Background
Keeping the balance between long-term efficacy and toxicity of treatment in patients with chronic lymphocytic leukemia (CLL) is of utmost importance. Ibrutinib impacts BCR/adhesion signaling resulting in efficient lymph node (LN) responses and prolonged disease control despite a lack of deep remissions. Venetoclax directly kills CLL cells by antagonizing the pro-survival Bcl-2 protein leading to deep remissions (undetectable minimal residual disease (uMRD)) in the blood and bone marrow (BM) but incomplete LN clearance. Synergy between these agents is shown in our relapsed/refractory CLL HOVON 141 study with complete remission (CR) rates of 69% and blood uMRD rate of 55% after 12 full dose combination cycles with acceptable toxicity (abstract submitted; Niemann et al.). Extrapolating these data, we hypothesize that a fixed duration of a combination of venetoclax and ibrutinib will result in a substantial proportion of patients in CR and with undetectable MRD, who will have very good outcome after treatment cessation. Yet, not all patients will achieve this level of disease clearance and therefore, intensification approaches are of interest.
A prior study has shown that addition of the CD20 antibody obinutuzumab lead to considerably higher uMRD rates when added after 1 year of prior ibrutinib monotherapy than when given simultaneously (BM uMRD rate of 50% versus 6% respectively; Hillmen et al. 2018). This suggests an opportunity for treatment intensification in the subset of patients who do not respond optimally to initial I+V combination treatment.
In CLL, 3 compartments exist with putative differential sensitivity for targeted agents. Although the predictive role of residual leukemia cells in blood and bone marrow, as measured by MRD is increasingly appreciated, the biological and prognostic relevance of residual LN, which is often observed in venetoclax treated patients, is uncertain. 18F-fluorodeoxyglucose (FDG) PET-CT is widely used for response evaluation of lymphoma, but has not proven its value in CLL. (Conte et al. 2014) However, radiomics with computational processing of the PET/CT may provide biologic and clinical relevant information on the characteristics of residual LN and warrants exploration for guidance of treatment intensification as an MRD proxy for spleen and LN. (Lee et al. 2018)
Objectives
To evaluate the efficacy of 6 cycles ibrutinib+obinutuzumab in converting patients who are not in CR or who have detectable MRD after 12 cycles of ibrutinib+venetoclax to a CR with uMRD (BM). Moreover, PET/CT with radiomics is employed to assess clearance of CLL from LN and spleen.
Primary endpoint
CR with uMRD (BM) 3 months after end of intensification with ibrutinib+obinutuzumab in patients who are not in CR and/or uMRD on combination ibrutinib/venetoclax.
Design
The trial is designed as a single arm phase 2 study for treatment naïve CLL patients requiring treatment according to IWCLL criteria. 85 patients will be included.
Study Treatment
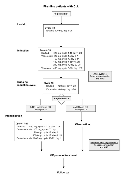
Patients will receive 3 lead-in cycles of ibrutinib 420 mg/day. Here-after, patients will continue with 13 induction cycles (including one bridging cycle) combining ibrutinib 420 mg/day and venetoclax 400 mg/day including a ramp up of 5-weeks starting in cycle 4 day 1. Patients with measurable disease at evaluation after 15 cycles will continue with 6 intensification cycles of ibrutinib/obinutuzumab. day 1, 2, 8, 15 for the first cycle and with obinutuzumab day 1 for the following 5 cycles in combination with ibrutinib (Figure 1).
Major inclusion criteria
Treatment naïve CLL or SLL patients requiring treatment by iwCLL
WHO performance status 0-3
Adequate BM function defined as:
Hb > 8 g/dL
Neutrophil count ≥75 x 109/L
Platelet count ≥ 50,000 /μL
creatinine clearance ≥ 30ml/min
Major exclusion criteria
Active fungal, bacterial, and/or viral infection that requires systemic therapy;
Patients requiring treatment with strong cytochrome P450 (CYP) 3A inhibitor or with vitamin K antagonists
Statistical methods
For the primary endpoint analyses, all patients registered and eligible for intensification treatment with ibrutinib+obinutuzumab (not in complete remission and/or uMRD) will be included.
Perspective
This trial helps in personalizing CLL treatment by selecting sequential time limited therapies guided by MRD.
Levin:Abbvie: Membership on an entity's Board of Directors or advisory committees, Other: Educational Grant; Roche: Membership on an entity's Board of Directors or advisory committees, Other: Educational Grant; Janssen: Membership on an entity's Board of Directors or advisory committees, Other: Educational Grant; Amgen: Membership on an entity's Board of Directors or advisory committees, Other: Educational grant ; Takeda: Membership on an entity's Board of Directors or advisory committees, Other: Educational grant . Niemann:Janssen: Consultancy, Other: Travel grant, Research Funding; Roche: Other: Travel grant; CSL Behring: Consultancy; Acerta: Consultancy, Research Funding; Sunesis: Consultancy; Astra Zeneca: Consultancy, Research Funding; Novo Nordisk Foundation: Research Funding; Gilead: Other: Travel grant; Abbvie: Consultancy, Other: Travel grant, Research Funding. Kater:Abbvie: Consultancy, Honoraria, Membership on an entity's Board of Directors or advisory committees, Research Funding; Roche/Genentech: Consultancy, Membership on an entity's Board of Directors or advisory committees, Research Funding; Celgene: Research Funding; Janssen: Consultancy, Membership on an entity's Board of Directors or advisory committees, Research Funding; Acerta: Membership on an entity's Board of Directors or advisory committees, Research Funding.
Combination of ibrutinib and venetoclax Combination of ibrutinib and obinutuzumab
Author notes
Asterisk with author names denotes non-ASH members.

This feature is available to Subscribers Only
Sign In or Create an Account Close Modal