Key Points
Metaphase cytogenetics, PCPro, and gain 1q by FISH do not improve risk stratification in MM when accounting for R-ISS and age.
Metaphase cytogenetics lack sensitivity for important myeloma-specific chromosomal abnormalities.
Abstract
Metaphase cytogenetic abnormalities, plasma cell proliferation index (PCPro), and gain 1q by fluorescence in situ hybridization (FISH) are associated with inferior survival in newly diagnosed multiple myeloma (MM) treated with novel agents; however, their role in risk stratification is unclear in the era of the revised International Staging System (R-ISS). The objective of this study was to determine if these predictors improve risk stratification in newly diagnosed MM when accounting for R-ISS and age. We studied a retrospective cohort of 483 patients with newly diagnosed MM treated with proteasome inhibitors and/or immunomodulators. On multivariable analysis, R-ISS, age, metaphase cytogenetic abnormalities (both in aggregate and for specific abnormalities), PCPro, and FISH gain 1q were associated with inferior progression-free (PFS) and overall survival (OS). We devised a risk scoring system based on hazard ratios from multivariable analyses and assigned patients to low-, intermediate-, and high-risk groups based on their cumulative scores. The addition of metaphase cytogenetic abnormalities, PCPro, and FISH gain 1q to a risk scoring system accounting for R-ISS and age did not improve risk discrimination of Kaplan-Meier estimates for PFS or OS. Moreover, they did not improve prognostic performance when evaluated by Uno’s censoring-adjusted C-statistic. Lastly, we performed a paired analysis of metaphase cytogenetic and interphase FISH abnormalities, which revealed the former to be insensitive for the detection of prognostic chromosomal abnormalities. Ultimately, metaphase cytogenetics lack sensitivity for important chromosomal aberrations and, along with PCPro and FISH gain 1q, do not improve risk stratification in MM when accounting for R-ISS and age.
Introduction
Multiple myeloma (MM) is a malignant plasma cell neoplasm with complex biology and heterogeneous clinical course. Despite the widespread use of highly active novel therapies, including proteasome inhibitors (PIs) and immunomodulators (IMiDs), overall survival (OS) in MM ranges from months to years.1 In this setting, cytogenetic profiling has become a powerful means of risk stratifying MM patients at diagnosis, with modalities including conventional metaphase cytogenetics and interphase fluorescence in situ hybridization (FISH).2-5
MM-specific abnormalities on metaphase cytogenetics are associated with inferior survival at diagnosis and before and after autologous hematopoietic stem cell transplantation.6-9 However, this assay relies on the presence of actively dividing cells, and as terminally differentiated B cells, plasma cells have limited proliferative capacity.10 Consequently, only one-third of MM patients have metaphase cytogenetic abnormalities at diagnosis, presumably because they harbor more aggressive, rapidly dividing myeloma clones.2,11 Indeed, the association between metaphase cytogenetic abnormalities and rapid myeloma cell proliferation as measured by plasma cell labeling index and gene expression profiling is well described.12,13 High plasma cell proliferation rates are associated with inferior survival in newly diagnosed MM and shorter time to progression in plateau phase and smoldering MM.13-18 This has led some to theorize that metaphase cytogenetic abnormalities are a surrogate for rapid plasma cell proliferation, thus explaining their association with inferior survival.2,3,11
In contrast to metaphase cytogenetics, interphase FISH is a more sensitive modality for identifying specific cytogenetic abnormalities associated with inferior survival, and ≥1 abnormalities can be detected in a majority of patients.2,11 High-risk (HR) abnormalities on FISH, including deletion 17p [del(17p)], t(4;14), and t(14;16), lactate dehydrogenase, and International Staging System (ISS) stage have been combined into a powerful prognostic staging system, the revised ISS (R-ISS).19 In addition, although not included in R-ISS, gain 1q by FISH is associated with inferior survival in newly diagnosed MM.20-23
The American College of Medical Genetics and Genomics (ACMG) guidelines recommend performing metaphase cytogenetics with and without mitogens for MM at diagnosis.24 However, it is unknown if the addition of metaphase cytogenetic abnormalities to R-ISS and age improves risk stratification in newly diagnosed MM. Likewise, it is unknown if plasma cell proliferation index (PCPro), which may serve as a surrogate marker for metaphase abnormalities, or gain 1q by FISH, which is not currently included in R-ISS, improves risk stratification. The aims of this study were: (1) to assess if metaphase cytogenetics, both in aggregate and for specific subgroups of metaphase abnormalities, including del(13q)/monosomy 13, hypodiploid karyotype, nonhyperdiploid karyotype, and gain 1q, improve risk stratification with respect to progression-free survival (PFS) or OS when accounting for age and R-ISS stage; (2) similarly, to establish if the addition of PCPro and gain 1q by FISH improve risk stratification by R-ISS and age; and (3) to evaluate the sensitivity and specificity of metaphase cytogenetics for prognostically important chromosomal abnormalities identified on interphase FISH.
