Abstract
Long-term responses have been reported after autologous stem cell transplantation (ASCT) for chronic lymphocytic leukemia (CLL). We conducted a prospective, randomized trial of ASCT in previously untreated CLL patients. We enrolled 241 patients < 66 years of age with Binet stage B or C CLL. They received 3 courses of mini-CHOP (cyclophosphamide, hydroxydaunorubicin, oncovin, and prednisone/prednisolone) and then 3 courses of fludarabine. Patients in complete response (CR) were then randomized to ASCT or observation, whereas the other patients were randomized to dexamethasone, high-dose aracytin, cisplatin (DHAP) salvage followed by either ASCT or 3 courses of fludarabine plus cyclophosphamide (FC). The primary end point was event-free survival (EFS). After up-front treatment, 105 patients entered CR and were randomized between ASCT (n = 52) and observation (n = 53); their respective 3-year EFS rates were 79.8% and 35.5%; the adjusted hazard ratio was 0.3 (95% CI: 0.1-0.7; P = .003). Ninety-four patients who did not enter CR were randomized between ASCT (n = 46) and FC (n = 48); their respective 3-year EFS rates were 48.9% and 44.4%, respectively; the adjusted hazard ratio was 1.7 (95% CI: 0.9-3.2; P = .13). No difference in overall survival was found between the 2 response subgroups. In young CLL patients in CR, ASCT consolidation markedly delayed disease progression. No difference was observed between ASCT and FC in patients requiring DHAP salvage.
Introduction
Chronic lymphocytic leukemia (CLL) is the most frequent form of leukemia in Western countries. The median age at diagnosis is 70-72 years, but ∼ one-third of patients are < 60 years of age and 35%-40% are < 65 years.1-3 The course is usually indolent, with two-thirds of patients requiring specific treatment.4 However, CLL is clinically heterogeneous and, although some investigators have found no difference in outcome between younger and older patients, others have reported that CLL has a bigger impact on life expectancy in younger patients, in whom it is more aggressive (CLL may be life-threatening in ∼ 60% of younger patients).5-8
The frequency and duration of treatment responses in CLL have both improved substantially in recent years. Complete response (CR) rates obtained in controlled studies have increased from < 5% with chlorambucil to 20% with fludarabine or CHOP (cyclophosphamide, hydroxydaunorubicin, oncovin, and prednisone/prednisolone), 30% with the fludarabine-cyclophosphamide combination (FC), and 44% with FC plus rituximab, an anti-CD20 antibody (FCR).9-14 The most recent treatments led to undetectable minimal residual disease (MRD) in a substantial proportion of patients, and the quality of the response to up-front chemotherapy had strong prognostic value.11,12,14,15 MRD negativity and long-term CR have also been achieved with autologous stem cell transplantation (ASCT) after salvage chemotherapy, even in relapsing and resistant patients.16-18 ASCT has also been prospectively evaluated, with promising results, as a first-line treatment for CLL, but only in nonrandomized, phase 2 studies.19-21
In 2001, we launched a multicenter randomized, phase 3 trial involving patients < 66 years with stage B or C CLL. We tested 2 different strategies based on the response to up-front treatment with mini-CHOP followed by fludarabine. We expected to obtain additive benefits with these 2 schedules, which had given similar results when used separately in a previous randomized study. In that study, 45% of patients who did not respond to their allocated treatment (fludarabine or mini-CHOP) responded when switched to the alternative treatment.10 Complete responders were randomized to ASCT consolidation therapy or to observation, whereas the other patients were randomized to salvage treatment with dexamethasone, high-dose aracytin, cisplatin (DHAP), followed by either ASCT or FC consolidation.22 Patients who entered CR after the up-front treatment in our study were also randomized in the European Group for Blood and Marrow Transplantation (EBMT) trial recently published by Michallet et al.23
Methods
Patients and study design
This was a prospective, multicenter, randomized, open-label trial comparing ASCT intensification with a chemotherapy-only approach in previously untreated adults with CLL. The protocol was approved by an institutional ethics committee and by 2 independent scientific review boards from Société Française de Greffe de Moelle et de Thérapie Cellulaire (SFGM-TC) and Groupe Français d'étude de la Leucémie Lymphoïde Chronique (GFLLC). The trial was conducted in accordance with the Declaration of Helsinki. All of the patients gave their written informed consent. This study is registered at www.clinicaltrials.gov as NCT00931645.
Patients 18-65 years of age with previously untreated Binet stage B or C CLL were eligible. The diagnosis of CLL was based on National Cancer Institute–sponsored Working Group (NCI-WG) 1996 criteria,24 and was confirmed by central review of morphology; a Matutes immunophenotyping score of 4-5 with antibodies against CD5, CD23, CD79b, FMC7, and surface light-chain immunoglobulin25 ; and cyclin D1 negativity. Patients with an European Cooperative Oncology Group performance status ≥ were excluded. Autoimmune hemolytic anemia; an uncured malignancy or another severe concomitant disease; Richter syndrome; prolymphocytic leukemia; impaired renal, hepatic, cardiac, or respiratory function; or HIV seropositivity were excluded.
Data collection at baseline
Evaluation before registration and treatment delivery included a medical history; physical examination; computed axial tomography (CAT) of the chest, abdomen, and pelvis; complete blood cell count; serum electrolytes; hepatic and renal chemistry; Coombs test; serum lactate dehydrogenase; and beta2-microglobulin. Centralized examinations included metaphase karyotyping; FISH for trisomy 12 and deletions at 11q23, 13q14, and 17p13 (p53 locus)26 ; zeta-chain-associated protein kinase 70 (ZAP70) and CD38 expression by flow cytometry; and immunoglobulin variable heavy chain (IGVH) gene mutational status by PCR with a sequence homology cutoff of 98%.27
Randomization
After up-front treatment consisting of 3 monthly courses of mini-CHOP followed by 3 monthly courses of fludarabine (see “Treatment”), the patients were stratified according to their response. Patients in CR were randomly assigned to observation or ASCT, whereas the other patients were randomly assigned to ASCT or 3 monthly courses of FC. In each response group, randomization was performed through a centralized phone procedure and stratified according to the center using permutation blocks, the size of which was not available to the clinicians.
Treatments
Mini-CHOP consisted of doxorubicin 25 mg/m2 and vincristine 1 mg/m2 given intravenously on day 1 and cyclophosphamide 300 mg/m2/d and prednisone 40 mg/m2/d given orally on days 1-5. Fludarabine was given at 25 mg/m2/d intravenously or 40 mg/m2/d orally on days 1-5. Before their randomized treatment, patients who were not in CR received rescue chemotherapy consisting of 1 or 2 cycles of DHAP 1 month apart, with cisplatinum 100 mg/m2 in a continuous 24-hour introvenous infusion on day 1, cytarabine 2000 mg/m2 intravenously for 3 hours twice on day 2, and dexamethasone 40 mg/d intravenously on days 1-4. Both groups of patients were randomized regardless of the peripheral blood stem cell (PBSC) yield, and non-CR patients were randomized before the results of salvage chemotherapy were known. The FC regimen consisted of fludarabine 25 mg/m2/d intravenously and cyclophosphamide 300 mg/m2/d intravenously on days 1-3. ASCT was planned within 3 months after randomization for patients in CR and after DHAP for patients not in CR. Conditioning consisted of cyclophosphamide intravenously 60 mg/m2/d for 2 days and fractionated total body irradiation (10 Gy with lung protection above 8 Gy) over 3 days.
