Abstract
It is not clear if absence of BCR-ABL transcripts—complete molecular response (CMR)—is synonymous with, or required for, cure of chronic myeloid leukemia (CML). Some patients achieve CMR with imatinib (IM), but most relapse shortly after treatment discontinuation. Furthermore, most patients in long-term remission (LTR) post–stem cell transplantation (SCT) are considered functionally cured, although some remain occasionally positive for low-level BCR-ABL mRNA. Interpretation of the latter is complicated because it has been observed in healthy subjects. We designed a patient-specific, highly sensitive, DNA quantitative polymerase chain reaction to test follow-up samples for the original leukemic clone, identified by its unique genomic BCR-ABL fusion (gBCR-ABL). In 5 IM-treated patients in CMR, gBCR-ABL was detected in transcript-negative samples; 4 patients became gBCR-ABL-negative with continuing IM therapy. In contrast, of 9 patients in LTR (13-27 years) post-SCT, gBCR-ABL was detected in only 1, despite occasional transcript-positive samples in 8 of them. In conclusion, in IM-treated patients, absence of transcripts should not be interpreted as absence of the leukemic clone, although continuing IM after achievement of CMR may lead to further reduction of residual disease. Post-SCT, we found little evidence that the transcripts occasionally detected originate from the leukemic clone.
Introduction
Chronic myeloid leukemia (CML) is a clonal hematopoietic stem cell disorder consequent to a t(9;22)(q34;q11) reciprocal translocation that generates the Philadelphia (Ph) chromosome harbouring the BCR-ABL hybrid gene. The encoded Bcr-Abl fusion protein has a constitutively active tyrosine kinase that is essential (and, arguably, under certain circumstances, sufficient1 ) for leukemic transformation in CML.2
The natural course of the disease is progression from an indolent chronic phase (CP) to a very aggressive blast crisis (BC), throughout which the BCR-ABL–positive clone acquires additional genetic abnormalities and progressively loses its differentiation ability.3 CML progression was considered virtually inevitable, and the disease was almost invariably lethal, until the development of allogeneic stem cell transplantation (SCT). In the last decade, the management of CML has been revolutionized by the development of Bcr-Abl tyrosine kinase inhibitors (TKIs). Imatinib mesylate (IM), the prototype of these drugs, is now the recommended first line therapy for most newly diagnosed CML patients in CP.4
Both SCT and IM are able to induce substantial reductions in disease burden, but the question of whether “cure” of CML—defined as long-term freedom from clinical relapse—requires eradication of the original BCR-ABL clone is unresolved. Minimal residual disease (MRD) at the molecular level is usually determined by measuring BCR-ABL mRNA using a real-time quantitative polymerase chain reaction (RQ-PCR).5,6 The interpretation of results at the threshold of sensitivity of the assay is difficult. The concept of complete molecular response (CMR)—defined as absence of detectable BCR-ABL transcripts using strict sensitivity criteria—is fraught with biologic7 and technical6,8 limitations. In addition, low-level positivity for BCR-ABL transcripts has been found in the peripheral blood of a significant proportion of healthy subjects.9,10
Post-SCT, it has been observed that low level positivity for BCR-ABL mRNA in the peripheral blood is not a harbinger of inevitable relapse, particularly in patients who are in long-term remission (LTR), and continues to be observed more than 10 years after SCT.11-15 Although the majority of relapses post-SCT occur early after the procedure, and the relapse risk decreases with increasing time post-SCT, relapse as late as 14 years after SCT has been reported.16 It remains unknown if these rare transcripts are a manifestation of the original leukemic clone or a result of the kind of “benign” BCR-ABL rearrangements seen in healthy subjects.
Although SCT remains the only proven curative treatment for CML, IM has shown remarkable efficacy. The frequency of CMR in IM-treated patients was initially reported as 4% after a median of 19 months.5 However, there is evidence that this number increases with continuing therapy, with 13 of 29 first-line IM-treated patients achieving CMR after a median follow-up of 81 months.17 The maintenance of this level of response appears to be largely dependent on continued suppression of the BCR-ABL clone by IM, as illustrated by the finding of early relapse in 6 of 12 patients who discontinued IM after being in continuous CMR for more than 2 years.18
We sought to elucidate the quality of the molecular response in IM-treated patients in CMR and in patients in LTR post-SCT using a genomic DNA (gDNA)–based PCR. Given that the ABL breakpoint is distributed randomly over a very large—more than 150-kb—genomic area, the likelihood that 2 CML patients share the same breakpoint in both genes, and therefore have identical BCR-ABL fusion sequences, is close to zero. Hence, the genomic BCR-ABL (gBCR-ABL) fusion is a “molecular signature” of each individual CML case. Based on this characteristic, we designed a patient-specific RQ-PCR for gBCR-ABL to establish whether the original leukemic clone is present late after SCT and is the cause of the occasional low-level positivity for BCR-ABL transcripts seen in patients who are relapse-free long-term SCT survivors.