Methods
Study population
A cohort of 483 patients was sampled from a database of 2087 patients with newly diagnosed MM treated at Mayo Clinic (Rochester, MN) from February 2004 to October 2017 based on data availability for the predictors of interest. All 483 patients had laboratory studies performed at Mayo Clinic within 90 days of diagnosis and before initiation of therapy. Of the 2087 database patients, 1064 (51%) had both metaphase cytogenetics and FISH studies meeting these criteria. Exclusion from the final cohort because of a failed metaphase culture was extremely rare; of the 1064 patients, only 1 did not have any metaphases procured. Patients were only included in the final cohort if they were treated with PIs and/or IMiDs and had complete data on PCPro, serum β2-microglobulin, albumin, and lactate dehydrogenase. PCPro was performed for 616 of the 1063 patients with successful cytogenetics studies; however, 133 patients were excluded because they were either not treated with novel agents and/or did not have R-ISS data available. On logistic regression, there was no significant difference in the percentage of patients with PCPro ≥2% in the excluded and included patients (21% vs 19%; odds ratio [OR], 1.13; 95% confidence interval [CI], 0.70-1.82; P = .605). Of the 483 patients in the final cohort, only 405 were evaluated for gain 1q by FISH.
Laboratory methods
For metaphase cytogenetic analysis, bone marrow specimens were cultured for 24 and 48 hours without mitogens and stained by G-banding.25 Abnormal metaphase cytogenetics were defined as MM-specific abnormalities if identified in ≥2 metaphases. Single abnormal metaphases were also included if the observed abnormalities were deemed to be consistent with the patient’s plasma cell clone by the interpreting board-certified cytogeneticist. Normal metaphase cytogenetics included constitutional cytogenetic variants, age-related Y chromosome loss, and normal metaphase karyotypes. Ploidy was determined by the following criteria: hypodiploidy, presence of 32 to 43 chromosomes; near diploidy, 44 to 49; hyperdiploidy, 50 to 65; near triploidy, 66 to 79; and near tetraploidy, 80 to 100.26
For the purpose of R-ISS, HR cytogenetic abnormalities by FISH were defined as del(17p), t(4;14), t(14;16), and t(14;20).27 Although R-ISS excludes t(14;20) from its criteria for HR cytogenetics by FISH, this translocation is classified as an HR cytogenetic abnormality by the Mayo Clinic mSMART 3.0 guidelines for risk stratification in newly diagnosed MM and in a 2016 International Myeloma Working Group consensus statement.5,27 Ultimately, we classified the only patient in this cohort with a t(14;20) as R-ISS III to simplify the analysis.
Interphase FISH analysis was performed using the following probes: 1q21 (CKS1B), 3cen (D3Z1), 7cen (D7Z1), 9cen (D9Z1), 15cen (D15Z4), 11q13 (CCND1), 14q32 (IGH), 13q14 (RB1), 13q34 (LAMP1), 17p13.1 (p53), 17cen (D17Z1), and 14q32 (3′IGH,5′IGH). When an IGH rearrangement was identified that did not partner with 11q13 (CCND1), reflex testing was performed to identify the translocation partner using probes for 4p16.3 (FGFR3), 16q23 (MAF), 6p21 (CCND3), and 20q12 (MAFB).28 For del(17p) and monosomy 17, cutoff points for a positive test were 7% and 9%, respectively.29
Two techniques were applied to evaluate PCPro in this cohort. Before May 2012, a slide-based immunofluorescence microscopy method was used to identify the percentage of clonal plasma cells in S-phase. After clinical implementation in May 2012, a flow cytometry–based assay was employed, both as previously described.30,31 On logistic regression, there was no significant difference in the percentage of patients with PCPro ≥2% before and after this date (20% vs 15%; OR, 1.38; 95% CI, 0.76-2.53; P = .292).
