Mantle cell lymphoma (MCL) is an incurable B-cell lymphoma characterized by the chromosomal translocation (11;14)(q13;q32), resulting in aberrant expression of cyclin D1 and dysregulated cell cycle progression. In a phase I clinical trial in patients with previously treated MCL, the combination of the cyclin-dependent kinase 4 (CDK4)/CDK6 inhibitor palbociclib and the Bruton tyrosine kinase inhibitor ibrutinib was safe and active. We hypothesized that clinical responses are in part attributed to dynamic changes in the immune landscape and tumor-immune interaction, given accumulating evidence that inhibition of CDK4/6 augments anti-tumor immunity.
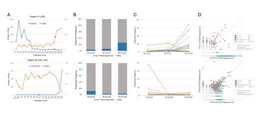
In a patient (Pt 17) treated with palbociclib and ibrutinib for over 3 years and experiencing a complete response (CR), there was an over 4-fold increase in circulating CD3+ T cells over time. For the first 19 treatment cycles, the absolute CD3+ T cell count was 862 ± 322 compared to 4,027 ± 253 between cycles 31 and 40, with no clinical suspicion of infection for at least 3 months prior. To investigate the T-cell receptor (TCR) repertoire over the course of treatment, high-throughput sequencing of the TCRB CDR3 region was performed, revealing a more oligoclonal repertoire in the peripheral blood over time. The cumulative frequency of the top 10 TCR clones during cycles 3, 7, and 31 were 3.9%, 6.5%, and 25.8%, respectively. These clones were mapped to single-cell RNA sequencing (scRNA-seq) data and determined to be CD8+ effector and central memory T cells. Furthermore, there appears to not only be increased numbers of CD4+ and CD8+ T cells but also enhanced activation as evidenced by scRNA-seq expression of CD69. These findings suggest a predominant cytotoxic T-cell response, which is consistent with recent preclinical studies using CDK4/6 inhibitors.
A similar, less dramatic, pattern of T cell expansion was observed in three additional responding patients, including one with non-leukemic MCL (Pt 25) who achieved a CR with subsequent progression of disease at cycle 25. This patient had a 2-fold increase in the absolute number of circulating CD3+ T cells with a baseline count of 442 ± 168 during cycles 1 to 2 compared to 915 ± 104 between cycles 4 and 23, prior to a substantial decrease to 452 during cycle 24 and further to 114 during cycle 25. There was no evidence of clonal T cell expansion in the peripheral blood samples from cycles 4, 20, and 24. Whether this is related to a lack of circulating tumor cells remains to be determined. Interestingly, scRNA-seq analysis revealed a remarkable increase in PDCD1 (encoding PD-1) expression upon disease progression (abstract by Di Liberto et al.).
Our findings offer potential new insights into the tumor-immune interaction associated with a durable treatment responses and drug resistance in targeting CDK4/6 and BTK in MCL. In preclinical models, CDK4/6 inhibition has been linked to changes in the tumor microenvironment to enhance the immune response, and here we present the first longitudinal data obtained from patients within the context of a clinical trial. Expansion of the cohort from the ongoing phase II trial, cytokine profiling, and functional assays are underway to further characterize the oligoclonal CD8+ T cell and other immune populations as well as to explore the potential therapeutic role of combinations with immune checkpoint blockade in lymphoma.
Figure 1. Differential T-cell responses in relapsed/refractory MCL patients on palbociclib and ibrutinib combination therapy, including a leukemic MCL patient with a CR (Pt 17) and a non-leukemic MCL patient with a CR and subsequent progression of disease (Pt 25). A, Absolute B-cell and T-cell counts during various treatment cycles for Pt 17 (top) and Pt 25 (bottom). B, Cumulative productive frequency of the top 10 clonal TCR rearrangements in a given treatment cycle. C, Change in abundance of the top 10 TCR clones across a given treatment cycle. D, Differential abundance of productive TCR clones that have significantly increased or decreased in frequency between treatment cycles. Abbreviations: CR, complete response. MCL, mantle cell lymphoma. PD, progression of disease. Pt, patient. TCR, T-cell receptor.
Bartlett:Pharmacyclics: Research Funding; Pfizer: Research Funding; Millennium: Research Funding; Merck: Research Funding; Kite Pharma: Research Funding; Janssen: Research Funding; Incyte: Research Funding; Immune Design: Research Funding; Gilead: Research Funding; Genentech, Inc.: Research Funding; ADC Therapeutics: Membership on an entity's Board of Directors or advisory committees, Research Funding; Affimed: Research Funding; Autolus: Research Funding; Bristol-Myers Squibb: Research Funding; Celgene: Research Funding; Forty Seven: Research Funding. Maddocks:Celgene: Membership on an entity's Board of Directors or advisory committees; Teva: Membership on an entity's Board of Directors or advisory committees; Merck: Research Funding; Pharmacyclics: Membership on an entity's Board of Directors or advisory committees, Research Funding; Novartis: Research Funding; BMS: Research Funding. Leonard:MorphoSys: Consultancy; Epizyme, Inc: Consultancy; Celgene: Consultancy; Bayer Corporation: Consultancy; MorphoSys: Consultancy; ADC Therapeutics: Consultancy; Gilead: Consultancy; Merck: Consultancy; Miltenyi: Consultancy; Nordic Nanovector: Consultancy; ADC Therapeutics: Consultancy; BeiGene: Consultancy; Nordic Nanovector: Consultancy; Sandoz: Consultancy; Sandoz: Consultancy; Akcea Therapeutics: Consultancy; Miltenyi: Consultancy; Akcea Therapeutics: Consultancy; Celgene: Consultancy; Merck: Consultancy; Karyopharm Therapeutics: Consultancy; Genentech, Inc./F. Hoffmann-La Roche Ltd: Consultancy; Sutro Biopharma: Consultancy; Karyopharm Therapeutics: Consultancy; AstraZeneca: Consultancy; AstraZeneca: Consultancy; Bayer Corporation: Consultancy; Epizyme, Inc: Consultancy; Genentech, Inc./F. Hoffmann-La Roche Ltd: Consultancy; Sutro Biopharma: Consultancy; BeiGene: Consultancy; Gilead: Consultancy. Galluzzi:Luke Heller TECPR2 Foundation: Consultancy; Astra Zeneca: Consultancy; Inzen: Consultancy; OmniSEQ: Consultancy, Membership on an entity's Board of Directors or advisory committees. Martin:I-MAB: Consultancy; Celgene: Consultancy; Janssen: Consultancy; Karyopharm: Consultancy; Teneobio: Consultancy; Sandoz: Consultancy.
Palbociclib, a CDK4/6 inhibitor, was used off-label in combination with ibrutinib in a phase I clinical trial in patients with relapsed/refractory mantle cell lymphoma.
Author notes
Asterisk with author names denotes non-ASH members.

This feature is available to Subscribers Only
Sign In or Create an Account Close Modal