Abstract
Abstract 323
Sirolimus/Tacrolimus Facilitates Preferential Recovery of Regulatory T cells (Treg) after Allogeneic Hematopoietic Cell Transplantation (HCT), and is More Effective than Methotrexate/Tacrolimus in Preventing Grade II-IV Acute Graft vs. Host Disease (GVHD) and Moderate to Severe Chronic GVHD
Clinical translation of the Treg suppressive potential will require definition of a pharmacologic immune suppressive platform conducive to preferential Treg reconstitution post-HCT. Sirolimus has differential impact on Treg and conventional T cells.
Patients and Methods: We performed a prospective, randomized phase II trial of sirolimus (SIR) and tacrolimus (TAC) vs. methotrexate (MTX) and TAC. From 9/2008 to 5/2011, a total of 74 patients were randomized 1:1 to SIR/TAC vs. MTX/TAC, stratified by age (> or ≤ 50) and donor relation (related vs. unrelated). SIR was administered as a 9 mg oral loading dose on day -1, followed by maintenance with 4 mg daily adjusted to target 8–12 ng/ml; SIR was continued for at least 1 year. MTX was 15 mg/m2 on day +1, then 10 mg/m2on days +3, 6, and 11. TAC was administered at 0.02 mg/kg/day IV or equivalent oral dosing starting on day -3. Target TAC levels were 3–7 ng/ml for the SIR arm versus 10–15 ng/ml for the MTX arm and were maintained through day 60. TAC was tapered thereafter in the absence of acute GVHD. Patient age for the whole study was 23 to 69 (median 49) years, and disease diagnoses included AML (23), ALL (15), MDS (9), MM (8), NHL (8), CLL (7), CML (2), and MPD (2). Patients received peripheral blood mobilized stem cells from HLA-A, B, C, and DRB1 matched sibling (n=35) or unrelated donors (n=39). Age, diagnosis, disease risk and donor relation were balanced across the two study arms. Serial peripheral blood samples were obtained at baseline pre-HCT, day 0, and days 30, 90, 180, and 360 post-HCT. Treg were defined by the surface CD4+CD25brightCD127negative phenotype. The reciprocal relationship between negative surface CD127 and high intracellular FoxP3 expression was confirmed in a subset (n=15) of day 30 patient samples (r=0.94).
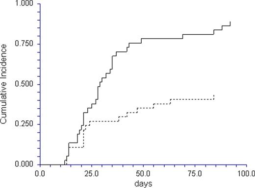
Median percent Tregs among blood CD4 T cells at day 30 was 16.3 (range 12.5–17.9) for SIR versus 9.9 (8.6–13.5) for MTX, p < 0.0001, and 14.6 (10.8–18.1) for SIR and 9.7 (7.5–11.6) for MTX at day 90 post-HCT, p = 0.0009. SIR-treated patients had increased absolute numbers of Treg, and decreased absolute numbers of non-Treg CD4+ cells on days 30 and 90. The 100-day cumulative incidence of grade 2–4 acute GVHD for SIR was 43% (95% CI 30–63%), and 89% (95% CI 80–100%) for MTX, p<0.0001. Grade 3–4 acute GVHD for SIR was 16% (95% CI 7–36%) and 13% (95% CI 5–33%) for MTX, p=0.16. The incidence of any grade chronic GVHD for SIR was 51% (95% CI 34–78%) and 67% (95% CI 52–85%) for MTX, p=0.56. The cumulative incidence of NIH consensus-defined moderate to severe chronic GVHD was 20% (95% CI 9–43%) following SIR, and 63% (95% CI 47–83%) for MTX, p=0.013. Median time to neutrophil engraftment was comparable (SIR 16, range 11–22 days; MTX 16, range 12–28, p=0.57), and platelet engraftment was improved with SIR (SIR 12, range 6–20; MTX 16, range 10–33, p=0.012). No significant differences in peak mucositis, hepatic veno-occlusive disease (VOD), or thrombotic microangiopathy were observed between SIR and MTX. Overall survival did not significantly differ, log-rank p=0.55. Causes of death in SIR included relapse (n=2), and non-relapse death (septicemia 2, acute GVHD 1, chronic GVHD 1, influenza pneumonia 1, RSV pneumonia 1, VOD 1, multi-organ failure 1). Causes of death in the MTX arm were relapse (n=7), and non-relapse death (diffuse alveolar hemorrhage 1, GVHD 1). We performed serial assessment of patient-reported quality of life (QOL) with the FACT-BMT. While those patients in the MTX group had significantly better mean FWB and FACT-G scores at baseline pre-HCT, we did not detect significant differences in any FACT-BMT domain or summary score at day 30 or 90 post-HCT. Further follow up is needed to study longer term recovery of QOL in SIR and MTX treated patients.
These results of a randomized, controlled study provide evidence that the combination of SIR/TAC favors Treg recovery and more effectively prevents acute GVHD and moderate to severe chronic GVHD after allogeneic HCT.
Cumulative incidence of grade II-IV acute GVHD through day 100 post-HCT (solid line: MTX/TAC, dotted line: SIR/TAC)
Cumulative incidence of grade II-IV acute GVHD through day 100 post-HCT (solid line: MTX/TAC, dotted line: SIR/TAC)
Alsina:Millennium: Consultancy, Membership on an entity's Board of Directors or advisory committees, Research Funding; Novartis: Consultancy, Membership on an entity's Board of Directors or advisory committees; Allergan: Research Funding.
Author notes
Asterisk with author names denotes non-ASH members.

This feature is available to Subscribers Only
Sign In or Create an Account Close Modal