The novel anticoagulants dabigatran, rivaroxaban and apixaban have entered the clinical arena for treatment of atrial fibrillation and thromboebolism.
Although these agents were designed not to require monitoring of the anticoagulation effect, there are certain clinical situations where such measurement would be useful including bleeding situations, trauma, and thromboembolic event while on treatment with the anticoagulant agent. At this point monitoring of these agents is under investigation and not fully understood and standardized. Thrombelastography (TEG) evaluates the viscoelastic properties of blood during coagulation. The clinical application of TEG in monitoring novel anticoagulant treatment is not yet well defined.
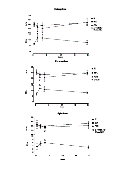
The purpose of this in vivo study was to systematically evaluate the anticoagulant effect of the novel agents dabigatran, rivaroxaban and apixaban with TEG.
Healthy male volunteers (n = 8) were given oral dabigatran 150 mg once, or rivaroxaban 20 mg, or apixaban 10 mg once. TEG parameters Reaction time R, angle of Alfa and Maximum Amplitude (MA) were measured at times 0, 2, 4, and 24 hours after intake of the anticoagulant agent. We applied different TEG assays including, Koalin, Funtional Fibrinogen, Rapid TEG and Platelet mapping. The measurement of each parameter was compared to baseline measurement at time 0. Repeated measures ANOVA and Dunnett's multiple Comparison test was performed.
All following results are with the Koalin assay. The other TEG assays did not demonstrate clinically relevant responsiveness after the intake of anticoagulant.
For dabigatran, Reaction time R was increased by 73% as compared to baseline (p < 0.008) by 2 hours after intake. Alfa was decreased by 8% at 2 hours (p < 0.008). see Figure 1. MA was not significantly altered.
For rivaroxaban, R was increased by 75% as compared to baseline at 2 hours after intake (p = 0.03). Alfa was decreased by 14% and MA was decreased by 6% at 2 hours after intake (p = 0.03 for both).
For apixaban R was increased by 18% as compared to baseline (p < 0.05) at 4 hours after intake. The MA was decreased by 5% (p= 0.016) and alfa was not significantly altered.
We have for the first time demonstrated that Thromelastograph has the potential of monitoring the novel anticogulant's effect on the hemostatis system. This technology is relatively easy to use on whole blood without need for specialized laboratory expertise. The reaction time R with Koalin assay is the most suitable TEG parameters for evaluation of the antithrombotic effect of the novel anticoagulant. The reaction time R is most responsive to the effect of rivaroxaban and least responsive to the effect of apixaban. This finding demonstrates different effects on the hemostatic system by 2 agents in the class of factor Xa inhibitors. Efforts to find the appropriate TEG assay for optimization of R responsiveness to apixaban will likely improve the clinical usefulness of this technology. Larger clinical trials are needed to correlate R with specific agent drug level and clinical outcomes.
No relevant conflicts of interest to declare.

This feature is available to Subscribers Only
Sign In or Create an Account Close Modal