Methods
Patients, specimens, and treatment regimens
We studied 12 patients submitted to myeloablative SCT with high-dose cyclophosphamide and total body irradiation conditioning, and 5 IM-treated patients who achieved sustained CMR, as previously defined17 (Table 1). In the latter group, at least 4 consecutive samples negative for BCR-ABL mRNA, collected over a minimum of 8 months, were analyzed. We also collected white blood cells (WBCs) from 24 healthy adult volunteers as controls for RQ-PCR for BCR-ABL mRNA, tested exactly as the patients and as previously published15,19 (supplemental Table 1, available on the Blood Web site; see the Supplemental Materials link at the top of the online article). Informed consent for the use of cells for research was obtained in accordance with the Declaration of Helsinki and with approval from the Hammersmith and Queen Charlotte's and Chelsea Research Ethics Committee Institutional Review Board.
Clinical features of the patients analyzed in this study
| Characteristic . | Category . | |||
|---|---|---|---|---|
| LTR post-SCT/DLI . | Early post-SCT . | IM-treated . | Total . | |
| No. of patients | 9 | 3 | 5 | 17 |
| Median age at diagnosis, y (range) | 34 (24-43) | 32 (22-32) | 41 (38-56) | 34 (22-56) |
| Patient sex | ||||
| Female | 3 | 0 | 4 | 7 |
| Male | 6 | 3 | 1 | 10 |
| Median duration of IM therapy,* mo (range) | NA | NA | 76 (63-79) | NA |
| Donor | ||||
| Sibling | 4 | 1 | NA | 5 |
| VUD | 3 | 2 | NA | 5 |
| Syngeneic | 2 | 0 | NA | 2 |
| DLI | 2 | 3 | NA | 5 |
| Characteristic . | Category . | |||
|---|---|---|---|---|
| LTR post-SCT/DLI . | Early post-SCT . | IM-treated . | Total . | |
| No. of patients | 9 | 3 | 5 | 17 |
| Median age at diagnosis, y (range) | 34 (24-43) | 32 (22-32) | 41 (38-56) | 34 (22-56) |
| Patient sex | ||||
| Female | 3 | 0 | 4 | 7 |
| Male | 6 | 3 | 1 | 10 |
| Median duration of IM therapy,* mo (range) | NA | NA | 76 (63-79) | NA |
| Donor | ||||
| Sibling | 4 | 1 | NA | 5 |
| VUD | 3 | 2 | NA | 5 |
| Syngeneic | 2 | 0 | NA | 2 |
| DLI | 2 | 3 | NA | 5 |
LTR indicates long-term remission; SCT, stem cell transplantation; DLI, donor lymphocyte infusion; IM, imatinib; VUD, voluntary unrelated donor; and NA, not applicable; .
Additional therapy in IM-treated patients: all 5 IM-treated patients received hydroxyurea. Only 1 of the 5 IM-treated patients received Interferon-α (IFNα) prior to IM; this patient (represented in Figure 1B, the sole patient who did not achieve gBCR-ABL negativity) was on IFNα for 32 months, reaching a minor cytogenetic response. IFNα was stopped 7 months before start of IM. This same patient also received homoharringtonine for 7 months, during months 33 to 39 of IM therapy. Of the 4 additional patients, 1 received IFNα during months 11 to 13 of IM therapy.
For the 12 SCT patients, the stem cell donors were HLA-identical siblings (Sib) in 5 cases, HLA-matched unrelated volunteers (VUD) in 5 cases, and syngeneic siblings (Syn) in 2 cases. In 5 cases, the patients met criteria for molecular relapse post-SCT (as defined in Mughal et al13 ) and were treated with donor lymphocyte infusions (DLI)—2 with a single bulk dose and 3 with an escalating dose schedule.20,21 Of the 12 patients, 3 (2 VUD, 1 Sib) were studied in CMR within 6 to 12 months post-SCT, at molecular relapse and after reinduction of CMR with DLI. Nine patients (4 Sib, 3 VUD, 2 Syn), 2 of whom received DLI for relapse, were studied in LTR post-SCT/DLI, defined as being relapse-free for a median of 193 months (range: 161 to 333) after last treatment.
Sequencing of the gBCR-ABL fusions was done on gDNA from WBCs collected before SCT or IM therapy and stored at −80°C as dry pellets or as guanidinium thiocyanate (GTC) lysates. In 1 case, due to the lack of a pre-IM sample, WBCs collected early in the course of IM therapy were used. The QIAamp DNA blood minikit (QIAGEN) was used to extract gDNAs. The quality of the gDNAs was tested with a PCR for an 871-bp fragment of ABL that included an intronic sequence, as described in Melo et al.22
Follow-up (FU) gDNA samples were collected from peripheral blood WBCs after red blood cell lysis using the QIAamp DNA blood minikit (QIAGEN). In some cases, the same kit was used to extract gDNA from WBC GTC lysates stored at −80°C. The FU gDNA samples were quantified using a spectrophotometer and diluted in PCR-grade water to 50 ng/μL. The quality and concentration of the gDNAs were checked with a TaqMan RQ-PCR for a genomic fragment of albumin, with a probe (Applied Biosystems) labeled with FAM reporter and TAMRA quencher.
