Abstract
Background: Pre-existing thrombocytopenia in MDS/AML is worsened during the initial cycles of azacitidine (AZA) therapy, resulting in bleeding risk and possible platelet transfusion. Eltrombopag (EPG) is an oral TPO-receptor agonist. In vitro, it has anti-proliferative effects on AML blasts.
Aim: To assess the safety of escalated doses of EPG in patients undergoing AZA for MDS/AML
Method An investigator-initiated phase-II, single arm, study of EPG with AZA. Inclusion: relapsed or de-novo MDS/CMML/AML (blasts 5-30%); or symptomatic cytopenia; or blasts 31-50% if >/=65 years or previously-treated disease; and platelets
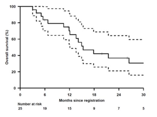
Result Of 25 patients, 10 had prior therapy, which was chemo in 7; of these 6 had blasts >/=10%, 2 with blasts 20% or above. Of the 15 de-novo patients, 7 had blasts >/=20% (AML) and a further 2 had blasts between 10 and 19%. The median platelet count was 38x10^9/L (range 8-127). A median 11(2-24) cycles AZA and 6 cycles of EPG were delivered. One patient developed GrII EPG-related LFT abnormalities (resolved). Grade 3 fatigue was attributed to the combination in one patient. Thrombocytosis (>450 x109/L) resulting in EPG cessation occurred in 6 (at 50, 50, 150 and three at 200mg), without complications. 10 patients experienced reversible skin yellowing. Response/improvement was seen in 18 (72%): 7CR, 3CRm, 5HI-P,1 HI-N,2 with >50% blast reduction from >20% (8%). 5 patients had progression at first response. There were 19 events in total (17 progressions, 2 with worsening haematology). Median PFS was 12.0 months (95% CI 5.6 to 24.3 months). Median OS was 15.3 months (95% CI 11.9 to 31.7 months).
Platelet improvement was seen in 54% (13/24) of patients with baseline platelets <100 at median (range) at 46d (7-107) following commencement of AZA. Only one patient (4%) had an improvement in platelets following the monotherapy phase.
Conclusion Eltrombopag could be safely delivered at these doses. A phase III international study has commenced to better define the role of this combination as supportive care for patients undergoing treatment with azacitidine.
Characteristics and best responses observed.
| MDS/AML Characteristics . | Best Response . |
|---|---|
| MDS <20% Blasts, De Novo (N=7) | 5CR, 1SD, 1 HI-N |
| AML >/=20%, De Novo (N=8) | 1CR, 1PR, 3 Hi-P, 1SD, 2 PD |
| Prior therapy for MDS/AML Blasts <20% (N=7) | 1CR, 3CRm, 1SD, 1PD, 1Hi-P |
| Prior therapy for MDS/AML Blasts >/=20% (N=3) | 2PD, 1 Hi-P |
| MDS/AML Characteristics . | Best Response . |
|---|---|
| MDS <20% Blasts, De Novo (N=7) | 5CR, 1SD, 1 HI-N |
| AML >/=20%, De Novo (N=8) | 1CR, 1PR, 3 Hi-P, 1SD, 2 PD |
| Prior therapy for MDS/AML Blasts <20% (N=7) | 1CR, 3CRm, 1SD, 1PD, 1Hi-P |
| Prior therapy for MDS/AML Blasts >/=20% (N=3) | 2PD, 1 Hi-P |
Dickinson:GSK: Consultancy; Celgene: Honoraria. Off Label Use: Eltrombopag for MDS. Sardjono:GSK: Employment. Seymour:Celgene: Consultancy, Honoraria, Speakers Bureau. Kenealy:Celgene: Honoraria, Research Funding. Prince:Celgene: Consultancy, Honoraria, Research Funding.
Author notes
Asterisk with author names denotes non-ASH members.

This feature is available to Subscribers Only
Sign In or Create an Account Close Modal