Statistical analysis
We performed a paired analysis of metaphase and interphase FISH chromosomal abnormalities to determine the sensitivity of the former in detecting del(17p)/monosomy 17, t(11;14), t(4;14), t(14;16), t(14;20), del(13q)/monosomy 13, hyperdiploid karyotype, and gain 1q. Hyperdiploidy by interphase FISH was defined as the presence of ≥3 trisomies of odd-numbered chromosomes. Logistic regression models were fit for the association between abnormalities on metaphase cytogenetics and (1) HR cytogenetics by FISH and (2) PCPro ≥2% and for the association between hypodiploid karyotype and metaphase del(13q)/monosomy 13.
PFS was defined as the time from diagnosis to disease relapse or death. OS was defined as the time from diagnosis to death. Patients were censored at the end of follow-up if no event occurred. Eight multivariable-adjusted proportional hazards regression models were fit for the association between prognostic factors and PFS and OS, yielding 16 models in total.32 The base model, model 1, was adjusted for R-ISS stage and age ≥70 years. Models 2 to 8 were additionally adjusted for metaphase abnormalities in general, metaphase del(13q)/monosomy 13, hypodiploid karyotype, nonhyperdiploid karyotype, metaphase gain 1q, FISH gain 1q, and PCPro, respectively. All proportional hazards regression models were evaluated for violations of the proportional hazards assumption by including interaction terms between the predictors and survival time (P > .05 for all comparisons).
We devised a risk scoring system with points assigned for each covariate based on its hazard ratio from the Cox regression models and stratified patients into low- (LR), intermediate- (IR), and HR groups based on cumulative score. Separate survival analyses were performed for the base model and for the base model plus each of the unique covariates from models 2 to 8. Survival estimates were calculated using the Kaplan-Meier method and compared between risk groups using the log-rank test.33 We evaluated the predictive power of different proportional hazards regression models using Uno’s censoring-adjusted C statistic (Uno’s C) and corresponding 95% CIs.34 Estimates were generated using bootstrapping with 1000 iterations.35
Results
Baseline clinical and demographic features
Baseline characteristics for the cohort of 483 patients are listed in Table 1. Median age at diagnosis was 66 years, the male/female ratio was ∼1.5:1, median follow-up was 6.1 years, median OS was 6.4 years (95% CI, 5.9-7.2), and median PFS was 2.4 years (95% CI, 2.1-2.6). All R-ISS stages were well represented, with the majority of patients being R-ISS II. For first-line treatment, 313 patients (65%) received an IMiD, 119 (25%) received a PI, 51 (10%) received a combination of an IMiD and PI, and 137 (28%) underwent upfront autologous hematopoietic stem cell transplantation.
Characteristics of 483 patients with newly diagnosed MM
| Characteristic . | n (%) . |
|---|---|
| Male sex | 281 (58) |
| Age at diagnosis, y | |
| Median | 66 |
| Range | 31-95 |
| Follow-up, y | |
| Median | 6.1 |
| Range | 0.1-15.3 |
| OS, y | |
| Median | 6.4 |
| 95% CI | 5.9-7.2 |
| PFS, y | |
| Median | 2.4 |
| 95% CI | 2.1-2.6 |
| R-ISS | |
| I | 95 (20) |
| II | 319 (66) |
| III | 69 (14) |
| FISH | |
| HR by FISH | 121 (25) |
| Del(17p)/monosomy 17 | 66 (14) |
| Dele(13q)/monosomy 13 | 232 (48) |