For all the FU gDNAs, the amount of BCR-ABL transcripts was measured in cDNAs synthesized from the same WBC samples and quantified as a BCR-ABL to ABL mRNA ratio as described in Kaeda et al15 and Foroni.19 Per standard MRD PCR protocol,15,19 a minimum of 1 × 104 Abl transcripts was required to ensure good cDNA quality, with more than 90% of the samples analyzed in the study containing > 3 × 104 ABL transcripts (average 6 × 104).
Sequencing of gBCR-ABL fusions
The gBCR-ABL fusions were sequenced using either an inverse PCR (7 cases) or a long-range PCR (10 cases) approach. For the former, 5 μg of the gDNA were digested with RsaI, a blunt-end cutter that digests the region between exon 13 (e13) and e15 of the major breakpoint cluster region of BCR into 2 fragments: a 776-bp fragment including most of intron 13 and e14, and a 1703-bp fragment that comprises most of intron 14. The digested gDNA was extracted with phenol/chloroform, completion of digestion checked by agarose gel electrophoresis, and quantified using a spectrophotometer. A ligation reaction containing 500 ng of the digested gDNA, 5 units of high concentration T4 DNA ligase and 5X ligase buffer (Invitrogen) in a final volume of 500 μL was incubated at 14°C for 16 to 24 hours. The ligated gDNA was purified using the QIAquick Gel Extraction kit (QIAGEN) and amplified using 2 pairs of inverse PCR primers, located in the 5′ ends of intron 13 or intron 14, and the Pfu-Turbo polymerase (Stratagene). The PCR products were then visualized under ultraviolet light in ethidium bromide–stained agarose gels. The inverse PCR was successful when 2 bands could be seen: a wild-type BCR band of a known size (767 and 1693 bp for intron 13 and intron 14 inverse PCR primers, respectively) and a shifted band corresponding to the rearranged BCR-ABL allele. The shifted band was cut out from the gel, purified using the QIAquick Gel Extraction kit (QIAGEN) and cloned using the TOPO-TA cloning kit (Invitrogen). Bacterial colonies were selected according to the size of the insert using a PCR with forward and reverse vector primers. Constructs of the desired size were sequenced in both forward and reverse orientation using the same primers as for the PCR.
When the inverse PCR method was not successful (6 of 13 cases) and in 4 additional cases, a long-range genomic PCR for BCR-ABL was used.23 The reaction used the Expand Long Template PCR System (Roche Applied Science) polymerase and Buffer 2 from the kit. The reaction conditions and thermocycling parameters were optimized to amplify templates of up to 12 kb. The PCRs were multiplex reactions with 1 of 2 forward primers, located in BCR e13 or e14, and 1 of 4 mixes of 5 reverse primers each, located in ABL intronic sequences—a total of 20 reverse primers spanning more than 150 kb of the ABL breakpoint area, from 5′ of exon 1b to 3′ of exon a3. The patient-specific PCR products were gel purified and sequenced in a forward orientation using consecutive BCR primers, from 5′ to 3′, until the BCR-ABL junction was reached.
Patient-specific RQ-PCR for gBCR-ABL
The TaqMan technology (Applied Biosystems [ABI]) was used to detect gBCR-ABL. Individual gBCR-ABL sequences—all intronic—were submitted to ABI for design of RQ-PCR primers and probe using the Custom TaqMan Genomic Assays Service. The design was “directed” so as to avoid repetitive sequences (namely Alu elements) and so that the forward primer was located in BCR, the reverse primer in ABL and the probe would anneal to the junction. (See supplemental Table 2 for primers/probe sequences and size of products.) The RQ-PCR reactions were set up in 96-well Fast Optical Reaction plates to a final volume of 30 μL using 20× primers/probe mix, 2× TaqMan Universal PCR Master Mix (plates and reagents from ABI), 6 μL of gDNA at 50 ng/μL, and PCR-grade water. The reactions were amplified in the 7500 Fast thermal cycler (ABI) under the following conditions: 2 minutes at 50°C, 10 minutes at 95°C, and 50 cycles of 15 seconds at 95°C followed by 1 minute at 60°C. The results were analyzed using the 7500 Fast System SDS Software Version 1.3.