PBSC mobilization and supportive care
Eight weeks after the last course of fludarabine, patients in CR underwent PBSC mobilization with lenograstim 10 μg/kg/d on days 1-5 or day 6. For patients not in CR, PBSC mobilization was with lenograstim 150 μg/m2/d from the day after DHAP chemotherapy until the last day of PBSC collection. In January 2004, the protocol was amended to allow PBSC mobilization after the 3 courses of mini-CHOP for patients with hemoglobin > 100 g/L, platelets > 100 × 109/L, neutrophils > 1.5 × 109/L, and blood lymphocytes < 4 × 109/L. The minimal number of CD34 cells required for transplantation was 2 × 106/kg body weight. Mobilization was considered to have failed below this threshold. A second mobilization procedure was permitted if necessary. The cells were collected and cryopreserved according to institutional standards with no ex vivo treatment.
Hematopoietic growth factors were only recommended for PBSC mobilization. Trimethoprim/sulfamethoxazole and acyclovir, respectively, were used to prevent Pneumocystis jirovecii pneumonia and herpes simplex virus/varicella-zoster virus, starting from the first day of chemotherapy until at least 6 months after the end of the protocol treatments.
Response assessment and follow-up
Responses were assessed before randomization and 2 months after completion of the randomly allocated treatment based on NCI-WG 1996 criteria, except that CR also required normal body CAT findings and lymphocytes were counted in a BM aspirate not with a biopsy.24 Body CAT scans were systematically reviewed if lymph nodes were of borderline size (10-15 mm). Patients who were in CR upon completion of their allocated treatment were studied for MRD in peripheral blood by 4-channel immunophenotyping (centralized procedure).28 Subsequently, patient status was checked every 3 months for 1 year, every 6 months for 3 years, and whenever signs of relapse or progression occurred.
Toxicity was scored using the NCI common toxicity criteria (Cancer Therapy Evaluation Program, common terminology for adverse events Version 3, March 31, 2003, http://ctep.cancer.gov). Treatment could be stopped at any time if a life-threatening, severe adverse event occurred. In patients whose CLL progressed despite DHAP rescue therapy, the study treatment was stopped, but they were included in the intention-to-treat analysis.
End points
The primary end point was 3-year event-free survival (EFS) after randomization. Secondary outcomes included the response rate 2 months after completion of the randomly allocated treatment, overall survival (OS), MRD in patients in CR, PBSC mobilization, and adverse effects.
Statistical analysis
The sample size was computed separately for each response group. For patients in CR, we predicted a 3-year EFS of 50% in the observation arm.10 Using a bilateral test formulation and controlling for type I and type II error rates of 5%, 40 patients per arm were required to detect an absolute increase of 40% in the 3-year EFS with ASCT. For non-CR patients, we predicted a 3-year EFS of 20% in the FC arm and a 30% absolute benefit of ASCT; this required 64 patients per arm to be enrolled. A total of 208 patients therefore needed to be randomized, based on a 50% CR rate after up-front treatment. To limit dropouts, randomization took place close to the planned beginning of the allocated treatment. However, to attain the required number of patients, 241 patients were recruited.
Statistical analysis was based on an intention-to-treat approach, including all randomized patients. The reference date was January 1, 2009. EFS was calculated from randomization until documented CLL relapse/progression or death from any cause. For patients with continuous progressive disease, the date of progression was the date on which the response to the allocated treatment was assessed. The distribution of time-to-event data was estimated for the whole cohort and for each randomization arm using the Kaplan-Meier method. Cox regression models adjusted for prognostic covariates were used to estimate the effect size of ASCT relative to observation and FC. Multivariable Cox models were used to select prognostic variables from among those significantly associated with outcome in univariable models. All models were stratified on the Binet stage. Hazard ratios (HRs) were estimated with 95% confidence intervals (95% CI). Proportional hazard assumptions were checked in both response groups.29 Interactions between prognostic factors and treatment effects were identified with the Gail and Simon heterogeneity test.30 OS in the entire cohort was calculated from study preinclusion until death from any cause.
Categorical variables are reported as numbers and percentages, and were compared using the Fisher exact test. Continuous variables, reported as means, SD, and range or medians and interquartile range (IQR), were compared using the Kruskal-Wallis test. All tests were 2-sided, and P < .05 denoted statistical significance. SAS Version 9.1 software and R software Version 2.10.1 (http://www.R-project.org) were used for all analyses.
Results
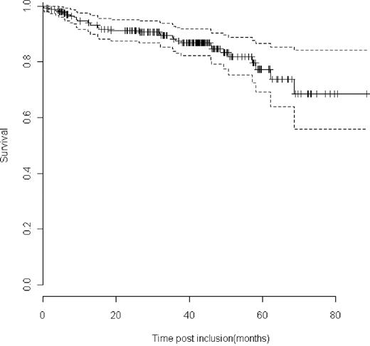
From March 2001 to December 2007, 241 patients were enrolled in 37 centers in France and Belgium (see the supplemental Appendix, available on the Blood Web site; see the Supplemental Materials link at the top of the online article). There were 181 males and 60 females and 185 and 56 patients with Binet stage B and C disease, respectively. Median age at preinclusion was 56.4 years (range 31.3-66). Of the 241 enrolled patients, 237 started the planned treatment, and 6 of these discontinued before the response assessment. The response to up-front treatment (before randomization) was thus evaluated in 231 patients: 103 (44.6%) patients entered CR and 101 (43.7%) had a partial response (PR), giving an overall response rate of 88.3%; 16 patients (6.9%) had stable disease; and 11 (4.8%) had progressive disease. In the intention-to-treat analysis (all 241 patients), the estimated 3-year and 5-year OS rates were 88.3% (95% CI: 84.0%-92.9%) and 78.0% (95% CI: 71.4%-85.1%), respectively (Figure 1). In the subgroups of Binet stage B and stage C patients, the respective estimated 5-year OS rates were 82.4% (95% CI: 75.4%-89.9%) and 63.1% (95% CI: 48.4%-82.4%).
OS rates of the 241 enrolled patients. The estimated 3-year and 5-year OS rates were 88.3% (95% CI: 84.0%-92.9%) and 78.0% (95% CI: 71.4%-85.1%), respectively. Dotted lines indicate CI.
OS rates of the 241 enrolled patients. The estimated 3-year and 5-year OS rates were 88.3% (95% CI: 84.0%-92.9%) and 78.0% (95% CI: 71.4%-85.1%), respectively. Dotted lines indicate CI.
Randomization
One hundred five patients were randomized to the observation group (53 patients) or the ASCT group (52 patients), and 94 patients were randomized to salvage therapy followed by either ASCT (46 patients) or 3 monthly courses of intravenous FC (48 patients). Thirty-two of the 231 patients evaluated for response were not randomized. Clinical and biologic baseline data for each treatment arm are summarized in Table 1.