| Gain 1q | 101(25) |
| t(4;14) | 54 (11) |
| t(14;16) | 17 (4) |
| t(14;20) | 1 (1) |
| t(11;14) | 93 (19) |
| Hyperdiploid | 63 (13) |
| Metaphase cytogenetics | |
| Abnormal karyotype | 108 (22) |
| Del(17p)/monosomy 17 | 15 (3) |
| Del(13q)/monosomy 13 | 47 (10) |
| Gain 1q | 44 (9) |
| Hypodiploid | 16 (3) |
| Near diploid | 32 (7) |
| Hyperdiploid | 58 (12) |
| Nonhyperdiploid | 50 (10) |
| Near triploid | 2 (1) |
| Near tetraploid | 5 (1) |
| PCPro ≥2% | 92 (19) |
| First-line treatment | |
| IMiD monotherapy | 313 (65) |
| PI monotherapy | 119 (25) |
| Combined IMiD/PI | 51 (10) |
| ASCT | 137 (28) |
| Characteristic . | n (%) . |
|---|---|
| Male sex | 281 (58) |
| Age at diagnosis, y | |
| Median | 66 |
| Range | 31-95 |
| Follow-up, y | |
| Median | 6.1 |
| Range | 0.1-15.3 |
| OS, y | |
| Median | 6.4 |
| 95% CI | 5.9-7.2 |
| PFS, y | |
| Median | 2.4 |
| 95% CI | 2.1-2.6 |
| R-ISS | |
| I | 95 (20) |
| II | 319 (66) |
| III | 69 (14) |
| FISH | |
| HR by FISH | 121 (25) |
| Del(17p)/monosomy 17 | 66 (14) |
| Dele(13q)/monosomy 13 | 232 (48) |
| Gain 1q | 101(25) |
| t(4;14) | 54 (11) |
| t(14;16) | 17 (4) |
| t(14;20) | 1 (1) |
| t(11;14) | 93 (19) |
| Hyperdiploid | 63 (13) |
| Metaphase cytogenetics | |
| Abnormal karyotype | 108 (22) |
| Del(17p)/monosomy 17 | 15 (3) |
| Del(13q)/monosomy 13 | 47 (10) |
| Gain 1q | 44 (9) |
| Hypodiploid | 16 (3) |
| Near diploid | 32 (7) |
| Hyperdiploid | 58 (12) |
| Nonhyperdiploid | 50 (10) |
| Near triploid | 2 (1) |
| Near tetraploid | 5 (1) |
| PCPro ≥2% | 92 (19) |
| First-line treatment | |
| IMiD monotherapy | 313 (65) |
| PI monotherapy | 119 (25) |
| Combined IMiD/PI | 51 (10) |
| ASCT | 137 (28) |
Percentages reflect the entire cohort of 483 patients, with the exception of FISH gain 1q, for which only 405 patients had data available.
ASCT, autologous hematopoietic stem cell transplantation.
Cytogenetic evaluation
A total of 474 (98%) of 483 patients had abnormalities on FISH, 121 (25%) had HR abnormalities on FISH, and 108 (22%) had abnormal metaphase cytogenetics. Patients with abnormal metaphase cytogenetics were more likely to have HR cytogenetic abnormalities by FISH compared with those with normal metaphase cytogenetics (34% vs 22%; OR, 1.81; 95% CI, 1.13-2.89; P = .013). Ninety-two patients (19%) had PCPro ≥2%. Patients with metaphase cytogenetic abnormalities more commonly had PCPro ≥2% compared with patients who did not (37% vs 14%; OR, 3.65; 95% CI, 2.24-5.95; P < .001).
Data on specific cytogenetic abnormalities by FISH and metaphase cytogenetics are provided in Table 1. Percentages for both FISH and metaphase abnormalities are in reference to the entire cohort of 483 patients, with the exception of FISH gain 1q, for which testing was only performed in 405 patients. Del(13q)/monosomy 13, gain 1q, t(11;14), del(17p)/monosomy 17, and t(4;14) were the most common abnormalities identified on FISH, whereas t(14;20) and t(14;16) were less frequently identified. With respect to metaphase cytogenetics, hyperdiploid karyotypes we slightly more common than nonhyperdiploid karyotypes, and del(13q)/monosomy 13 was the most common chromosome-specific abnormality. Patients with hypodiploid karyotype were significantly more likely to have chromosome 13 deletions compared with those without hypodiploid karyotype (88% vs 7%; OR, 92.1; 95% CI, 20.1-422.3; P < .001).