The specificity of the RQ-PCR reactions was tested using at least 2 different BCR-ABL–positive gDNAs from CP-CML patients or cell lines. The sensitivity and quantitative nature of the RQ-PCR was tested using serial 10-fold dilutions of pre-IM/SCT gDNAs in gDNA from HL60 (BCR-ABL–negative cell line). The series covered a range of 6 logs of dilution of pre-IM/SCT gDNA, from 10 ng/μL (101) to 0.1 pg/μL (10−4), diluted in HL60 gDNA at 50 ng/μL. The 101, 100, and 10−1 dilutions were tested in triplicate and the 10−2, 10−3, and 10−4 in 6 replicate reactions. A standard curve was obtained by plotting the logarithmic value of the dilution against the average cycle threshold (Ct) of the positive reactions at each dilution of the pre-IM/SCT gDNA. Follow-up gDNA samples were tested in 36 replicate reactions, each loaded with 300 ng of gDNA (6 μL of gDNA at 50 ng/μL)—a total of 10.8 μg of gDNA per FU sample.
Patient-specific RQ-PCR versus nested RQ-PCR for gBCR-ABL
We compared the sensitivity of the patient-specific RQ-PCR for gBCR-ABL with a nested approach in which the RQ-PCR was done on conventional PCR products obtained with primers external to the RQ-PCR primers.
The gDNA from 4 CP-CML patients was serially 10-fold diluted in HL60 gDNA at 50 ng/μL as described in “Patient-specific RQ-PCR for gBCR-ABL.” The lowest concentration that yielded positive results by RQ-PCR (10−3 dilution) was tested in 36 replicate RQ-PCR reactions (5 μL of gDNA as template in 25 μL of final volume; reagents, and thermal cycling conditions as described in “Patient-specific RQ-PCR for gBCR-ABL”).
After determining the optimal PCR conditions and combinations of BCR forward with ABL reverse primers that yielded specific amplification from the CP-CML gDNA of each patient, 36 replicate conventional PCR reactions were seeded with 5 μL of template at the 10−3 dilution in a final reaction volume of 20 μL. These were subjected to 30 cycles of amplification, with an annealing temperature ranging from 58 to 66°C. From each of the replicate PCR reactions, 2.5 μL were used to seed a 25-μL RQ-PCR.
Results
Specificity and sensitivity of patient-specific RQ-PCR for gBCR-ABL
All patient-specific RQ-PCRs for gBCR-ABL were specific, that is, there was no amplification from BCR-ABL–positive gDNAs obtained from a source other than the individual patient in question (a minimum of 3 different BCR-ABL–positive gDNAs—2 CML samples and 1 cell line—were tested to establish specificity).
The threshold of sensitivity of the assays was at the 10−3 dilution of the pre-IM/SCT gDNA, corresponding to a 1 pg/μL concentration of the pre-IM/SCT gDNA. Because each reaction was loaded with 6 μL of gDNA at this concentration, each individual reaction contained on average 6 pg of pre-IM/SCT gDNA—the estimated gDNA content of 1 human diploid cell24 and, therefore, the theoretical maximal sensitivity achievable if one postulates the presence of 1 BCR-ABL copy per cell of the leukemic clone.
At the limit of sensitivity, the RQ-PCRs were not reproducibly positive, with 1 to 4 of 6 replicate reactions positive and a larger variation of Ct values (ΔCt) between replicates than with less diluted samples, as has been observed with other leukemia-associated fusion genes.25-27 Less diluted pre-IM/SCT gDNA samples gave reproducible results, with all replicates positive and lower ΔCt.
All patient-specific RQ-PCRs generated standard curves over 5 logs of dilution (101 to 10−3) of acceptable quality as defined in,28 that is, a slope between −3.0 and −3.9 and a correlation coefficient of more than 0.95; the majority of them were close to the optimal theoretical slope of −3.3 and correlation coefficient of 1.
Comparison of the sensitivity of RQ-PCR with nested RQ-PCR for gBCR-ABL
The numbers of positive reactions of the 36 replicate single-step RQ-PCRs and nested RQ-PCRs with the 10−3 diluted template were compared by the Wilcoxon signed rank test. The median difference between the 2 tests was 12.5%, which was not statistically significant (P = .71). The average number of positive reactions was 13.25 (range: 8 to 20) with single-step RQ-PCR and 11.5 (range: 5 to 15) with nested RQ-PCR; in 3 of the 4 CP-CML samples tested, there was, in fact, a higher number of positive reactions with single-step RQ-PCR than with nested RQ-PCR. Because we could not show an advantage of the 2-step (nested) RQ-PCR assay, it was not adopted for this study.
