Abstract
It has been hypothesized that the observed excess risk of multiple myeloma (MM) among obese persons could be the result of altered circulating levels of adipokines, polypeptide hormones with pro- and anti-inflammatory properties secreted by adipose tissue. We investigated whether circulating levels of leptin, total adiponectin, and high molecular weight adiponectin are associated with subsequent MM risk among 174 MM patients and 348 controls within the Prostate, Lung, Colorectal, and Ovarian Cancer Screening Trial. Inverse associations with MM were observed for total adiponectin (highest quartile vs lowest: odds ratio = 0.49; 95% CI = 0.26-0.93, Ptrend = .03) and high molecular weight adiponectin (0.44; 0.23-0.85, Ptrend = .01). These associations remained after restricting to MM patients diagnosed ∼ 8 years or more after blood collection. Leptin levels were not associated with MM risk. The results of this study, to our knowledge the first prospective investigation of circulating adipokines and MM, suggest that adiponectin may play an important role in obesity-related myelomagenesis.
Introduction
Multiple myeloma (MM) is a fatal plasma cell malignancy that will account for ∼ 21 700 new cancer diagnoses in the United States in 2012.1 Recent studies have shown that MM is consistently preceded by monoclonal gammopathy of undetermined significance (MGUS).2 Established MM risk factors include older age, male sex, African ancestry, family history of MM or MGUS, and severe immune dysregulation.3,4 Obesity has also been associated with an increased risk of MGUS and MM,5,6 although the specific biologic mechanisms have yet to be elucidated. Alterations in circulating levels of adipokines, polypeptide hormones secreted by adipose tissue, have been proposed as a potential mechanism through which obesity contributes to myelomagenesis. The most abundant adipokine, adiponectin, is mainly produced by visceral adipose tissue7 ; it has important anti-inflammatory and insulin-sensitizing properties, and circulating levels are negatively correlated with obesity.7-9 The ratio of the oligomeric forms of adiponectin may affect insulin sensitivity, with higher concentrations of high molecular weight (HMW) adiponectin protecting against insulin resistance.7,10 Circulating levels of leptin, which is also produced mainly by adipocytes and has proinflammatory properties, are positively correlated with amount of body fat.7,10 In a recent case-control study, including 73 MM patients and 73 controls,11 MM was inversely associated with serum levels of adiponectin and was not associated with leptin. To our knowledge, these associations have not been investigated prospectively.
To determine whether prediagnostic circulating levels of leptin, total adiponectin, and HMW adiponectin are associated with future risk of MM, we conducted a nested case-control study in the Prostate, Lung, Colorectal and Ovarian (PLCO) Cancer Screening Trial.
Methods
Methods for enrollment and specimen collection in the PLCO Cancer Screening Trial have been described.12 Briefly, between 1993 and 2001, ∼ 155 000 persons 55-74 years of age were enrolled in the study from 10 US cities. Screening-arm participants provided nonfasting blood samples that were processed and frozen within 2 hours of collection and stored at −70°C. The trial was approved by institutional review boards at the National Cancer Institute and the 10 study centers, and all participants provided written informed consent in accordance with the Declaration of Helsinki.
After excluding participants with a history of cancer (other than nonmelanoma skin cancer) at baseline and those with a prior incident diagnosis of a lymphoid malignancy, we identified 174 patients with an incident diagnosis of MM (ICD-O-2-M 9732) on or before June 29, 2010 that had available prediagnostic heparin plasma (collected > 1 year before diagnosis). Two controls were individually matched to each MM patient on age at baseline (5-year categories), sex, race, date of phlebotomy (3-month categories), time of day of phlebotomy (AM, PM), and study year of specimen collection.
Plasma concentrations of leptin, total adiponectin, and HMW adiponectin were measured in duplicate by ELISA with reagents purchased from R&D Systems. Samples from MM patients and their matched controls were analyzed consecutively in the same batch, and blinded quality control replicates were included in each batch. The overall coefficients of variation for total adiponectin, HMW adiponectin, and leptin were 2.7%, 4.7%, and 8.5%, respectively. All measurements were above the lower limits of detection of 3.9 ng/mL for total and HMW adiponectin and 15.6 pg/mL for leptin.
We used a t test to assess differences in log-transformed levels of each analyte between MM patients and controls. Odds ratios (ORs) and 95% confidence intervals (CIs) were estimated using conditional logistic regression models with subjects assigned to quartiles of each analyte (averaged across duplicates) based on the distribution among controls. We further subdivided the highest quartile using the within-category median among controls to investigate associations across a wider range of exposure levels. Values for trend tests were assigned using the within-quartile medians. For analyses of each analyte as a continuous variable, we calculated ORs corresponding to a change in analyte levels of the interquartile range in controls. Analyses were performed with and without adjustment for body mass index (BMI). We also conducted analyses stratified below/above the median length of follow-up from blood collection to MM diagnosis (7.91 years) and by sex. Findings were considered statistically significant if 2-sided P < .05.