Baseline characteristics of nonrandomized and randomized patients according to the up-front treatment response
| Parameter . | Values . | Nonrandomized patients . | CR Group, N = 105 . | Non-CR Group, N = 94 . | |||||||
|---|---|---|---|---|---|---|---|---|---|---|---|
| Observation group . | ASCT group . | ASCT group . | FC group . | ||||||||
| N . | Statistics* . | N . | Statistics* . | N . | Statistics* . | N . | Statistics* . | N . | Statistics* . | ||
| Patients, no | 42 | 53 | 52 | 46 | 48 | ||||||
| Sex | Male | 35 | 83.3% | 36 | 67.9% | 33 | 63.5% | 37 | 80.4% | 40 | 83.3% |
| Female | 7 | 16.7% | 17 | 32.1% | 19 | 36.5% | 9 | 19.6% | 8 | 16.7% | |
| Age | Years | 42 | 57.2 (53.45;61.21] | 53 | 56.08 (49.5;59.38] | 52 | 56.74 (49.66;60.48) | 46 | l54.23 (51.21;57.66) | 48 | 57.07 (51.96;60.06) |
| Binet stage | B | 30 | 71.4% | 44 | 83% | 39 | 75% | 36 | 78.3% | 36 | 75% |
| C | 12 | 28.6% | 9 | 17% | 13 | 25% | 10 | 21.7% | 12 | 25% | |
| Beta2-m | ULN | 18 | 62.1% | 27 | 58.7% | 25 | 53.2% | 32 | 76.2% | 30 | 81.1% |
| nl | 11 | 37.9% | 19 | 41.3% | 22 | 46.8% | 10 | 23.8% | 7 | 18.9% | |
| na | 13 | 7 | 5 | 4 | 11 | ||||||
| LDH | ULN | 15 | 35.7% | 11 | 23.9% | 19 | 37.3% | 20 | 45.5% | 19 | 41.3% |
| nl | 27 | 64.3% | 42 | 76.1% | 33 | 64.7% | 26 | 54.5% | 27 | 58.7% | |
| Hemoglobin | g/dL | 41 | 12.8 (10;14.2) | 52 | 13.45 (12.7;14.42) | 52 | 13.3 (11.95;14.8) | 44 | 13.45 (11.77;14.3) | 48 | 13.05 (12;14.3) |
| Platelets | /mm3 | 42 | 164000 (114800;213500) | 53 | 187000 (135000;230000) | 52 | 177500 (129000;219200) | 45 | 168000 (114000;205000) | 48 | 145000 (110200;201200) |
| Lymphocytes | /mm3 | 42 | 78 870 (40 570;128200) | 53 | 26 650 (14 060;89280) | 52 | 23 720 (13 780;59760) | 45 | 58 620 (23 560;108900) | 48 | 95 820 (46 780;127900) |
| CD38 | Positive | 35 | 22 (1.5;58) | 45 | 13 (1;61) | 46 | 9 (1.25;49.75) | 36 | 32.5 (2;65.25) | 43 | 35 (4.5;60.5) |
| Abn karyotype | Yes | 18 | 54.5% | 27 | 64.3% | 23 | 50% | 28 | 71.8% | 21 | 55.3% |
| No | 15 | 44.5% | 15 | 35.7% | 23 | 50% | 11 | 28.2% | 17 | 44.7% | |
| na | 9 | 11 | 6 | 7 | 10 | ||||||
| Translocation | Yes | 16 | 48.5% | 8 | 19% | 10 | 21.7% | 16 | 41% | 9 | 23.7% |
| No | 17 | 51.5% | 34 | 81% | 36 | 78.3% | 23 | 59% | 29 | 76.3% | |
| na | 9 | 11 | 6 | 7 | 10 | ||||||
| Trisomy 12 | Yes | 3 | 8.1% | 10 | 20.4% | 8 | 16.7% | 3 | 7.1% | 4 | 9.1% |
| no | 34 | 91.9% | 39 | 79.6% | 40 | 83.3% | 39 | 92.8 | 40 | 90.9 | |
| na | 5 | 4 | 4 | 4 | 4 | ||||||
| Del (13q) | Yes | 17 | 47.2% | 23 | 47.9% | 22 | 50% | 29 | 72.5% | 22 | 51.2% |
| No | 19 | 52.8% | 25 | 52.1% | 22 | 50% | 11 | 27.5% | 21 | 48.8% | |
| na | 6 | 5 | 8 | 6 | 5 | ||||||
| Del (11q23) | Yes | 15 | 42.9% | 9 | 19.1% | 2 | 4.5% | 13 | 31.7% | 12 | 27.9% |
| No | 20 | 57.1% | 38 | 80.9% | 42 | 95.5% | 28 | 68.3% | 31 | 72.1% | |
| na | 7 | 6 | 8 | 5 | 5 | ||||||
| Del (17p13) | Pos | 6 | 16.2% | 0 | 0% | 1 | 2.3% | 6 | 14.6% | 3 | 7% |
| No | 31 | 83.8% | 47 | 100% | 43 | 97.7% | 35 | 85.4% | 40 | 93% | |
| na | 5 | 6 | 8 | 5 | 5 | ||||||
| IGVH mutation | Yes | 8 | 26.7% | 19 | 42.2% | 21 | 50% | 9 | 22% | 14 | 30.4% |
| No | 22 | 73.3% | 26 | 57.8% | 21 | 50% | 32 | 78% | 32 | 69.6% | |
| na | 12 | 8 | 10 | 5 | 2 | ||||||
| ZAP70 | Positive | 16 | 69.6% | 17 | 51.5% | 27 | 77.1% | 24 | 80% | 24 | 72.7% |
| Negative | 7 | 30.4% | 16 | 48.5% | 8 | 22.9% | 6 | 20% | 9 | 27.3% | |
| na | 19 | 20 | 17 | 16 | 15 | ||||||
| Parameter . | Values . | Nonrandomized patients . | CR Group, N = 105 . | Non-CR Group, N = 94 . | |||||||
|---|---|---|---|---|---|---|---|---|---|---|---|
| Observation group . | ASCT group . | ASCT group . | FC group . | ||||||||
| N . | Statistics* . | N . | Statistics* . | N . | Statistics* . | N . | Statistics* . | N . | Statistics* . | ||
| Patients, no | 42 | 53 | 52 | 46 | 48 | ||||||
| Sex | Male | 35 | 83.3% | 36 | 67.9% | 33 | 63.5% | 37 | 80.4% | 40 | 83.3% |
| Female | 7 | 16.7% | 17 | 32.1% | 19 | 36.5% | 9 | 19.6% | 8 | 16.7% | |
| Age | Years | 42 | 57.2 (53.45;61.21] | 53 | 56.08 (49.5;59.38] | 52 | 56.74 (49.66;60.48) | 46 | l54.23 (51.21;57.66) | 48 | 57.07 (51.96;60.06) |
| Binet stage | B | 30 | 71.4% | 44 | 83% | 39 | 75% | 36 | 78.3% | 36 | 75% |
| C | 12 | 28.6% | 9 | 17% | 13 | 25% | 10 | 21.7% | 12 | 25% | |
| Beta2-m | ULN | 18 | 62.1% | 27 | 58.7% | 25 | 53.2% | 32 | 76.2% | 30 | 81.1% |
| nl | 11 | 37.9% | 19 | 41.3% | 22 | 46.8% | 10 | 23.8% | 7 | 18.9% | |
| na | 13 | 7 | 5 | 4 | 11 | ||||||
| LDH | ULN | 15 | 35.7% | 11 | 23.9% | 19 | 37.3% | 20 | 45.5% | 19 | 41.3% |
| nl | 27 | 64.3% | 42 | 76.1% | 33 | 64.7% | 26 | 54.5% | 27 | 58.7% | |
| Hemoglobin | g/dL | 41 | 12.8 (10;14.2) | 52 | 13.45 (12.7;14.42) | 52 | 13.3 (11.95;14.8) | 44 | 13.45 (11.77;14.3) | 48 | 13.05 (12;14.3) |