Residual disease assessment by patient-specific RQ-PCR for gBCR-ABL
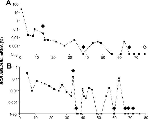
From each of the 5 patients in CMR on IM, between 3 and 5 FU samples negative for BCR-ABL transcripts were tested by patient-specific RQ-PCR for the presence of gBCR-ABL. In all 5 patients, gBCR-ABL was detected in 1 to 5 samples negative for BCR-ABL mRNA (Figure 1 and supplemental Figure 1). In 4 of the 5 patients, gBCR-ABL became undetectable with continuing IM therapy—2 consecutive gBCR-ABL–negative samples in 3 patients, and 1 gBCR-ABL–negative sample in 1 patient. In all cases, the gBCR-ABL–positive sample(s) preceded the gBCR-ABL–negative sample(s) (Figure 1A). Negativity for gBCR-ABL was found after a median time on IM of 70.5 months (range: 60 to 75). In 1 patient, all 5 FU samples tested were gBCR-ABL–positive (Figure 1B).
Representative patterns of residual disease found in IM-treated patients achieving CMR. Panels A and B show 2 individual patients. On the x-axis are months on imatinib (IM). The results of the quantitation of BCR-ABL transcripts (■) are expressed as the ratio of BCR-ABL to ABL mRNA (y-axis, in a logarithmic scale). The results of the real-time quantitative polymerase chain reaction for gBCR-ABL are represented as diamonds: ♦, gBCR-ABL–positive; ◆, gBCR-ABL–negative. (A) gBCR-ABL was initially detected in transcript-negative samples but became undetectable with continuing IM therapy. A similar pattern was seen in 3 other patients tested. (B) The single patient, of 5 tested, in which all transcript-negative samples tested were gBCR-ABL–positive.
Representative patterns of residual disease found in IM-treated patients achieving CMR. Panels A and B show 2 individual patients. On the x-axis are months on imatinib (IM). The results of the quantitation of BCR-ABL transcripts (■) are expressed as the ratio of BCR-ABL to ABL mRNA (y-axis, in a logarithmic scale). The results of the real-time quantitative polymerase chain reaction for gBCR-ABL are represented as diamonds: ♦, gBCR-ABL–positive; ◆, gBCR-ABL–negative. (A) gBCR-ABL was initially detected in transcript-negative samples but became undetectable with continuing IM therapy. A similar pattern was seen in 3 other patients tested. (B) The single patient, of 5 tested, in which all transcript-negative samples tested were gBCR-ABL–positive.
Altogether, from the 5 patients in CMR on IM, of 19 samples negative for BCR-ABL transcripts, 12 were gBCR-ABL–positive, all at a very low level—1 to 6 positive reactions of 36 replicates, with Ct values at the limit of detection of the standard curve.
Three SCT-treated patients were tested in CMR early after SCT (between 6 and 12 months), at relapse, and within 6 to 28 months after reinduction of molecular remission by DLI. In the 3 cases, gBCR-ABL was detected in the pre-relapse CMR samples at a level comparable with the limit of sensitivity of the standard curve. At relapse, gBCR-ABL was detected at a much higher level (1 to 2 logs above the limit of sensitivity of the standard curve); in the 3 cases it became undetectable after DLI (2 FU samples from each of the 3 patients were gBCR-ABL–negative; Figure 2 and supplemental Figure 2).
Representative pattern of residual disease found in patients tested early after SCT, at relapse and post-DLI. One of 3 patients tested, all with similar patterns, is shown. On the x-axis are months post–stem cell transplantation (SCT). The results of the quantitation of BCR-ABL transcripts (■) are expressed as the ratio of BCR-ABL to ABL mRNA (y-axis, in a logarithmic scale). The results of the RQ-PCR for gBCR-ABL are represented as diamonds: ♦, gBCR-ABL–positive; ◆, gBCR-ABL–negative. gBCR-ABL was detected in a transcript-negative sample prerelapse and at relapse; after donor lymphocyte infusion (DLI), a transcript-negative sample was gBCR-ABL–positive; later samples were gBCR-ABL–negative.
Representative pattern of residual disease found in patients tested early after SCT, at relapse and post-DLI. One of 3 patients tested, all with similar patterns, is shown. On the x-axis are months post–stem cell transplantation (SCT). The results of the quantitation of BCR-ABL transcripts (■) are expressed as the ratio of BCR-ABL to ABL mRNA (y-axis, in a logarithmic scale). The results of the RQ-PCR for gBCR-ABL are represented as diamonds: ♦, gBCR-ABL–positive; ◆, gBCR-ABL–negative. gBCR-ABL was detected in a transcript-negative sample prerelapse and at relapse; after donor lymphocyte infusion (DLI), a transcript-negative sample was gBCR-ABL–positive; later samples were gBCR-ABL–negative.
Nine patients were studied in LTR post-SCT/DLI (Figure 3 and supplemental Figure 3). These 9 patients had BCR-ABL mRNA levels measured and quantified on a median of 8 occasions (range: 7 to 20). One of the 9 patients was negative for BCR-ABL transcripts in all 7 FU samples. Eight patients, while not meeting the criteria for molecular relapse,13 were intermittently low-level positive for BCR-ABL mRNA. The proportion of samples positive for BCR-ABL mRNA ranged from 22% (2 of 9) to 67% (8 of 12); 3 patients had 4 consecutive samples positive for BCR-ABL mRNA collected over 18 to 26 months. In 7 of the 9 patients, 10 or more BCR-ABL transcripts were detected on at least 1 occasion.
