Abstract
The role of body mass index (BMI) impacting clinical outcome among lymphoma patients is controversial. Two recent studies suggest that increased BMI is associated with significantly improved survival. In this study the association between BMI at study entry and failure-free survival (FFS) and overall survival (OS) was evaluated in three phase III Eastern Cooperative Oncology Group-led trials, among patients with DLBCL (E4494), follicular lymphoma (FL) (E1496) and Hodgkin's lymphoma (HL) (E2496).
537 patients with DLBCL, 730 patients with HD and 282 patients with FL were included in the analysis. BMI was calculated as weight (kilograms) divided by the square of height (meters), using data at study entry. BMI was analyzed both as continuous and categorical variables (underweight <18.5 kg/m2, normal weight: 18.5 to < 25 kg/ m2, overweight: 25 to < 30 kg/ m2, and obese :≥ 30 kg/ m2).The underweight group was excluded due to low (< 2%) prevalence. Baseline patient and clinical characteristics, treatment received and clinical outcomes were compared across BMI categories. PFS was defined as the time from study entry to relapse, progression, or death. OS was measured from study entry to death of any cause. The log-rank test and Cox regression models was used to check the association. The association between BMI and FFS/OS was also independently assessed among patients treated with rituximab. A sensitivity analysis was performed excluding patients with significant weight loss at baseline.
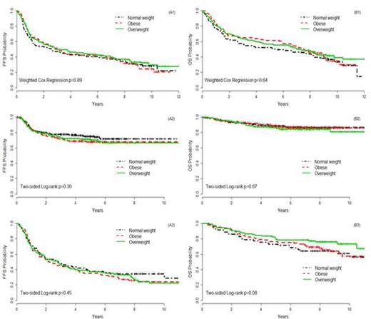
Among patients with DLBCL, HL and FL, the median age was 70, 33 and 56; 29%, 29% and 37% were obese and 38%, 27% and 37% were overweight, respectively. Age was significantly different among BMI groups in all three studies. Higher BMI groups tended to have better prognosis at study entry among DLBCL and HL patients. BMI was not associated with clinical outcome, with p-values of 0.89, 0.30 and 0.40 for FFS, and p-values of 0.64, 0.67 and 0.09 for OS, for patients with DLBCL, HL and FL, respectively (Figure 1). In multivariate analysis adjusting for other clinical factors, BMI remains an insignificant predictor for all three histologies (Table 1). When limiting to patients treated with rituximab, the association remains non-significant for both FL patients (p=0.92 for PFS, p=0.36 for OS) and DLBCL patients (Figure 2). A subset analysis of males with DLBCL treated on R-CHOP, which matched the study cohort used in a recent report (Carson et al, 2012), revealed no differences in FFS (p=0.48) or OS (p=0.58) (Figure 2). Sensitivity analysis excluding patients with weight loss at study entry resulted in similar findings.
FFS (A) and OS (B) by BMI groups, for DLBCL patients (A1, B1), for the HL patients (A2, B2) and the FL patients (A3, B3).
FFS (A) and OS (B) by BMI groups, for DLBCL patients (A1, B1), for the HL patients (A2, B2) and the FL patients (A3, B3).
OS by BMI groups, for female patients (A) and male patients (B) stratified on treatment arms, female patients (C) and male patients (D) treated with RCHOP, in the E4494 (DLBCL) trial.
OS by BMI groups, for female patients (A) and male patients (B) stratified on treatment arms, female patients (C) and male patients (D) treated with RCHOP, in the E4494 (DLBCL) trial.