| Platelets | /mm3 | 42 | 164000 (114800;213500) | 53 | 187000 (135000;230000) | 52 | 177500 (129000;219200) | 45 | 168000 (114000;205000) | 48 | 145000 (110200;201200) |
| Lymphocytes | /mm3 | 42 | 78 870 (40 570;128200) | 53 | 26 650 (14 060;89280) | 52 | 23 720 (13 780;59760) | 45 | 58 620 (23 560;108900) | 48 | 95 820 (46 780;127900) |
| CD38 | Positive | 35 | 22 (1.5;58) | 45 | 13 (1;61) | 46 | 9 (1.25;49.75) | 36 | 32.5 (2;65.25) | 43 | 35 (4.5;60.5) |
| Abn karyotype | Yes | 18 | 54.5% | 27 | 64.3% | 23 | 50% | 28 | 71.8% | 21 | 55.3% |
| No | 15 | 44.5% | 15 | 35.7% | 23 | 50% | 11 | 28.2% | 17 | 44.7% | |
| na | 9 | 11 | 6 | 7 | 10 | ||||||
| Translocation | Yes | 16 | 48.5% | 8 | 19% | 10 | 21.7% | 16 | 41% | 9 | 23.7% |
| No | 17 | 51.5% | 34 | 81% | 36 | 78.3% | 23 | 59% | 29 | 76.3% | |
| na | 9 | 11 | 6 | 7 | 10 | ||||||
| Trisomy 12 | Yes | 3 | 8.1% | 10 | 20.4% | 8 | 16.7% | 3 | 7.1% | 4 | 9.1% |
| no | 34 | 91.9% | 39 | 79.6% | 40 | 83.3% | 39 | 92.8 | 40 | 90.9 | |
| na | 5 | 4 | 4 | 4 | 4 | ||||||
| Del (13q) | Yes | 17 | 47.2% | 23 | 47.9% | 22 | 50% | 29 | 72.5% | 22 | 51.2% |
| No | 19 | 52.8% | 25 | 52.1% | 22 | 50% | 11 | 27.5% | 21 | 48.8% | |
| na | 6 | 5 | 8 | 6 | 5 | ||||||
| Del (11q23) | Yes | 15 | 42.9% | 9 | 19.1% | 2 | 4.5% | 13 | 31.7% | 12 | 27.9% |
| No | 20 | 57.1% | 38 | 80.9% | 42 | 95.5% | 28 | 68.3% | 31 | 72.1% | |
| na | 7 | 6 | 8 | 5 | 5 | ||||||
| Del (17p13) | Pos | 6 | 16.2% | 0 | 0% | 1 | 2.3% | 6 | 14.6% | 3 | 7% |
| No | 31 | 83.8% | 47 | 100% | 43 | 97.7% | 35 | 85.4% | 40 | 93% | |
| na | 5 | 6 | 8 | 5 | 5 | ||||||
| IGVH mutation | Yes | 8 | 26.7% | 19 | 42.2% | 21 | 50% | 9 | 22% | 14 | 30.4% |
| No | 22 | 73.3% | 26 | 57.8% | 21 | 50% | 32 | 78% | 32 | 69.6% | |
| na | 12 | 8 | 10 | 5 | 2 | ||||||
| ZAP70 | Positive | 16 | 69.6% | 17 | 51.5% | 27 | 77.1% | 24 | 80% | 24 | 72.7% |
| Negative | 7 | 30.4% | 16 | 48.5% | 8 | 22.9% | 6 | 20% | 9 | 27.3% | |
| na | 19 | 20 | 17 | 16 | 15 | ||||||
LDH indicates lactate dehydrogenase; na, not available; nl, normal; ULN, upper limit of normal; Abn, abnormal; and Del, deletion.
Median (Q1-Q3), %.
The results for the CR and non-CR patient groups were analyzed separately. Severe adverse events, excluding expected treatment-related short-term hematologic toxicities, are shown in Table 2 according to the treatment actually received.
National Cancer Institute common toxicity criteria grade 3 and 4 adverse events according to the treatment actually received (except treatment-related short-term hematologic toxicities)
| Parameter . | Before randomization . | CR group (N = 105) . | Non-CR group (N = 94) . | |||
|---|---|---|---|---|---|---|
| Observation group . | ASCT group . | DHAP group . | ASCT group . | FC group . | ||
| Actually treated patients, no. | 237 | 68 | 37 | 94 | 34 | 41 |
| Hemolytic anemia | 3 | 2 | 1 | |||
| Immune thrombopenia | 1 | 1 | ||||
| Bacterial infection/aplasia | 7 | 1 | 3 | 3 | 3 | |
| Viral and fungal infections | 3 | 1 | 1 | 2 | 2 | |
| Thrombosis | 2 | |||||
| Bleeding | 2 | |||||
| Richter lymphoma | 4 | 1 | 2 | 2 | 1 | |
| Myeloma | 1 | 1 | ||||
| MDS/AML | 2 | 1 | 1 | |||
| Solid tumor | 2 | 1 | 2 | |||
| Treatment-related deaths | 7 | 1 | 3 | 2 | 2 | |
| Parameter . | Before randomization . | CR group (N = 105) . | Non-CR group (N = 94) . | |||
|---|---|---|---|---|---|---|
| Observation group . | ASCT group . | DHAP group . | ASCT group . | FC group . | ||
| Actually treated patients, no. | 237 | 68 | 37 | 94 | 34 | 41 |
| Hemolytic anemia | 3 | 2 | 1 | |||
| Immune thrombopenia | 1 | 1 | ||||
| Bacterial infection/aplasia | 7 | 1 | 3 | 3 | 3 | |
| Viral and fungal infections | 3 | 1 | 1 | 2 | 2 | |
| Thrombosis | 2 | |||||
| Bleeding | 2 | |||||
| Richter lymphoma | 4 | 1 | 2 | 2 | 1 | |
| Myeloma | 1 | 1 | ||||
| MDS/AML | 2 | 1 | 1 | |||
| Solid tumor | 2 | 1 | 2 | |||
| Treatment-related deaths | 7 | 1 | 3 | 2 | 2 | |
Patients in CR at randomization
Follow-up from randomization lasted a median of 50.3 months (IQR: 34.1-68.4) in this group.
Treatment completion.
Fifteen patients allocated to ASCT did not receive this treatment due to PBSC mobilization failure (n = 8), patient refusal (n = 4), or physician decision (n = 3). Upon completion of their allocated treatment, 99 patients remained in CR with a median of 10% of lymphocytes on the BM smear (Q1-Q3: 8%-18%; 49 in the ASCT arm and 50 in the observation arm), 5 were in PR (3 in the ASCT arm and 2 in the observation arm), and 1 had progressive disease (observation arm). The response distribution did not differ between the randomization arms (P = .60). Table 3 provides data on MRD, which were available for 52 patients in this group.
