Abstract
Introduction
Deep molecular response (DMR) are now highly desirable goals in the treatment of CP-CML, especially in the front-line setting, because it can lead to a definitive treatment-free remission (TFR). However, such a goal is difficult to attain and does not concern the majority of patients (pts), but currently the precise number of pts able to access to TFR is unknown.
Aims
We aim to determine the number or newly diagnosed CP-CML pts reaching DMR, stable DMR, and access to TFR, on Imatinib (IM, Glivec®) first-line.
Methods
We retrospectively analyzed in an observational study, a cohort of newly diagnosed CP-CML pts treated with IM first-line 400 mg daily alone in our 3 reference centers between 2000→2018. All pts were followed according to the ELN recommendations 2006, 2010 and 2013. Clinical data were extracted from medical files, and responses (hematologic, cytogenetic, molecular) were analysed according to standard methods. Molecular results were standardised according to the ELN/Eutos programs since 2003, and were all expressed as BCR-ABLIS in %. DMR have been defined according to the ELN (NCP. Cross et al., Leukemia 2015). Stability of DMR has been defined as a stable if ≥2 years at least on 4 datapoints. TFR has been proposed to pts presenting the only current recommended criteria: MR4.5 ≥2 years at least on 4 datapoints [(Rea et al., Cancer 2018)], in the 3 centers involved, within clinical trials, pioneered in our country, or now as a clinical routine recommendation. Loss of MMR was the trigger for TKI resumption after IM cessation for TFR. Overall survival (OS), progression-free survival (PFS), failure-free survival (FFS, defined as progression to advanced phases death, loss of CHR, CCyR, or MMR, discontinuation of IM for toxicity, primary cytogenetic resistance) were analysed since IM initiation in intention-to-treat.
Results
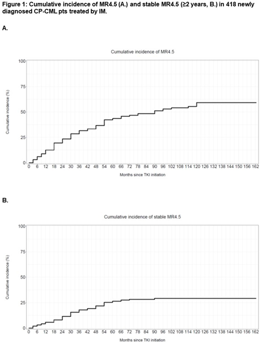
Four hundred and eighteen pts have been included in this study, with a median age of 60.7 (48-70) years at diagnosis, with 57% males and 43% females. Sokal score (n=401) was low in 32%, intermediate in 51% and high in 17%. ACA were present at diagnosis in 5.5% of the pts (NA in 1.44%). Major BCR transcripts were found in 98% of pts, and atypical transcripts in 1.9%. CHR was reached in a median of 1 (0.85 to 1.64) month of IM, <10% BCR-ABL transcript (IS) level at 3 months was found in 81% of the pts, and only 9.5% of pts were in MMR at 3 months. The median follow-up after IM initiation is 77.4 (0.9-231.5) months, 125 (30%) pts have switched to TKI2 for IM resistance or intolerance. Overall, 252 (60%) pts reached MR4, 127 (30%) stable MR4, 170 (41%) MR4.5, and 82 (20%) stable MR4.5. The median time on TKI necessary for obtaining stable MR4.5 is 15.6 (5.9-28) months. The cumulative incidence of MR4.5 at 12, 24, 36, 48, 60, 72, 84, 96, 108 and 120 months were 12.5%, 23.4%, 31.6%, 36.72%, 43.55%, 48.7%, 48.3%, 52.98%, 54.03%, 59.18% respectively (Figure 1A.). The cumulative incidence of stable MR4.5 at 12, 24, 36, 48, 60, 72, 84, 96, 108 and 120 months were 5.76%, 11.5%, 17.83%, 21.82%, 26.35%, 28.13%, 28.13%, 29.13%, 29.13%, 29.13% respectively (See figure 1B.).
Seventeen (13%) and 10 (12%) pts have switched IM→TKI2 before obtaining a stable MR4 and a stable MR4.5 respectively.
Overall, 41 (10%) pts have reached the TFR criteria and stopped their TKI and 23 (56%) never lost their MMR after cessation, with a median follow-up of 41.7 (9.4-121.8) months.
In an univariate analysis, only gender (female vs male, 39% vs 61% for no MR4.5 and 53.66% vs 46.34% for stable MR4.5, p=0.028, Pearson's CHI2 test), and MMR at 3 months (yes vs no, 3.74% vs 96.26% for no MR4.5 and 17.46% vs 82.54% for stable MR4.5, p<0.001, Pearson's CHI2 test) were identified variables impacting on stable MR4.5. A multivariate analysis could not be performed on so few discriminant factors identified in the univariate analysis.
Conclusions
Only 42 out 418 (10%) of the newly diagnosed CP-CML pts on IM first-line in our study reach the TFR criteria we recommended, and only 22 over 418 pts (5%)will finally definitively stop any TKI durably within the limits of this retrospective observational study. Urgent strategies in order to increase the access to definitive TFR are needed.
Nicolini:Sun Pharma Ltd: Consultancy; Incyte Biosciences: Consultancy, Speakers Bureau; BMS: Consultancy, Speakers Bureau. Cony-Makhoul:BMS: Consultancy, Speakers Bureau; Pfizer: Consultancy; Incyte: Other: Travels for attending to Congress; Novartis: Consultancy, Other: Writing support, Travels for attending to Congress. Dulucq:BMS: Consultancy; Incyte: Consultancy. Hayette:Incyte: Consultancy. Mahon:BMS: Speakers Bureau; Novartis: Speakers Bureau; Pfizer: Speakers Bureau; Incyte: Speakers Bureau. Etienne:Novartis: Membership on an entity's Board of Directors or advisory committees, Speakers Bureau; BMS: Membership on an entity's Board of Directors or advisory committees, Other: Travel, Speakers Bureau; Pfizer: Membership on an entity's Board of Directors or advisory committees, Other: Travel, Speakers Bureau; Incyte: Honoraria, Patents & Royalties, Speakers Bureau.
Author notes
Asterisk with author names denotes non-ASH members.

This feature is available to Subscribers Only
Sign In or Create an Account Close Modal