Representative patterns of residual disease found in patients in LTR post-SCT/DLI. Panels A and B show 2 individual patients who, despite not meeting criteria for molecular relapse, were persistently positive for BCR-ABL transcripts at a low level. On the x-axis are months post-SCT/DLI. The results of the quantitation of BCR-ABL transcripts (■) are expressed as the ratio of BCR-ABL to ABL mRNA (y-axis, in a logarithmic scale). The results of the RQ-PCR for gBCR-ABL are represented as diamonds: ♦, gBCR-ABL–positive; ◆, gBCR-ABL–negative. (A) All 4 samples tested, 2 of which were transcript-positive, were gBCR-ABL–negative. (B) Of 5 transcript-positive samples tested, 1 was gBCR-ABL–positive, at the very limit of sensitivity of the assay. Of 24 samples tested from 9 patients in long-term remission (LTR) post-SCT/DLI, this was the single instance of gBCR-ABL positivity, despite 14 of 24 samples being transcript-positive.
Representative patterns of residual disease found in patients in LTR post-SCT/DLI. Panels A and B show 2 individual patients who, despite not meeting criteria for molecular relapse, were persistently positive for BCR-ABL transcripts at a low level. On the x-axis are months post-SCT/DLI. The results of the quantitation of BCR-ABL transcripts (■) are expressed as the ratio of BCR-ABL to ABL mRNA (y-axis, in a logarithmic scale). The results of the RQ-PCR for gBCR-ABL are represented as diamonds: ♦, gBCR-ABL–positive; ◆, gBCR-ABL–negative. (A) All 4 samples tested, 2 of which were transcript-positive, were gBCR-ABL–negative. (B) Of 5 transcript-positive samples tested, 1 was gBCR-ABL–positive, at the very limit of sensitivity of the assay. Of 24 samples tested from 9 patients in long-term remission (LTR) post-SCT/DLI, this was the single instance of gBCR-ABL positivity, despite 14 of 24 samples being transcript-positive.
Between 1 and 5 FU samples (median time from SCT/DLI to sample collection: 159 months; range: 80 to 320) from each patient were tested by patient-specific RQ-PCR for gBCR-ABL. In 8 of the patients all follow-up samples were gBCR-ABL–negative. In only 1 patient the original gBCR-ABL fusion was detected in 1 of 5 samples tested, all of which were positive for BCR-ABL transcripts (Figure 3). The gBCR-ABL–positive sample—collected 157 months post-SCT—was positive in 1 of 36 replicate reactions, with a Ct at the limit of sensitivity of the standard curve (supplemental Figure 4).
Altogether, from the 9 patients in LTR post-SCT/DLI, a total of 24 FU samples were tested for patient-specific gBCR-ABL. Only 1 of these samples was gBCR-ABL–positive. Fourteen of the 24 samples were positive for BCR-ABL transcripts (5/14, from 4 patients, with 10 or more transcripts), with BCR-ABL to ABL mRNA ratios ranging from 0.001 to 0.019% (or 0.0022 and 0.04 218% on the International Scale6 ). This low level of BCR-ABL transcripts is similar to that also found sporadically in normal adults tested by the same cDNA RQ-PCR assay (supplemental Table 1).19
Discussion
It remains unknown whether the curative effect of SCT in CML depends on eradication of the BCR-ABL–positive clone. This question is increasingly relevant in the era of effective TKIs, able to induce CMR in a proportion of patients.29 It is a matter of concern that “surviving” BCR-ABL–positive cells post-SCT or IM might not only lead to relapse, but also acquire the genetic lesions that are associated with progression to BC or the development of resistance to TKIs.3,30,31
The concept of CMR should be used with caution. The RQ-PCR for BCR-ABL transcripts that is typically used to measure molecular MRD has technical pitfalls and significant inter-laboratory variability,6 and it has been estimated that a residual leukemic burden of up to 106BCR-ABL–positive cells may lie below its threshold of sensitivity.7 On the other hand, attempts to increase even further its sensitivity may run into the opposite pitfall, that is, the difficulty in interpreting a low level, intermittent BCR-ABL transcript positivity,25 which may be seen inconsequentially in healthy subjects9,10 (supplemental Table 1), in CML patients in LTR post-SCT,11-14 or maybe even in very rare patients who remain in prolonged cytogenetic remission after interferon-α discontinuation.32-34
The method used for RQ-PCR amplification of gBCR-ABL proved to be patient-specific and highly sensitive, because it was able to detect BCR-ABL on DNA diluted to 6 pg per reaction—the DNA content of a single human diploid cell.24 Its sensitivity was further demonstrated by the gBCR-ABL positivity of samples that were negative for BCR-ABL transcripts from both patients in CMR on IM and those post-SCT in CMR before relapse using a highly sensitive assay conducted in a reference MRD laboratory.5,6 Further evidence that our assay was thoroughly optimised for sensitivity was the fact that an additional nesting step of RQ-PCR amplification of first-round PCR products did not lead to any increase in “reproducible sensitivity.” Because nested amplification is not only more labor-intensive, technically demanding, and costly but, above all, more prone to false-positivity due to the increased risk of PCR contamination, we felt confident that it was unwarranted for this study.