MRD in CR patients in each randomization arm after completion of the randomly allocated treatment
| . | Nonrandomized patients, no. . | CR group (N = 105) . | Non-CR group (N = 94) . | ||
|---|---|---|---|---|---|
| Observation, no. . | ASCT, no. . | ASCT, no. . | FC, no. . | ||
| CR patients | 3 | 49 | 50 | 27 | 26 |
| Not done | 3 | 29 | 18 | 2 | 10 |
| Positive MRD | 17 (85%) | 20 (62.5%) | 17 (68%) | 9 (53.3%) | |
| Negative MRD | 3 (15%) | 12 (37.5%) | 8 (32%) | 7 (46.7%) | |
| . | Nonrandomized patients, no. . | CR group (N = 105) . | Non-CR group (N = 94) . | ||
|---|---|---|---|---|---|
| Observation, no. . | ASCT, no. . | ASCT, no. . | FC, no. . | ||
| CR patients | 3 | 49 | 50 | 27 | 26 |
| Not done | 3 | 29 | 18 | 2 | 10 |
| Positive MRD | 17 (85%) | 20 (62.5%) | 17 (68%) | 9 (53.3%) | |
| Negative MRD | 3 (15%) | 12 (37.5%) | 8 (32%) | 7 (46.7%) | |
Event-free survival.
The estimated 3-year EFS rates were 79.8% (95% CI, 69.3%-91.9%) and 35.4% (95% CI, 23.9%-52.4%) in the ASCT and observation arms, respectively (P < .00001; Figure 2). Among the parameters selected by univariate analysis, IGVH mutational status (HR = 0.2, 95% CI: 0.1-0.5; P = .0003) and 11q deletion (HR = 3.5; 95% CI: 1.4-9.0; P = .008) remained independent prognostic factors in multivariate Cox regression analysis (Table 4). The resulting estimated HR for events, stratified by Binet stage and adjusted for these prognostic factors, was 0.3 (95% CI: 0.1-0.7) in the ASCT arm relative to the observation arm (P = .003). IGVH mutational status did not influence the results (P = .43).
EFS rates according to randomization arm in the 2 response groups. In the CR group, the estimated 3-year EFS rates were 79.8% (95% CI, 69.3%-91.9%) in the ASCT arm and 35.4% (95% CI, 23.9%-52.4%) in the observation arm (P < .00001). In the non-CR group, the corresponding rates were 48.9% (95% CI, 35.3%-67.7%) in the ASCT arm and 44.4% (95% CI, 31.8%-62.2%) in the FC arm (P = .55); no evidence against the proportionality hazard assumption was found in either group (P = .50 and P = .63, respectively).
EFS rates according to randomization arm in the 2 response groups. In the CR group, the estimated 3-year EFS rates were 79.8% (95% CI, 69.3%-91.9%) in the ASCT arm and 35.4% (95% CI, 23.9%-52.4%) in the observation arm (P < .00001). In the non-CR group, the corresponding rates were 48.9% (95% CI, 35.3%-67.7%) in the ASCT arm and 44.4% (95% CI, 31.8%-62.2%) in the FC arm (P = .55); no evidence against the proportionality hazard assumption was found in either group (P = .50 and P = .63, respectively).
Variables predictive of EFS in randomized CR patients
| Variable . | N . | Events . | HR (95% CI) . | P* . | P† . |
|---|---|---|---|---|---|
| Binet Stage | |||||
| B | 83 | 35 | 1 | ||
| C | 22 | 7 | 0.9 (0.4; 2.1) | .9 | |
| Sex | |||||
| Male | 69 | 29 | 1 | ||
| Female | 36 | 13 | 0.8 (0.4; 1.6) | .5 | |
| Age, y | 0.98 (0.94; 1.03) | .4 | |||
| LDH | |||||
| ≤ ULN | 66 | 27 | 1 | ||
| > ULN | 30 | 10 | 1.1 (0.5; 2.2) | .9 | |
| Beta2-microglobulin | |||||
| Normal | 41 | 14 | 1 | ||
| Abnormal | 52 | 22 | 1.3 (0.7; 2.5) | .5 | |
| CD38 | |||||
| ≤ 22 | 70 | 24 | 1 | ||
| > 22 | 35 | 18 | 0.2 (0.1; 0.5) | .1 | |
| Karyotype | |||||
| Normal | 38 | 15 | 1 | ||
| At least one abnormality | 50 | 19 | 0.9 (0.5; 1.8) | .8 | |
| Translocation | |||||
| No | 70 | 25 | 1 | ||
| Yes (balanced and imbalanced) | 18 | 9 | 2.0 (0.9; 4.4) | .09 | |
| Trisomy 12 | |||||
| No | 79 | 32 | 1 | ||
| Yes | 18 | 8 | 0.99 (0.5; 2.2) | 1.0 | |
| Deletion (11q23) | |||||
| No | 80 | 31 | 1 | ||
| Yes | 11 | 8 | 3.8 (1.6; 8.9) | .002 | .008 |
| Deletion (13q) | |||||
| No | 47 | 27 | 1 | ||
| Yes | 45 | 13 | 0.4 (0.2; 0.7) | .004 | .14 |
| Deletion (17p13) | |||||
| No | 90 | 39 | na | ||
| Yes | 1 | 0 | na | ||
| IgVH mutation | |||||
| No | 47 | 29 | 1 | ||
| Yes | 40 | 8 | 0.24 (0.11; 0.53) | .0004 | .0003 |
| ZAP 70 | |||||
| Negative | 24 | 6 | 1 | ||
| Positive | 44 | 21 | 4.5 (1.7; 11.6) | .002 | .49 |
| Variable . | N . | Events . | HR (95% CI) . | P* . | P† . |
|---|---|---|---|---|---|
| Binet Stage | |||||
| B | 83 | 35 | 1 | ||
| C | 22 | 7 | 0.9 (0.4; 2.1) | .9 | |
| Sex | |||||
| Male | 69 | 29 | 1 | ||
| Female | 36 | 13 | 0.8 (0.4; 1.6) | .5 | |
| Age, y | 0.98 (0.94; 1.03) | .4 | |||
| LDH | |||||
| ≤ ULN | 66 | 27 | 1 | ||
| > ULN | 30 | 10 | 1.1 (0.5; 2.2) | .9 | |
| Beta2-microglobulin | |||||
| Normal | 41 | 14 | 1 | ||
| Abnormal | 52 | 22 | 1.3 (0.7; 2.5) | .5 | |
| CD38 | |||||
| ≤ 22 | 70 | 24 | 1 | ||
| > 22 | 35 | 18 | 0.2 (0.1; 0.5) | .1 | |
| Karyotype | |||||
| Normal | 38 | 15 | 1 | ||
| At least one abnormality | 50 | 19 | 0.9 (0.5; 1.8) | .8 | |
| Translocation | |||||
| No | 70 | 25 | 1 | ||
| Yes (balanced and imbalanced) | 18 | 9 | 2.0 (0.9; 4.4) | .09 | |
| Trisomy 12 | |||||
| No | 79 | 32 | 1 | ||
| Yes | 18 | 8 | 0.99 (0.5; 2.2) | 1.0 | |
| Deletion (11q23) | |||||
| No | 80 | 31 | 1 | ||
| Yes | 11 | 8 | 3.8 (1.6; 8.9) | .002 | .008 |
| Deletion (13q) | |||||
| No | 47 | 27 | 1 | ||
| Yes | 45 | 13 | 0.4 (0.2; 0.7) | .004 | .14 |
| Deletion (17p13) | |||||
| No | 90 | 39 | na | ||
| Yes | 1 | 0 | na | ||
| IgVH mutation | |||||
| No | 47 | 29 | 1 | ||
| Yes | 40 | 8 | 0.24 (0.11; 0.53) | .0004 | .0003 |
| ZAP 70 | |||||
| Negative | 24 | 6 | 1 | ||
| Positive | 44 | 21 | 4.5 (1.7; 11.6) | .002 | .49 |
na indicates not available.
Models adjusted on the randomization arm and stratified for the Binet stage.
