Introduction
Recruiting blood donors remains a challenging process to ensure sufficient blood product supplies. There were several interventions implemented in order to promote the retention of first-time donors, including short messaging service (SMS). However, the efficacy of SMS for promoting the retention of blood donation has never been demonstrated in a randomized controlled trial. Here, we report the interim analysis of the TEXT study.
Methods
This is a single center, randomized- controlled trial. We enrolled participants 18 years of age or older who were first-time blood donors and who were able to read and understand text messages. Participants were excluded if the purposes of blood donation were as follows, autologous donation, apheresis or blood letting. Participants were also excluded if they had no cell phone number or lived temporarily in the area. Participants were randomized within 24 hours followed the blood donation in a 1:1 ratio (text group vs control group). Only participants who were allocated in the "text group'' would receive a computer-generated text message once his/her blood product was dispatched from the transfusion service. The content of text message was "We would like to inform you that your blood has been used for patients on DD.MM.YYYY. Because of your blood donation, patients' lives will be saved." The primary outcome of the study was the rate of returning for the second donation at 6 months. Odds ratio (OR) and 95% confidence interval (CI) for retention rate was calculated based-on a modified intention-to-treat analysis.
Results
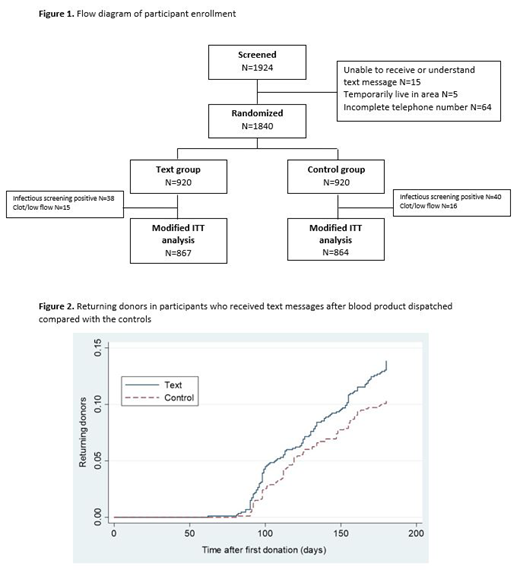
In a modified intention-to-treat analysis, there were 867 participants allocated to the text group and 864 participants to the control group (Figure 1). Mean age was 26.1 (standard deviation, SD 9.2) and 26.2 (SD 9.4) years, respectively. The primary outcome occurred in 120 of 867 (13.8%) in the text group and 89 of 864 (10.3%) in the control group, OR 1.40 (95%CI 1.04 to 1.87, P-value=0.02). Number needed to treat was 29. Figure 2 demonstrates the Kaplan-Meier curves of participants who returned for the second blood donation comparing between text and control groups. The median time for returning was 119 days (interquartile range, 95.5-150.5) in text group and 119 days (interquartile range, 98-148) in control group. Subgroup analysis does not show significant interactions between participants' characteristics and outcome.
Conclusion
Among first-time blood donors, text messaging after blood product being dispatched is a simple, inexpensive and effective intervention to increase the retention rate for second donation at 6 months duration.
No relevant conflicts of interest to declare.
Author notes
Asterisk with author names denotes non-ASH members.

This feature is available to Subscribers Only
Sign In or Create an Account Close Modal