In all 5 patients studied in CMR on IM, gBCR-ABL was detected in transcript-negative samples. In 1 of the 5, gBCR-ABL was detected in all (n = 5) FU samples tested; 4 of the 5 patients became gBCR-ABL–negative with continuing IM therapy. These results expand on the findings from a recent publication35 and indicate that, in IM-treated patients, absence of transcripts should not be interpreted as absence of the leukemic clone. In addition, our results fit with the reported continuing reduction in amount of residual disease (measured by mRNA) in long-term treatment with IM,17 and demonstrate such a reduction in a proportion of the patients previously classified as CMR by BCR-ABL mRNA quantification.
Contrasting with the detection of gBCR-ABL in transcript-negative samples from every patient in CMR on IM, we found very little evidence that the leukemic clone is present in LTR post-SCT, despite occasional transcript-positivity in 8 of the 9 patients. In fact, the original leukemic clone was detected in only 1 of the 9 patients. The positivity of the gBCR-ABL test from this patient was at the very limit of sensitivity of the assay—1 positive reaction of 36 replicates, with a Ct corresponding to the threshold of detection of the standard curve (supplemental Figure 4). Four other samples from this patient, all positive for BCR-ABL transcripts, were gBCR-ABL–negative. This patient (Figure 3B) received a syngeneic graft and was free of relapse at last follow-up, more than 14 years after SCT, with no further therapy. While syngeneic graft recipients are know to have an increased risk of relapse compared with recipients of allografts,36 relapse would be uncommon more than 14 years post-SCT. Barring the possibility of PCR contamination (which can never be totally ruled out, but for which we have no evidence in very extensive negative controls over the course of the experiments), this gBCR-ABL positivity is the sole evidence we have of survival of the original CML clone late after SCT. This is consistent with the rarity of CML relapse after very prolonged remissions post-SCT. The other syngeneic graft recipient in this study was 333 months post-SCT and free of relapse at last follow-up; he had 2 FU samples positive for BCR-ABL transcripts of 8 tested. The only sample from this patient who was tested by both methods was negative for both gBCR-ABL and for transcripts.
An earlier attempt to compare gDNA with cDNA in MRD assessment in the post-SCT setting found largely concordant results between the 2 approaches.37 This was done in the pre–RQ-PCR era and it should be noted that, compared with the present study, the FU period post-SCT was shorter and there was very little evidence of transcript positivity more than 2 years after SCT.
The fact that we were able to consistently detect the original leukemic clone in samples negative for BCR-ABL transcripts from IM-treated patients (12/19 samples from 5/5 patients) and from SCT-treated patients pre-relapse (5/5 samples from 3/3 patients) demonstrates the high sensitivity of the gDNA RQ-PCR approach we used. Yet, 13 of 14 transcript-positive samples from 9 patients late after SCT were conclusively gBCR-ABL–negative, which raises an intriguing question as to the origin of such BCR-ABL transcripts in this group of patients. Occasional low-level positivity for BCR-ABL mRNA might be explainable by PCR contamination, an event that is probably inevitable, at however low a level, in laboratories that handle large numbers of BCR-ABL–positive samples. It is, however, very unlikely that PCR contamination can explain the 4 consecutive samples positive for BCR-ABL transcripts seen in 3 patients.
Two alternative scenarios for this type of pattern (Figure 3) can be envisaged. The low-level transcript positivity observed in some post-SCT patients may be a manifestation not of the original leukemic clone, but of different, “benign” BCR-ABL–positive cells, as have been detected in healthy subjects9,10 (supplemental Table 1). There is no indication of whether some subjects may be particularly prone to generate such cells, but that could be the case of these patients (or their donors, because the patients received hematopoietic stem cell grafts). Furthermore, this sustained positivity could be a manifestation of different, short-lived, BCR-ABL–positive cells, or of a single, longer-lived but not oncogenic (“fully transformed”), BCR-ABL clone. It is also tempting to speculate that, if such inconsequential BCR-ABL recombinations were indeed to occur and produce a functional protein, their detection would be less likely in IM-treated than in post-SCT patients, because tyrosine kinase inhibition would abrogate any marginal proliferative advantage afforded by Bcr-Abl.
