87% (73/84) of cases; 8 samples were identified as false positive and 3 as false negative. Subsequently, a Receiver Operating Characteristic (ROC) curve analysis was performed in order to assess CD19, CD27, CD56 and CD81 antigens' sensitivity and specificity in discriminating normal from malignant PCs (Figure); although CD81 shared similar sensitivity and specificity with CD27, CD19 was shown to have the highest sensitivity and specificity in detecting correctly PC identity.
This study provides laboratory evidence that CD81 expression in PCs is strongly correlated with CD19, CD27 and CD56 expression. CD81 surface detection seems to characterize normal PCs in reactive plasmacytosis, ITP and MGUS. However, it has an inferior sensitivity and specificity, in discriminating normal from malignant PCs, when compared to CD19.
No relevant conflicts of interest to declare.
Author notes
Asterisk with author names denotes non-ASH members.

This feature is available to Subscribers Only
Sign In or Create an Account Close Modal