Results and discussion
The distributions of matching factors among MM patients and controls were the same (Table 1). BMI, which is associated with MM in the PLCO Cancer Screening Trial,13 was slightly higher among selected MM patients than among controls. MM patients had lower levels of total and HMW adiponectin than did controls (P = .001 and .003, respectively). BMI was positively correlated with leptin and negatively correlated with total and HMW adiponectin (Spearman correlation coefficients for leptin, total adiponectin, and HMW adiponectin were 0.52, −0.26, and −0.25, respectively, among controls and 0.59, −0.24, and −0.27 among MM patients).
Selected characteristics of MM patients and matched controls
| Characteristic . | MM patients (N = 174) . | Controls (N = 348) . |
|---|---|---|
| Age category, N (%) | ||
| 55-59 y | 44 (25.3) | 88 (25.3) |
| 60-64 y | 44 (25.3) | 88 (25.3) |
| 65-69 y | 59 (33.9) | 118 (33.9) |
| 70-74 y | 27 (15.5) | 54 (15.5) |
| Sex, N (%) | ||
| Female | 62 (35.6) | 124 (35.6) |
| Male | 112 (64.4) | 224 (64.4) |
| Race, N (%) | ||
| White, non-Hispanic | 158 (90.8) | 316 (90.8) |
| Black, non-Hispanic | 8 (4.6) | 16 (4.6) |
| Hispanic | 4 (2.3) | 8 (2.3) |
| Asian/Pacific Islander | 4 (2.3) | 8 (2.3) |
| Mean BMI, kg/m2 (SD) | 27.7 (5.2) | 27.2 (4.5) |
| Adiponectin, μg/mL, geometric mean (GSD) | 8.72 (1.81) | 9.60 (1.89)* |
| HMW adiponectin, μg/mL, geometric mean (GSD) | 4.97 (2.07) | 5.55 (2.18)* |
| Leptin, ng/mL, geometric mean (GSD) | 10.01 (2.64) | 9.60 (2.71) |
| Characteristic . | MM patients (N = 174) . | Controls (N = 348) . |
|---|---|---|
| Age category, N (%) | ||
| 55-59 y | 44 (25.3) | 88 (25.3) |
| 60-64 y | 44 (25.3) | 88 (25.3) |
| 65-69 y | 59 (33.9) | 118 (33.9) |
| 70-74 y | 27 (15.5) | 54 (15.5) |
| Sex, N (%) | ||
| Female | 62 (35.6) | 124 (35.6) |
| Male | 112 (64.4) | 224 (64.4) |
| Race, N (%) | ||
| White, non-Hispanic | 158 (90.8) | 316 (90.8) |
| Black, non-Hispanic | 8 (4.6) | 16 (4.6) |
| Hispanic | 4 (2.3) | 8 (2.3) |
| Asian/Pacific Islander | 4 (2.3) | 8 (2.3) |
| Mean BMI, kg/m2 (SD) | 27.7 (5.2) | 27.2 (4.5) |
| Adiponectin, μg/mL, geometric mean (GSD) | 8.72 (1.81) | 9.60 (1.89)* |
| HMW adiponectin, μg/mL, geometric mean (GSD) | 4.97 (2.07) | 5.55 (2.18)* |
| Leptin, ng/mL, geometric mean (GSD) | 10.01 (2.64) | 9.60 (2.71) |
GSD indicates geometric standard deviation.
P = .001 and .003 for total and HMW adiponectin, respectively. To account for the matched design, we used a bootstrap procedure that resampled each case and the 2 matched controls as the independent unit and computed the t test statistic for each bootstrap dataset for the log-transformed value of each analyte and for BMI. P values are based on the bootstrap distribution function with 5000 bootstrap replications.
