Introduction: Myeloproliferative neoplasm (MPN) patients (pts) are known to have a higher incidence of second malignacies (SMs), including both solid tumors and hematological malignancies, when compared to the general population. The etiology of SM and its connection to MPN is not entirely clear, but may be due to the presence of a shared genetic predisposition, the natural progression of MPN (as it relates to myeloid malignacies), and/or an unintended consequence of cytoreductive treatment. Hydroxyurea (HU) is a guideline-recommended cytoreductive therapy for high-risk MPN patients. This population-based study aimed to evaluate the effect of HU on the development of SM among patients with MPNs.
Methods: We conducted a retrospective cohort study of older adults (age 66-99 years) who were diagnosed with MPN including polycythemia vera (PV), essential thrombocythemia (ET) and primary or post-PV/ET myelofibrosis (MF) (International Classification of Diseases for Oncology, 3rd edition, code 9950, 9961, 9962) in 2007-2015 and included in the Surveillance, Epidemiology, and End Results (SEER)-Medicare linked database. Patients were required to have continuous enrollment in Medicare Parts A and B and not enrolled in health maintenance organizations from one year before MPN diagnosis through end of follow-up (death, 12/31/2016 or change of insurance status, whichever came first). To capture patients' treatment with HU, we further restricted patients to have continuous Part D coverage from diagnosis to the end of follow up. SMs were ascertained using SEER data. Patients treated with ruxolitinib, busulfan or interferons before the occurrence of SM or end of follow-up, whichever came first, were excluded. We categorized SM as solid or hematological (including non-myeloid and myeloid) malignancy (HM). The cumulative incidence function of SM was computed via a competing risk model. Death, changing of insurance status and development of a SM other than cancer of interest were considered competing events. Gray's test was utilized to assess difference across strata. Multivariable competing risks regression models were performed to assess the impact of HU on the development of SM. Age at MPN diagnosis, sex, race, Elixhauser comorbidity score, marital status, zip code level median household income, eligibility for dual insurance, and SEER region were variables adjusted for in the multivariable model. All statistical tests were two-sided and performed with SAS Version 9.4.
Results: The study followed 3,122 patients (1,212 PV, 1,509 ET and 401 MF) up to 9.5 (median 2.58) years. The median follow-up was 2.91 years (range 0.02-9.50) and 1.76 years (range 0.01-9.50) for HU users and non-users, respectively. The median age at MPN diagnosis was 77 (range 66-99) years. Compared with those who did not receive HU, HU users were more likely to be female, older, have fewer comorbidities, and live in higher income areas.
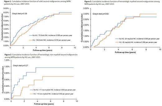
A total of 264 patients developed a SM, including 179 solid, 21 non-myeloid, and 64 myeloid HMs. The cumulative incidence of SM was 11.3% (95% confidence interval [CI] 9.6%-13.2%) and 11.7% (95% CI 9.5%-14.2%) in 1986 (63.6%) HU users and 1,136 (36.4%) non-users, respectively (Gray's test, p=0.23). As shown in Figures 1-3, among HU users, the cumulative incidence was 7.6% (95% CI 6.2%-9.2%), 0.7% (95% CI 0.4-1.2), and 3.0% (95% CI 2.1-4.1%) for solid malignancies, non-myeloid and myeloid HMs, respectively. Among non-HU users, the cumulative incidence for solid malignancies, non-myeloid and myeloid HMs was 8.0% (95% CI 6.1%-10.2%), 1.0% (95% CI 0.5%-1.7%), and 2.7% (95% CI 1.8%-4.0%), respectively. The Gray's test showed no statistically significant differences in the three types of SMs between HU users and non-users (all p > 0.25; Figures 1-3).
In the multivariable competing risk model, after adjusting for socio-demographic variables and comorbidities, the risk of solid SM (hazard ratio [HR]=0.85, 95% CI 0.63-1.15, p=0.29), non-myeloid (HR=0.74, 95% CI 0.31-1.78, p=0.49) and myeloid HM (HR=0.93, 95% CI 0.53-1.64, p=0.81) did not differ by HU status.
Conclusions: In this large population-based study of older MPN patients, incidence of solid and hematologic SM was similar among HU users when compared to non-users, reaffirming current cytoreductive management guideline recommendations.
Wang:Celgene Corporation: Research Funding. Huntington:Genentech: Consultancy; Pharmacyclics: Honoraria; DTRM Biopharm: Research Funding; Bayer: Consultancy, Honoraria; Celgene: Consultancy, Research Funding; AbbVie: Consultancy. Zeidan:BeyondSpring: Honoraria; Seattle Genetics: Honoraria; Medimmune/AstraZeneca: Research Funding; Boehringer-Ingelheim: Consultancy, Honoraria, Research Funding; Trovagene: Consultancy, Honoraria, Research Funding; Otsuka: Consultancy, Honoraria, Research Funding; Pfizer: Consultancy, Honoraria, Research Funding; Novartis: Honoraria; Astellas: Honoraria; Agios: Honoraria; Daiichi Sankyo: Honoraria; Incyte: Consultancy, Honoraria, Research Funding; Takeda: Consultancy, Honoraria, Research Funding; ADC Therapeutics: Research Funding; Jazz: Honoraria; Ariad: Honoraria; Cardinal Health: Honoraria; Acceleron Pharma: Consultancy, Honoraria, Research Funding; Celgene Corporation: Consultancy, Honoraria, Research Funding; Abbvie: Consultancy, Honoraria, Research Funding. Gore:Celgene Corporation: Consultancy, Research Funding. Davidoff:Celgene Corporation: Consultancy, Research Funding. Ma:Celgene Corporation: Research Funding. Podoltsev:Celgene: Other: Grant funding, Research Funding; Genentech: Research Funding; Arog Pharmaceuticals: Research Funding; Alexion: Consultancy, Honoraria, Membership on an entity's Board of Directors or advisory committees; Pfizer: Consultancy, Honoraria, Membership on an entity's Board of Directors or advisory committees; Agios Pharmaceuticals: Consultancy, Honoraria, Membership on an entity's Board of Directors or advisory committees; Blueprint Medicines: Consultancy, Honoraria, Membership on an entity's Board of Directors or advisory committees; Incyte: Consultancy, Honoraria, Membership on an entity's Board of Directors or advisory committees; Novartis: Consultancy, Honoraria, Membership on an entity's Board of Directors or advisory committees; Boehringer Ingelheim: Research Funding; Astellas Pharma: Research Funding; Daiichi Sankyo: Research Funding; Sunesis Pharmaceuticals: Research Funding; Samus Therapeutics: Research Funding; Kartos Therapeutics: Research Funding; Jazz Pharmaceuticals: Research Funding; Pfizer: Research Funding; Astex Pharmaceuticals: Research Funding; CTI Biopharma: Research Funding; AI Therapeutics: Research Funding.
Author notes
Asterisk with author names denotes non-ASH members.

This feature is available to Subscribers Only
Sign In or Create an Account Close Modal