Hazard ratio and 95% CIs for OS associated with BMI as continuous variable and categorical variables.
| . | DLBCL . | HL . | FL . | |||
|---|---|---|---|---|---|---|
| Hazard ration (95% CI) . | P . | Hazard ration (95% CI) . | P . | Hazard ration (95% CI) . | P . | |
| Univariate Analysis | ||||||
| BMI –continuous | 0.99 (0.97, 1.02) | 0.59 | 1.01 (0.98, 1.04) | 0.58 | 1.02 (0.98, 1.06) | 0.44 |
| BMI groups | 0.64 | 0.67 | 0.09 | |||
| Overweight vs. Normal weight | 0.85 (0.61, 1.19) | 0.35 | 1.22 (0.76, 1.97) | 0.41 | 0.57 (0.33, 0.98) | 0.04 |
| Obese vs. normal weight | 0.89 (0.64, 1.26) | 0.53 | 1.01 (0.61, 1.07) | 0.96 | 0.95 (0.58, 1.56) | 0.84 |
| Multivariable Analysis | ||||||
| BMI -continuous+ | 1.00 (0.97, 1.03) | 0.96 | 1.00 (0.97, 1.04) | 0.77 | 1.03 (0.98, 1.08) | 0.26 |
| BMI groups | 0.80 | 0.32 | ||||
| Overweight vs. Normal weight | 0.89 (0.63, 1.26) | 0.52 | 1.09 (0.66, 1.78) | 0.74 | 0.71 (0.37, 1.33) | 0.28 |
| Obese vs. normal weight | 1.00 (0.69, 1.41) | 0.96 | 0.92 (0.55, 1.53) | 0.74 | 1.37 (0.74, 2.54) | 0.31 |
| List of factors adjusted | Age, Sex, IPI, RCHOP/CHOP, B-symptom, Sex | Age, Sex, ABVD/Stanford V, IPS, B-symptom | Age, Sex, B-symptom, FLIPI, maintenance treatment | |||
| . | DLBCL . | HL . | FL . | |||
|---|---|---|---|---|---|---|
| Hazard ration (95% CI) . | P . | Hazard ration (95% CI) . | P . | Hazard ration (95% CI) . | P . | |
| Univariate Analysis | ||||||
| BMI –continuous | 0.99 (0.97, 1.02) | 0.59 | 1.01 (0.98, 1.04) | 0.58 | 1.02 (0.98, 1.06) | 0.44 |
| BMI groups | 0.64 | 0.67 | 0.09 | |||
| Overweight vs. Normal weight | 0.85 (0.61, 1.19) | 0.35 | 1.22 (0.76, 1.97) | 0.41 | 0.57 (0.33, 0.98) | 0.04 |
| Obese vs. normal weight | 0.89 (0.64, 1.26) | 0.53 | 1.01 (0.61, 1.07) | 0.96 | 0.95 (0.58, 1.56) | 0.84 |
| Multivariable Analysis | ||||||
| BMI -continuous+ | 1.00 (0.97, 1.03) | 0.96 | 1.00 (0.97, 1.04) | 0.77 | 1.03 (0.98, 1.08) | 0.26 |
| BMI groups | 0.80 | 0.32 | ||||
| Overweight vs. Normal weight | 0.89 (0.63, 1.26) | 0.52 | 1.09 (0.66, 1.78) | 0.74 | 0.71 (0.37, 1.33) | 0.28 |
| Obese vs. normal weight | 1.00 (0.69, 1.41) | 0.96 | 0.92 (0.55, 1.53) | 0.74 | 1.37 (0.74, 2.54) | 0.31 |
| List of factors adjusted | Age, Sex, IPI, RCHOP/CHOP, B-symptom, Sex | Age, Sex, ABVD/Stanford V, IPS, B-symptom | Age, Sex, B-symptom, FLIPI, maintenance treatment | |||
BMI was not significantly associated with clinical outcomes among patients with DLBCL, HL or FL, in three prospective phase III clinical trials. The findings contradict some previous reports of similar investigations. Further work is required to understand the observed discrepancies.
Horning:Genentech: Employment.
Author notes
Asterisk with author names denotes non-ASH members.


This feature is available to Subscribers Only
Sign In or Create an Account Close Modal