Abstract
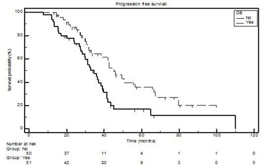
Introduction - Oligoclonal bands (OB) are monoclonal proteins distinct from those originally identified in the multiple myeloma (MM) diagnosis. Some authors consider that appearance of these bands confers a better prognosis and may be linked to immune reconstitution. There is no data of the exact prevalence of OB emergence in patients with very good partial response (VGPR) or better after different treatment schedules. Objectives - To determine the prevalence of OB in MM patients treated with or without high-dose chemotherapy that obtained at least VGPR and its prognostic value. Methods- This is a retrospective and prospective cohort study. Data were collected from records of patients that achieved at least VGPR to identify the OB emergence. Subsequently, new sample collections from the positive patients were made in order to monitor the progress and duration of the maintenance of these bands. Results-Median follow-up was 42m and 101 patients were included. Median age was 58y (29-87) and 55% were male. IgG was the most frequent component (60%). Durie-Salmon IIIA/B was identified in 92% of the population; ISS was 33% in stage I, 30% in stage II, and 31% in stage III. The prevalence of OB identified by SPE and IF was 50.5% (51 cases), with a higher prevalence in those who underwent transplantation and those who achieved complete response (p=0.00139 and p=0.0368, respectively). Progression free survival (PFS) was longer in the OB group (45.4m x 34.7m p = 0.0075). Conclusion - The OB prevalence in this population was 50.5% and oligoclonality resulted in a longer PFS.
No relevant conflicts of interest to declare.
Author notes
Asterisk with author names denotes non-ASH members.

This feature is available to Subscribers Only
Sign In or Create an Account Close Modal