Abstract
The first affiliated hospital of Soochow University initiated a program of stem cell transplantation for hematological malignancies in 2001 and has done until December 2011 a total of 460 transplants. The EBMT presently handles a registry with information on more than 450 000 transplants including over 100 000 transplants for Acute Leukemias. In order to evaluate the outcome of patients transplanted in Suzhou and to compare it with results from the EBMT, we collected the necessary information on all patients transplanted in Suzhou and we did a pair matched analysis.
In Suzhou, the patient population studied consisted of 382 first allografts (322 adults and 60 children less than 18 years old).
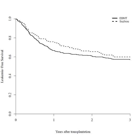
There were 223 Acute Myelocytic Leukemias (AML), 148 Acute Lymphoblastic Leukemias (ALL) and 11 biphenotypic leukemias. The median age of the patients was 32 years (4-63). By cytogenetics, 9% of the patients were good risk, 57% intermediate risk and 34% poor risk. Molecular biology was not available. 286 patients were transplanted in first remission (CR1), 63 in CR2 and 30 in more advanced disease. Donors were identical siblings in 57%, unrelated in 30%, mismatched relatives in 13%. The source of stem cells was bone marrow (BM) (harvested after stimulation of the donor by GCSF) in 40%, Peripheral Blood (PB) in 36%, BM + PB in 17% , Cord Blood in 4% and other in 3%. 97% of the patients received myeloablative conditioning (MAC) with no Total Body Irradiation (TBI) in 76%, and 3% reduced intensity conditioning (RIC). 98% of the patients engrafted. Acute Graft versus Host Disease (aGVH) grade >=2 occurred in 43%. The cumulative incidence of chronic GVHD at 2 years was 26±2%. With a median follow up of 21 months (1-143), 2 year overall survival (OS), Leukemia free survival (LFS), Relapse Incidence (RI) and non Relapse Mortality (NRM) in patients allografted in CR1 were 76± 3, 65± 3, 18± 2 and 17 ± 2% and in CR2 52± 7, 36± 7, 37± 7 and 28 ± 6%. TBI in MAC was associated with poorer results (p< 0.01 for OS,LFS,RI). By multivariate analyses, The NRM was lower with PB (p=0.04) and PB+BM (p= 0.01) compared to BM and the OS higher ( p=0.05 and 0.01 respectively). In a pair matched analysis 246 adult patients from Suzhou transplanted in CR with BM and/or PB were matched with 484 patients from the ALWP EBMT registry. Matching factors were age, diagnosis (AML and ALL), disease status (CR1 or CR2), Cytogenetics and donor origin (identical siblings, unrelated, mismatched relatives). Patients from Suzhou were transplanted more recently ; the interval from diagnosis to transplant was shorter (138 days vs 154 days, p<0.0001). TBI was less frequently used for MAC both for AML and ALL (p< 0.0001 for each) and PB + BM was used in 17% of the cases versus 0% for EBMT (p < 0.0001). By univariate analyses the results were: Suzhou versus EBMT: OS 72 ± 3 vs 61 ±2 % (p= 0.05), LFS 62 ± 3 vs 55 ± 2% (p= 0.17), RI 19 ± 3 vs 22 ± 2% (p= 0.25), NRM 20 ± 3 vs 22 ± 2% (p = 0.67), incidence of chronic GVH 30± 3 vs 48 ± 2% (p< 0.0001).
We conclude that the results from Suzhou are identical to those obtained using the EBMT database, even though some approaches (GCSF stimulated BM, BM+PB, conditioning regimen) were different.
No relevant conflicts of interest to declare.
Author notes
Asterisk with author names denotes non-ASH members.

This feature is available to Subscribers Only
Sign In or Create an Account Close Modal