Background and objective. Idelalisib is an oral inhibitor of the p110δ isoform of PI3K (phosphoinositide 3-kinase) approved in Europe and USA as monotherapy in relapsed/refractory follicular lymphoma (FL) after 2 previous lines of therapy based on a phase 2 study (Gopal et al, N Eng J Med 2014). However, there are scarce data on the use of idelalisib in clinical practice (Eyre et al, Br J Haematol 2017). The objective of this study was to analyze the efficacy and toxicity of idelalisib in relapsed/refractory FL patients in clinical practice in Spanish hospitals of GELTAMO group (GELT-IDE-2018-02 Study).
Patients and Methods. Retrospective study of relapsed/refractory FL patients treated with idelalisib as salvage therapy in clinical practice. Demographic and clinical and biological variables were analyzed at FL diagnosis and at the time of idelalisib therapy, as well as its efficacy and toxicity.
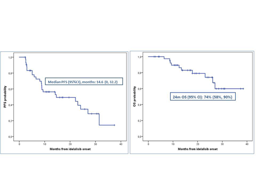
Results. A total of 43 patients from 20 hospitals were included. At time of idelalisib therapy, median age was 63 years (range 44-83), number of previous lines of therapy was 3 (2-7), 42% (n=18) were refractory to last previous treatment and 42% (n=18) had received an autologous stem cell transplantation (SCT); 56% (n=24) had progressed in the first 24 months after FL diagnosis (POD24). Median duration of treatment with idelalisib at time of analysis was 8.1 months (1.1-37.4) and 28/43 patients (65%) discontinued therapy, 13 due to progression, 12 due to adverse events (AE) and 3 due to physician's decision. Overall response rate (ORR) was 73% (32% CR) and median PFS 14.6 months (95% CI 0-32.2), with a trend to be higher in non-POD24 group (median PFS of 9.4 months [95% CI 1.7-16.9] in POD24 vs. 27 months [95% CI NA] in non-PO24 patients, p=0.082); median duration of response to idelalisib was 25.1 months (95% CI 13.1-37.6). Median overall survival (OS) was not reached at the time of analysis, with a 2-year OS of 74% (95% CI 58%-90%) (Figure). In 4 patients, an allogeneic SCT was performed after idelalisib.
A total of 86% (n=37) of patients showed any AE, being in 56% (n=24) of grade ≥3 AE. Toxicities of grade ≥3 more frequent were: neutropenia (23% of patients), diarrhea (23%), infections (23%: pneumonia in 4 patients, CMV infection in 2, febrile neutropenia in 1 and other infections in 3 [1 of them died due to Aspergillus infection]), and increased transaminases (9%).
Conclusions. In this series of patients with relapsed/refractory FL, several previous lines of therapies and factors associated with poor prognosis, the treatment with idelalisib was associated with efficacy and toxicity similar to published studies. These results support the use of idelalisib as an option for FL patients with multiple or poor risk relapses.
Financial support: Gilead
Figure. Progression-free survival (PFS) and overall survival (OS) for patients with follicular lymphoma treated with idelalisib.
Sancho:SERVIER: Honoraria; SANOFI: Honoraria; Novartis: Consultancy, Honoraria; CELGENE: Consultancy, Honoraria, Membership on an entity's Board of Directors or advisory committees; JANSSEN: Consultancy, Honoraria, Membership on an entity's Board of Directors or advisory committees; ROCHE: Consultancy, Honoraria, Membership on an entity's Board of Directors or advisory committees; GILEAD: Consultancy, Honoraria, Membership on an entity's Board of Directors or advisory committees; CELLTRION: Consultancy; Kern-Pharma: Honoraria; Sandoz: Consultancy. Lopez Jimenez:GILEAD SCIENCES: Honoraria, Other: Education funding. Ramirez Payer:GILEAD SCIENCES: Research Funding. Cordoba:Janssen: Consultancy, Honoraria, Speakers Bureau; Servier: Consultancy, Honoraria, Speakers Bureau; Kyowa-Kirin: Consultancy, Honoraria, Speakers Bureau; Gilead: Consultancy, Research Funding, Speakers Bureau; Roche: Honoraria, Speakers Bureau; FUNDACION JIMENEZ DIAZ UNIVERSITY HOSPITAL: Employment; Celgene: Consultancy, Honoraria, Speakers Bureau; Pfizer: Consultancy. Martín:Kiowa Kirin: Consultancy; Gilead: Consultancy, Honoraria; Celgene: Consultancy, Honoraria, Other: Travel Expenses, Research Funding; iQone: Consultancy; Teva: Research Funding; Janssen: Honoraria, Other: Travel Expenses, Research Funding; Roche: Consultancy, Honoraria, Other: Travel Expenses; Servier: Honoraria, Other: Travel Expenses. Armando:Roche: Consultancy, Research Funding; Janssen: Research Funding; Gilead: Consultancy, Research Funding; Celgene: Consultancy, Research Funding.
Author notes
Asterisk with author names denotes non-ASH members.

This feature is available to Subscribers Only
Sign In or Create an Account Close Modal