Multivariate models incorporating all covariates with P values, reported, including the randomization arm, with stratification for Binet stage.
Overall survival.
The 3-year estimated OS rates were 97.8% (95% CI, 93.6%-100%) in the observation arm and 95.7% (95% CI, 90%-100%) in the ASCT arm (P = .73). The estimated HR for death was 1.2 (95% CI, 0.3-3.8) in the ASCT arm relative to the observation arm (P = .82) (Figure 3). During the 36 months after randomization, ASCT was associated, on average, with an extra 9 months without clinical symptoms or blood signs of CLL progression (32.1 ± 1.2 months) compared with observation (23.4 ± 1.6) (Figure 4).
OS rates according to randomization arm in the 2 response groups. In the CR group, the 3-year estimated OS rates were 95.7% (95% CI, 90%-100%) in the ASCT arm and 97.8% (95% CI, 93.6%-100%) in the observation arm (P = .73). In the non-CR group, the 3-year estimated OS rates were 81.7% (95% CI, 70.9%-94.1%) in the ASCT arm and 87.0% (95% CI, 77.7%-97.3%) in the FC arm (P = .69).
OS rates according to randomization arm in the 2 response groups. In the CR group, the 3-year estimated OS rates were 95.7% (95% CI, 90%-100%) in the ASCT arm and 97.8% (95% CI, 93.6%-100%) in the observation arm (P = .73). In the non-CR group, the 3-year estimated OS rates were 81.7% (95% CI, 70.9%-94.1%) in the ASCT arm and 87.0% (95% CI, 77.7%-97.3%) in the FC arm (P = .69).
OS rates according to randomization arm in the 2 response groups during the first 36 months after randomization. The lower shaded areas show the time spent without clinical or blood symptoms of CLL progression; upper areas show the time between progression or relapse and death.
OS rates according to randomization arm in the 2 response groups during the first 36 months after randomization. The lower shaded areas show the time spent without clinical or blood symptoms of CLL progression; upper areas show the time between progression or relapse and death.
Patients not in CR at randomization
Median follow-up from randomization was 51.2 months (IQR: 29.2-63.9 months) in this group.
Treatment completion.
Twelve patients allocated to ASCT did not receive this treatment because of PBSC mobilization failure (n = 7), death (n = 1), progression (n = 2, including 1 Richter syndrome), patient refusal (n = 1), or physician decision (n = 1). One patient received FC instead. Eight patients allocated to FC did not receive this treatment (4 medical decisions including 1 ASCT, and 4 patient refusals). Upon completion of their allocated treatment, 53 patients entered CR with a median of 11% of lymphocytes on the BM smear (Q1-Q3: 5%-19.5%), 27 of 46 (58.7%) in the ASCT arm and 26 of 48 (54.2%) in the FC arm). Thirty-four patients (15 in the ASCT arm and 19 in the FC arm) were in PR, 1 patient in the ASCT arm was stable, and 6 patients progressed (3 in each arm). The response distribution did not differ between the randomization arms (P = .7). Table 3 provides data on MRD, which were available for 41 CR patients in this group.
Event-free survival.
The estimated 3-year EFS rates were 48.9% (95% CI, 35.3-67.7) in the ASCT arm and 44.4% (95% CI, 31.8-62.2) in the FC arm (P = .55; Figure 2). Among the parameters significantly related to EFS in univariate analysis, 17p deletion (HR = 3.5, 95% CI: 1.4-8.7; P = .007) and IGVH mutational status (HR = 0.4, 95% CI: 0.2-0.9; P = .03) were selected as independent prognostic factors in multivariable regression analysis (Table 5). After adjustment for these factors and stratification by Binet stage, the estimated effect size of ASCT relative to FC was 1.7 (95% CI; 0.9-3.2; P = .13). No evidence of an interaction between the treatment arm and either 17p deletion (P = .87) or IGVH mutational status (P = .98) was found.
Variables predictive of EFS in randomized non-CR patients
| Variable . | N . | Events . | HR (95% CI) . | P* . | P† . |
|---|---|---|---|---|---|
| Binet Stage | |||||
| B | 72 | 33 | 1 | ||
| C | 22 | 13 | 1.3 (0.7; 2.5) | .4 | |
| Sex | |||||
| Male | 77 | 37 | 1 | ||
| Female | 17 | 9 | 1.2 (0.6; 2.6) | .6 | |
| Age, y | 1.0 (0.99; 1.09) | .2 | |||
| LDH | |||||
| ≤ N | 51 | 22 | 1 | ||
| > N | 39 | 23 | 1.7 (0.9; 3.1) | .09 | |
| Beta2-m | |||||
| Normal | 17 | 10 | 1 | ||
| Abnormal | 61 | 30 | 0.8 (0.4; 1.7) | .6 | |
| CD38 | |||||
| ≤ 22 | 50 | 19 | 1 | ||
| > 22 | 44 | 27 | 1.7 (0.9; 3.1) | .08 | |
| Karyotype | |||||
| Normal | 28 | 11 | 1 | ||
| At least one abnormality | 49 | 27 | 1.4 (0.7; 2.9) | .3 | |
| Translocation | |||||
| No | 52 | 22 | 1 | ||
| Yes (balanced and imbalanced) | 25 | 16 | 1.8 (0.9; 3.6) | .07 | |
| Trisomy 12 | |||||
| No | 79 | 39 | 1 | ||
| Yes | 7 | 4 | 1.2 (0.4; 3.4) | .7 | |
| Deletion (11q23) | |||||
| No | 59 | 29 | 1 | ||
| Yes | 25 | 14 | 1.2 (0.6; 2.4) | .5 | |
| Deletion (13q) | · | ||||
| No | 32 | 16 | 1 | ||
| Yes | 51 | 26 | 1.0 (0.5; 2.0) | .9 | |
| Deletion (17p13) | |||||
| No | 75 | 35 | 1 | ||
| Yes | 9 | 8 | 5.2 (2.2; 12.1) | .0001 | .007 |
| IgVH mutation | |||||
| No | 64 | 37 | 1 | ||
| Yes | 23 | 6 | 0.3 (0.1; 0.8) | .01 | .03 |
| ZAP70 | |||||
| Negative | 15 | 5 | 1 | ||
| Positive | 38 | 29 | 2.4 (0.9; 6.5) | .09 |
| Variable . | N . | Events . | HR (95% CI) . | P* . | P† . |
|---|---|---|---|---|---|
| Binet Stage | |||||
| B | 72 | 33 | 1 | ||
| C | 22 | 13 | 1.3 (0.7; 2.5) | .4 | |
| Sex | |||||
| Male | 77 | 37 | 1 | ||
| Female | 17 | 9 | 1.2 (0.6; 2.6) | .6 | |
| Age, y | 1.0 (0.99; 1.09) | .2 | |||
| LDH | |||||
| ≤ N | 51 | 22 | 1 | ||
| > N | 39 | 23 | 1.7 (0.9; 3.1) | .09 | |
| Beta2-m | |||||
| Normal | 17 | 10 | 1 | ||
| Abnormal | 61 | 30 | 0.8 (0.4; 1.7) | .6 | |
| CD38 | |||||
| ≤ 22 | 50 | 19 | 1 | ||
| > 22 | 44 | 27 | 1.7 (0.9; 3.1) | .08 | |
| Karyotype | |||||
| Normal | 28 | 11 | 1 | ||
| At least one abnormality | 49 | 27 | 1.4 (0.7; 2.9) | .3 | |
| Translocation | |||||
| No | 52 | 22 | 1 | ||
| Yes (balanced and imbalanced) | 25 | 16 | 1.8 (0.9; 3.6) | .07 | |
| Trisomy 12 | |||||
| No | 79 | 39 | 1 | ||
| Yes | 7 | 4 | 1.2 (0.4; 3.4) | .7 | |
| Deletion (11q23) | |||||
| No | 59 | 29 | 1 | ||
| Yes | 25 | 14 | 1.2 (0.6; 2.4) | .5 | |
| Deletion (13q) | · | ||||
| No | 32 | 16 | 1 | ||
| Yes | 51 | 26 | 1.0 (0.5; 2.0) | .9 | |
| Deletion (17p13) | |||||
| No | 75 | 35 | 1 | ||
| Yes | 9 | 8 | 5.2 (2.2; 12.1) | .0001 | .007 |
| IgVH mutation | |||||
| No | 64 | 37 | 1 | ||
| Yes | 23 | 6 | 0.3 (0.1; 0.8) | .01 | .03 |
| ZAP70 | |||||
| Negative | 15 | 5 | 1 | ||
| Positive | 38 | 29 | 2.4 (0.9; 6.5) | .09 |
Models adjusted on the randomization arm and stratified for the Binet stage.