Alternatively, the BCR-ABL transcripts may be a manifestation of an extremely low number of cells from the original leukemic clone, in which BCR-ABL is being very actively transcribed. This would generate a much larger amount of mRNA than gDNA targets for PCR amplification, thus making the residual disease less likely to be detected by genomic-based methods than cDNA-based methods. There are no data to corroborate this hypothesis. In fact, it could be speculatively argued against it that, should putative surviving cells be expressing unusually large amounts of BCR-ABL, this could make them particularly good targets for the graft-versus-leukemia effect that is known to be crucial to the therapeutic efficacy of SCT and DLI. Thus, such high BCR-ABL expressing clones should die out and not be repeatedly detectable at the transcript level.
There are several advantages to using a gDNA-based PCR as opposed to mRNA-based PCR for analysis of residual disease. Genomic DNA is much more stable than mRNA, which is very susceptible to degradation; extraction of gDNA is technically easier than the extraction of mRNA followed by cDNA synthesis; genomic DNA PCR of a target gene results in amplification whether or not that gene is actually being transcribed. Furthermore, a gDNA-based PCR does not need to rely on a control gene for normalization of results—arguably, the biggest source of variation in RT-PCR. In the case of CML, the use of clone-specific primers makes the assay less susceptible to contamination and excludes the possible amplification of the “benign” clones seen in healthy subjects. The major disadvantage of the method we describe is the need to sequence the BCR-ABL fusion from each individual at diagnosis, the need to demonstrate linearity and sensitivity for each patient-specific primers/probe combination, and the need for multiple reactions to test large amounts of gDNA and thus maximize sensitivity. However, as for many other originally complex and technically demanding techniques, both processes may be further optimized and automated for future use in a routine setting. In the meantime, the use of gDNA PCR for BCR-ABL cannot be advocated for immediate implementation as a routine MRD test, until its reliability and predictive values are soundly established and compared in different laboratories.
Our gDNA-based method can be quantitative over a wide range of disease burdens, as seen by the good quality standard curves. However, similar to what occurs with mRNA quantification, the very low levels of residual disease seen in patients negative for transcripts are below the range of reproducible and accurate quantification.
In conclusion, using a sensitive, patient-specific gDNA-based RQ-PCR for detection of BCR-ABL, we could demonstrate the presence of residual amounts of the original leukemic clone in 5 of 5 CML patients treated with IM who were negative for BCR-ABL transcripts. In 4 of these patients, the leukemic clone became undetectable with continuing IM therapy. In contrast, in only 1 of 9 patients in LTR post-SCT there was evidence for the survival of the original leukemic clone, which is consistent with the low risk of disease relapse observed many years post-SCT. The low-level positivity for BCR-ABL transcripts that is seen in some of these patients (sometimes persistently) remains puzzling, as we found no evidence that it is caused by residual amounts of the original leukemic clone. Clarification of this issue will require prospective collection of larger blood samples for subcellular fractionation to ascertain the origin of these rare transcripts.
Because the period of observation is not strictly comparable for the 2 groups of patients, it is possible that the apparent difference in the degree of “elimination” of the leukemic clone between patients treated with SCT or IM will disappear with longer exposure to the drug. Likewise, a larger cohort of patients with longer follow-up will help ascertain whether the type of “deeper CMR” we demonstrated upon continuing IM therapy correlates with response (ie, relapse or sustained remission) to interruption of the kinase inhibitor.
An Inside Blood analysis of this article appears at the front of this issue.
The online version of this article contains a data supplement.
The publication costs of this article were defrayed in part by page charge payment. Therefore, and solely to indicate this fact, this article is hereby marked “advertisement” in accordance with 18 USC section 1734.
Acknowledgments
We are very grateful to Dr Richard Szydlo for help with the statistical analysis.
This work was mainly funded by a PhD fellowship to M.S.S. from Fundação para a Ciência e Tecnologia, Ministry of Science, Portugal, and a supplementary contribution by Novartis Portugal. J.V.M. and J.F.A. are also grateful for support from the National Institute of Health Research Biomedical Research Center (UK) funding scheme.
Authorship
Contribution: M.S.-S. designed the study, collected patient data, processed samples, performed experiments, analyzed data, and wrote the report; V.W. processed samples and performed experiments; J.S. designed vital experimental assays; N.C.P.C. helped design the study, analyze the data, and write the report; J.F.A. provided clinical care and recorded clinical data; and J.V.M. conceived and designed the study, supervised its execution, helped write the report, and had full access to all the data in the study and had final responsibility for the decision to submit for publication.
Conflict-of-interest disclosure: The authors declare no competing financial interests.
Correspondence: Prof Junia V. Melo, Department of Haematology, Centre for Cancer Biology, SA Pathology, Frome Road, Adelaide, SA 5000, Australia, e-mail: junia.melo@health.sa.gov.au.