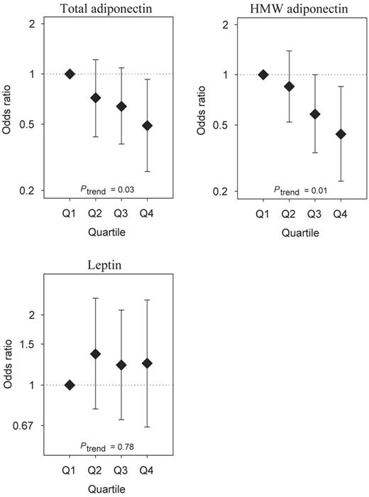
As shown in Figure 1, we observed inverse associations between MM risk and plasma levels of total adiponectin (highest quartile vs lowest: OR = 0.49; 95% CI = 0.26-0.93; Ptrend = .03) and HMW adiponectin (OR = 0.44; 95% CI = 0.23-0.85; Ptrend = .01). No consistent patterns of association were observed for leptin. When the top quartile was subdivided using the within-category median, stronger associations were observed for those subjects with the highest levels of total adiponectin (OR = 0.33; 95% CI = 0.14-0.79) and HMW adiponectin (OR = 0.32; 95% CI = 0.14-0.75). These associations remained after restricting the analysis to MM patients diagnosed > 7.91 years after blood collection and their matched controls (supplemental Table 1, available on the Blood Web site; see the Supplemental Materials link at the top of the online article). Findings were similar among men and women (eg, total adiponectin: ORcontinuous = 0.71 for men and 0.79 for women; supplemental Table 2). Risk estimates were essentially unchanged after adjustment for BMI, when leptin was included as a covariate in the analyses of total and HMW adiponectin, and after restricting to non-Hispanic whites (not shown).
Risk of MM in relation to prediagnostic circulating levels of total adiponectin, HMW adiponectin, and leptin in the Prostate, Lung, Colorectal, and Ovarian (PLCO) Cancer Screening Trial.
Risk of MM in relation to prediagnostic circulating levels of total adiponectin, HMW adiponectin, and leptin in the Prostate, Lung, Colorectal, and Ovarian (PLCO) Cancer Screening Trial.
We observed a modest association between BMI and MM risk in this analysis (ORs per 5 kg/m2 increase = 1.14; 95% CI = 0.94-1.39), the magnitude of which is consistent with the summary risk estimate from a meta-analysis of prospective studies of MM.5 When we adjusted for adiponectin, which was negatively correlated with BMI, this association was attenuated by ∼ 40% (ORs per 5 kg/m2 increase of 1.08 and 1.09 after adjusting for HMW and total adiponectin, respectively).
Our study, to our knowledge the first prospective investigation of circulating adipokines and MM, shows a clear inverse relationship between total and HMW adiponectin levels and subsequent risk of MM, even among MM patients diagnosed approximately ≥ 8 years after blood collection. These results suggest that adiponectin may play a role in the underlying biologic mechanisms linking obesity to myelomagenesis. Although the mechanisms are not fully understood, adiponectin may prevent MM development by suppressing production of proinflammatory cytokines, such as IL-6 and TNF, and inhibiting NF-κ B activation while inducing other anti-inflammatory cytokines, such as IL-10 and IL-1RA, thereby affecting transduction pathways associated with survival and proliferation of malignant plasma cells.10,14-16 Insulin and IGF-1 also promote myeloma cell growth and migration,14,17-19 and it has been suggested that HMW adiponectin is critical in determining insulin sensitivity.7,10 Our findings are particularly intriguing given that recent work has found host-derived adiponectin to be tumor-suppressive and a potential novel therapeutic target for MM and associated bone disease.20 Confirmation of these findings in other prospective studies is needed.
The online version of this article contains a data supplement.
The publication costs of this article were defrayed in part by page charge payment. Therefore, and solely to indicate this fact, this article is hereby marked “advertisement” in accordance with 18 USC section 1734.
Acknowledgments
The authors thank Drs Christine Berg and Philip Prorok, Division of Cancer Prevention, National Cancer Institute, the Screening Center investigators, and staff of the PLCO Cancer Screening Trial; Mr Tom Riley and staff, Information Management Services Inc; Ms Barbara O'Brien and staff, Westat Inc; Ms Jackie King and staff, BioReliance Inc; Ms Lillianne Lui, Lady Davis Institute for Medical Research, Jewish General Hospital; and the study participants for their contributions to making this study possible.
This work was supported by the Intramural Research Program of the Division of Cancer Epidemiology and Genetics and by contracts from the Division of Cancer Prevention, National Cancer Institute, National Institutes of Health, Department of Health and Human Services.
National Institutes of Health
Authorship
Contribution: J.N.H. and M.P.P. led the study design, performed statistical analysis, and prepared the manuscript; L.M.L., D.B., G.A., Q.L., and N.R. contributed to the study design and data analysis; Y.W. conducted the assays in the laboratory of M.N.P.; M.N.P. supervised this laboratory work and contributed to the interpretation of the underlying physiology; R.M.P. advised and contributed to the statistical analysis; O.L. contributed to the analysis and interpretation of results; and all authors provided intellectual input into preparation of the manuscript.
Conflict-of-interest disclosure: The authors declare no competing financial interests.
Correspondence: Jonathan N. Hofmann, Occupational and Environmental Epidemiology Branch, Division of Cancer Epidemiology and Genetics, National Cancer Institute, 6120 Executive Blvd, EPS 8109, Bethesda, MD 20892-7240; e-mail: hofmannjn@mail.nih.gov.

This feature is available to Subscribers Only
Sign In or Create an Account Close Modal