Multivariable models incorporating all covariates with P values reported, including the randomization arm, with stratification for Binet stage.
Overall survival.
The estimated 3-year OS rates were 81.7% (95% CI, 70.9-94.1%) in the ASCT arm and 87.0% (95% CI, 77.7-97.3%) in the FC arm (P = .69), yielding an HR for death of 1.21 (95% CI, 0.49-2.99) in the ASCT arm relative to the FC arm (P = .68) (Figure 3). Unlike the group of patients in CR, no difference in the mean time without clinical symptoms or blood signs of CLL progression was observed in this group (27.0 ± 1.8 months in the ASCT arm and 25.4 ± 1.6 in the FC arm; Figure 4).
PBSC mobilization study
The results of PBSC mobilization in 145 consecutive patients according to the 3 procedures described in “PBSC mobilization and supportive care” are shown in Table 6. Among the first 50 patients in CR after the entire up-front treatment with 3 courses of CHOP and 3 courses of fludarabine, mobilization failed in 40% of cases. This prompted the steering committee to amend the protocol in January 2004, allowing mobilization after the first 3 courses of CHOP. The mobilization failure rate then dropped to 8.3% in the 36 patients concerned. A 15.3% failure rate was observed in the 59 patients mobilized after DHAP rescue. To evaluate the 3 mobilization procedures, we compared the median number of harvested CD34 cells in the 3 groups after the first mobilization attempt. The best results were obtained after DHAP (P = .003 vs fludarabine; P < .0001 vs CHOP), whereas mobilization was significantly better after CHOP than after fludarabine (P = .001).
PBSC mobilization study*
| PBSC mobilization procedure . | 3 CHOP (lenograstim 10 μg/kg) . | 3 CHOP + 3 fludarabine (lenograstim 10 μg/kg) . | 3 CHOP + 3 fludarabine + DHAP (lenograstim 150 μg/m2) . |
|---|---|---|---|
| Patients (N = 145) | 36 | 50 | 59 |
| Success (CD34 > 2 × 106/kg) | 33 (91.66%) | 30 (60%) | 50 (84.74%) |
| 1 mobilization | 29 | 15 | 48 |
| 2 mobilizations | 4 | 15 | 2 |
| Failure (CD34 < 2 × 106/kg) | 3 (8.33%) | 20 (40%) | 9 (15.25%) |
| Median (CD34 × 106/kg)† | 3.30 (2.56-4.33) | 1.77 (1.06-3.30) | 5.10 (3.50-7.97) |
| PBSC mobilization procedure . | 3 CHOP (lenograstim 10 μg/kg) . | 3 CHOP + 3 fludarabine (lenograstim 10 μg/kg) . | 3 CHOP + 3 fludarabine + DHAP (lenograstim 150 μg/m2) . |
|---|---|---|---|
| Patients (N = 145) | 36 | 50 | 59 |
| Success (CD34 > 2 × 106/kg) | 33 (91.66%) | 30 (60%) | 50 (84.74%) |
| 1 mobilization | 29 | 15 | 48 |
| 2 mobilizations | 4 | 15 | 2 |
| Failure (CD34 < 2 × 106/kg) | 3 (8.33%) | 20 (40%) | 9 (15.25%) |
| Median (CD34 × 106/kg)† | 3.30 (2.56-4.33) | 1.77 (1.06-3.30) | 5.10 (3.50-7.97) |
The best results were observed after DHAP (P = .003 vs fludarabine; P < .0001 vs CHOP), whereas mobilization after CHOP was significantly better than after fludarabine (P = .001).
(Q1-Q3) collected at first mobilization.
Discussion
This is the first published randomized clinical trial of ASCT as part of the first-line treatment for patients with stage B or C CLL. We found that ASCT doubled the EFS probability in patients who entered CR after up-front chemotherapy. This is consistent with the results of previous phase 2 trials of ASCT for first-line treatment consolidation, in which the median EFS ranged from 5-6.3 years.19-21 In contrast, ASCT was not more beneficial than FC in our non-CR patients rescued with DHAP. Previous studies of ASCT in hematologic malignancies have clearly shown that ASCT is beneficial in patients with chemosensitive disease before autografting (mainly patients in CR), and that patients with chemoresistant disease are unlikely to benefit.31-33 The longer EFS obtained with ASCT in our CR patients did not translate into longer OS. This conflicts with results published by Dreger et al, who found a survival advantage with ASCT over chemotherapy in a retrospective, risk-matched comparison study.34
All of our patients received the same frontline treatment combining 3 cycles of an anthracycline-alkylating regimen and 3 cycles of fludarabine. This treatment would now be considered suboptimal in the light of recently published results obtained with an FCR regimen by the German CLL group.14 Nevertheless, in the overall population of 241 Binet stage B and C patients enrolled in our trial, the final CR and overall response rates (including patients evaluated for response but not randomized) were 65% and 86%, respectively, which compare favorably with the 44% CR and 90% overall response rates reported with FCR in the aforementioned German controlled trial involving previously untreated patients with Binet stage A, B, or C CLL.14 In addition, the 88.3% 3-year and 78% 5-year OS rates obtained in our study are similar to those reported elsewhere with FCR: 87% at 3 years in the German trial and 77% at 6 years in the Houston group's uncontrolled series.14,35 However, because of the lack of BM biopsies, our CR rate included nodular PRs and is not really comparable to the rates obtained in other studies, although the presence of residual nodules in BM (defining nodular PR) after the completion of therapy was not found to be correlated with time to progression or OS in a study by Oudat et al of patients treated with fludarabine with or without cyclophosphamide.36 Furthermore, in our study, the median level of lymphocyte infiltration was 10%-11% after treatment completion, which is far below the 30% threshold recommended for CR in the 1996 guidelines.24
MRD negativity has been considered an important goal in CLL. Undetectable residual disease in a sensitive technique is clearly the best observable response in patients treated for CLL. In the 2 large, prospective, controlled clinical trials discussed in the previous section, the better response translated into longer progression-free survival and, more importantly, into longer OS in the German trial.11,14 Unfortunately, MRD studies were not published in these 2 important trials. Many uncontrolled trials, some involving ASCT, have shown a strong relationship between MRD negativity and outcome, but this still needs to be confirmed in prospective, controlled trials using standardized methods.21,37-39 We have previously shown in some of our CR patients after chemotherapy or ASCT that MRD assessment based on blood and BM analysis by 6-channel flow cytometry gave similar results (data not shown).40 Our trial planned an ancillary study of CR patients based on centralized MRD analysis of blood lymphocytes with 4-channel flow cytometry. Nevertheless, the impact of MRD on outcome in our study should be interpreted with care because of the limited number of MRD-negative patients and the imbalance in missing data between the randomization arms (Table 3). Overall, ASCT enhanced the rate of undetectable MRD in the group of patients who entered CR after the up-front treatment, which is in keeping with the marked improvement in EFS after ASCT in this group. In contrast, the rate of undetectable MRD in patients who entered CR after the rescue treatment did not differ markedly between the ASCT group and the FC group, which is also consistent with their similar outcomes (Table 3).
