Abstract

Background: Myeloablative hematopoietic cell transplantation (HCT) provides a cure for children with hemoglobinopathies, but transplant related early and late morbidity remains a challenge. Toxicities associated with myeloablative chemotherapy include early complications such as mucositis, hemorrhagic cystitis, seizures, and hepatic injury. Late effects such as infertility and compromised linear growth impair long-term quality of life, often decreasing enthusiasm for the procedure. Reduced intensity preparative regimens are especially attractive in children with non-malignant disorders to mitigate these toxicities but have been associated with increased risk of graft rejection. The primary objective of this study was to determine the toxicity and efficacy of a non-myeloablative preparative regimen using alemtuzumab, fludarabine, and melphalan followed by HCT from HLA matched related donors (MRD) in children with hemoglobinopathies.
Methods: Following institutional review board approval, and parent and/or patient consent, participants were enrolled at 18 centers. Children < 21 years of age with severe sickle cell disease (SCD) manifestations, or transfusion dependent (> 8 red blood cell transfusions per year) thalassemia with a MRD and a performance status > 40 were eligible for inclusion. The preparative regimen included alemtuzumab (total dose 48 mg) IV (between days –22 and –19), fludarabine (30 mg/m2/day) (days –8 to –4) and melphalan (140 mg/m2) on day -3. Graft versus host disease (GVHD) prophylaxis included a calcineurin inhibitor (tapered after day 100, and methotrexate (7.5 mg/m2 on days 1, 3 and 6) or mycophenolate mofetil. Five patients also received methylprednisone (1 mg/kg/day) between days 1 and 28; this practice was discontinued in 2007.
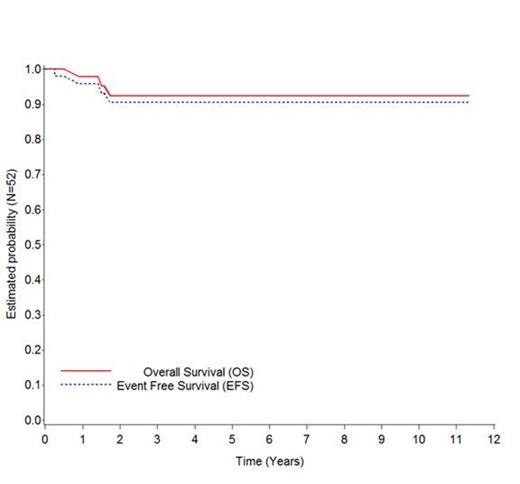
Results: A total of 52 children (43 with SCD and 9 with thalassemia), median age 11 years (range, 10m - 20y) underwent HCT between March 2003 and July 2014. Of these, 46 received bone marrow, 5 received marrow and cord blood (CB), and 1 received CB alone. Median follow up was 35.5 months (range, 3 – 136). Forty-nine children were alive at last follow up (Figure 1); 48 were symptom-free; one CB recipient had disease recurrence following graft rejection and successfully underwent a 2nd HCT. No hepatic veno-occlusive disease was noted. Three deaths 6, 11 and 21 months post HCT were from GVHD related causes [bronchiolitis obliterans (n=1); infection with GVHD (n=2)]. The cumulative incidence of graft failure and transplant related mortality was 1.9% and 5.7% respectively. The mean time to engraftment of neutrophils (ANC >500/cu mm) and platelets (>50,000/cu mm) was 13.0 (range 5-21) and 25.9 (range 8-120) days respectively. Three patients had neurologic toxicity (seizures/PRES) post HCT. At the time of last follow up, 35 patients (67%) were complete donor chimera (>90% donor) and 16 (31%) were mixed chimera (28-89% donor). Acute GVHD (grade 1-3) was noted in 30.8%. Four had grade I, 6 had grade II, and 6 had grade III GVHD. No patient developed grade IV aGVHD. Chronic GVHD was noted in 13%. Of 43 patients that were alive without disease and >6 months post HSCT, 38 had successfully discontinued all immune suppression and maintained donor chimerism post withdrawal. Immune reconstitution was robust by the end of the first year post transplant; infectious complications (23 of 30 CMV+ recipients had reactivation) were noted primarily in the first 3 months post HSCT.
Conclusions: Children with hemoglobinopathies undergoing MRD HCT tolerated this non-myeloablative preparative regimen well, with minimal early toxicities. The event-free survival rate was comparable to those achieved with myeloablative regimens. Withdrawing immunosuppression was not associated with graft loss or recurrent GVHD. GVHD complications resulted in a low mortality rate. Alternative GVHD prophylaxis may further improve event-free survival. No gonadal toxicity (determined by hormone levels) has been identified to date in 15 HCT recipients of pubertal age (>13 years). Follow up however is early and in progress to determine long-term toxicities. These results support consideration of reduced intensity conditioning regimens for HCT in children with hemoglobinopathies as an alternative to standard myeloablative regimens.
Overall/Event-free survival following non-myeloablative conditioning andMRD transplants for hemoglobinopathy
Overall/Event-free survival following non-myeloablative conditioning andMRD transplants for hemoglobinopathy
No relevant conflicts of interest to declare.
Author notes
Asterisk with author names denotes non-ASH members.

This icon denotes a clinically relevant abstract

This feature is available to Subscribers Only
Sign In or Create an Account Close Modal