Mobilization failure occurred in 15% of our patients allocated to ASCT. Because most failures were initially observed when mobilization started upon completion of up-front treatment (ie, after fludarabine), we decided to start the mobilization procedure after the 3 courses of mini-CHOP if the patient had a normal blood cell count. Mobilization failure was subsequently less frequent, but even after fludarabine treatment, patients needing rescue treatment with DHAP recovered a good potential for PBSC mobilization, probably because of the high dose of cytarabine. The failure of PBSC mobilization had already been reported in several studies after fludarabine or FC, but high-dose cytarabine can reverse this detrimental effect.41-43
Several biologic prognostic factors have been identified in CLL. The most powerful are IGVH mutational status, ZAP70 and CD38 expression, chromosomal translocation and complex karyotypes, and serum beta2-microglobulin.44 Apart from P53 mutation-17p deletion, none of these markers has so far prompted changes in patient management.45-47 A consensus on the indications for allogeneic stem cell transplantation in CLL, taking the benefit-risk balance into account, has recently been reached by the EBMT for patients with p53 abnormalities requiring treatment and also for nonresponders and early relapsers (within 12 months after purine analog therapy or within 24 months after responding to anti-CD20 plus purine-analog combination therapy or autologous transplantation).46 Nevertheless, transplant-related mortality and chronic graft-versus-host disease remain a cause for concern after allogenic transplantation.48 Dreger et al recently reported a 23% nonrelapse mortality rate at 4 years in a series of 90 patients and a cumulative incidence of extensive chronic graft-versus-host disease of 55% at 2 years in the 66 patients who survived longer than 100 days.49 Moreover, a side-by-side comparison by Gribben et al of long-term results of B-cell–depleted autologous and T-cell–depleted allogenic transplantation yielded contradictory results, with no difference in OS (58% and 55% 6-year OS rates, respectively).19,48
As expected, only 1 of our patients with the 17p deletion entered CR after up-front treatment. In addition, the Cox model of EFS showed that unmutated IGVH was an independent adverse prognostic factor in both the CR and non-CR populations regardless of the randomization arm, whereas 11q deletion had independent prognostic value in patients randomized in CR and 17p deletion in patients randomized in non-CR, again, whatever the randomization arm. In the trial recently published by the German group, the addition of rituximab to FC erased the negative impact of the 11q deletion.14 We found no influence of gender, beta2-microglobulin, translocation or complex karyotype, or CD38 or ZAP70 expression on EFS (Tables 4 and 5). The absence of any impact of age may have been because of the 65-year age limit in our study.
No significant difference in severe adverse events such as toxic death, Richter syndrome, secondary myelodysplastic syndromes or acute myelogenous leukemia (MDS/AML) was observed among the different arms of our trial. In particular, the incidence of MDS/AML was only 4.2% after ASCT, with a median follow-up of 50 months from randomization (and nearly 5 years after the beginning of chemotherapy), a rate far lower than in previous studies.50 MDS/AML is likely to increase with longer follow-up after ASCT with total body irradiation/cyclophosphamide conditioning. Indeed, Gribben et al reported an incidence of 12% at 8 years in 137 patients who underwent ASCT, whereas Milligan et al reported 8 cases among 65 patients, with an actuarial risk of 12.4% at 5 years.19,50 Nevertheless, all patients in this later study were treated, before ASCT, with an average of 6 courses of fludarabine in addition to alkylating agents in some cases.50 A relatively high incidence of MDS/AML have also been reported after fludarabine alone or FCR, suggesting that the relatively low incidence in our study could have been due to the low cumulative dose of fludarabine (3 courses) and to our not using concomitant alkylating therapy before the ASCT procedure.35,51
ASCT appears to be a reasonably safe procedure that significantly improves the response duration in patients who enter CR after up-front chemotherapy. Patients who do not enter CR after up-front treatment appear to have similar EFS and response rates whether they receive consolidation with ASCT or 3 courses of FC, regardless of 17p and IGVH gene status. The recent demonstration of a survival benefit with the FCR regimen makes this the gold standard for never-treated patients with CLL.3 Whether there is still a place for ASCT in this setting is questionable. Because our trial was designed before monoclonal antibodies started to be used in CLL, the question arises as to whether the results might be improved either by incorporating rituximab in the frontline regimen or by including it as an additional treatment for persistent or recurrent MRD after ASCT, as reported for follicular lymphoma.52,53
An Inside Blood analysis of this article appears at the front of this issue.
The online version of this article contains a data supplement.
Presented orally at the 13th International Workshop on Chronic Lymphocytic Leukemia, October 17, 2009, Barcelona, Spain, and at the 51st Annual Meeting of the American Society of Hematology, December 8, 2009, New Orleans, LA.
The publication costs of this article were defrayed in part by page charge payment. Therefore, and solely to indicate this fact, this article is hereby marked “advertisement” in accordance with 18 USC section 1734.
Acknowledgments
We thank all of the physicians and research staff who participated in this trial. Particular thanks go to Anne Driheme, Dominique Parfait, and Monique Cordelle for data managing and monitoring. We also thank David Young for editorial assistance.
This trial was supported by grants from the French Ministry of Health (PHRC 2001), Fondation Georgelin, and Chugai Pharma France. The study sponsors had no role in the study design, data collection, data analysis, data interpretation, writing of the paper, or the decision to submit the paper for publication. The corresponding author had full access to all of the study data and had final responsibility for the decision to submit the results for publication.
Authorship
Contribution: L.S. and M.L. coordinated the trial and wrote the paper; S.C. and J.L. were the statisticians and contributed to writing the paper; H.M.-B. reviewed slides; F.D. performed the centralized analysis of IGHV mutational status; N.L., I.R.-W., and E.C. reviewed metaphase cytogenetics; F.N.-K. performed centralized fluorescence in situ hybridization analysis; K.M. analyzed MRD in CR patients; and O.T., M.D., V.L., B.C., S.L., H.E., E.V.D.N., M.M., F.M., K.B., D.D., C.B., P.B., and H.G. were the principal contributors of clinical data.
Conflict-of-interest disclosure: The authors declare no competing financial interests.
For a complete list of clinicians who participated in the trial on behalf of the SFGM-TC and GFLLC, see the online supplemental Appendix.
Correspondence: Dr Laurent Sutton, Service d'hématologie, Hôpital Victor Dupouy, 69 rue du Lieutenant Colonel Prudhon, 95107 Argenteuil, France; e-mail: laurent.sutton@ch-argenteuil.fr.




This feature is available to Subscribers Only
Sign In or Create an Account Close Modal