Paired cytogenetic analysis
The sensitivity and specificity of metaphase cytogenetics for common chromosomal abnormalities identified on FISH are illustrated in Figure 1. There were 16 t(4;14) translocations and 1 t(14;20) translocation on FISH; however, none were detected by metaphase studies. There were 24 del(17p)/monosomy 17 and 5 t(14;16) translocations; the sensitivity of metaphase cytogenetics for these abnormalities was also suboptimal (25% and 60%, respectively). In addition, specificity for del(17p)/monosomy 17 was 89%, with 9 false positives on metaphase cytogenetics. There were 11 t(11;14) translocations, 52 del(13q)/monosomy 13, and 63 hyperdiploid karyotypes on FISH, with metaphase studies showing comparatively better sensitivity for these translocations (91%, 81%, and 83%, respectively). Specificity was 100% for t(11;14), 91% for del(13q)/monosomy 13, and 87% for hyperdiploidy. Lastly, only 89 (82%) of the 108 patients with abnormal metaphase cytogenetics were evaluated for gain 1q by FISH. Of these, 39 patients had gain 1q identified by FISH. The sensitivity and specificity of metaphase cytogenetics for these abnormalities were 72% and 82%, respectively. Of note, gains of 1q identified by metaphase cytogenetics were not considered false positives if corresponding FISH studies were not performed.
Heat map illustrating paired analysis of FISH and metaphase cytogenetic (mCG) abnormalities. Each row corresponds to a specific cytogenetic abnormality, and each column represents an individual patient.
Heat map illustrating paired analysis of FISH and metaphase cytogenetic (mCG) abnormalities. Each row corresponds to a specific cytogenetic abnormality, and each column represents an individual patient.
Multivariable analysis
On multivariable analysis, R-ISS stage and age ≥70 years were associated with inferior OS in the base model (Table 2). In addition, metaphase cytogenetic abnormalities in general, metaphase del(13q)/monosomy 13, hypodiploid karyotype, nonhyperdiploid karyotype, metaphase and FISH gain 1q, and PCPro ≥2% were associated with inferior OS when accounting for the effects of the base model covariates (Table 2). With the exception of R-ISS II, these covariates were similarly associated with inferior PFS (supplemental Table 1A-H). Treatment type did not significantly alter the effect estimates of interest and was therefore not included in the multivariable analyses. In addition, PCPro cutoff of ≥3% yielded similar results.
OS
| Multivariable analysis . | Hazard ratio (95% CI) . | P . |
|---|---|---|
| Excluding mCG (base model) | ||
| R-ISS III vs I | 3.15 (2.11-4.69) | <.001 |
| R-ISS II vs I | 1.57 (1.13-2.18) | .007 |
| Age ≥70 y | 2.20 (1.75-2.78) | <.001 |
| Including mCG | ||
| R-ISS III vs I | 2.83 (1.89-4.23) | <.001 |
| R-ISS II vs I | 1.51 (1.08-2.10) | .015 |
| Age ≥70 y | 2.28 (1.81-2.88) | <.001 |
| Abnormal mCG | 1.61 (1.25-2.07) | <.001 |
| Including del(13q)/monosomy 13 | ||
| R-ISS III vs I | 2.79 (1.86-4.19) | <.001 |
| R-ISS II vs I | 1.51 (1.09-2.11) | .014 |
| Age ≥70 y | 2.29 (1.81-2.89) | <.001 |
| Del(13q)/monosomy 13 | 1.85 (1.31-2.60) | <.001 |
| Including hypodiploid karyotype | ||
| R-ISS III vs I | 2.86 (1.90-4.30) | <.001 |
| R-ISS II vs I | 1.54 (1.11-2.14) | .010 |
| Age ≥70 y | 2.27 (1.80-2.86) | <.001 |
| Hypodiploid | 2.36 (1.35-4.12) | .003 |
| Including nonhyperdiploid karyotype | ||
| R-ISS III vs I | 2.63 (1.74-3.98) | <.001 |
| R-ISS II vs I | 1.49 (1.07-2.08) | .017 |
| Age ≥70 y | 2.34 (1.85-2.95) | <.001 |
| Nonhyperdiploid | 1.90 (1.34-2.68) | <.001 |
| Including mCG gain 1q | ||
| R-ISS III vs I | 2.92 (1.95-4.37) | <.001 |
| R-ISS II vs I | 1.55 (1.11-2.15) | .009 |
| Age ≥70 y | 2.22 (1.76-2.80) | <.001 |
| mCG gain 1q | 1.61 (1.13-2.28) | .008 |
| Including FISH gain 1q | ||
| R-ISS III vs I | 2.50 (1.62-3.85) | <.001 |
| R-ISS II vs 1 | 1.28 (0.89-1.82) | .179 |
| Age ≥70 y | 2.19 (1.71-2.82) | <.001 |
| FISH gain 1q | 1.38 (1.06-1.81) | .017 |
| Including PCPro ≥2% | ||
| R-ISS III vs I | 2.83 (1.89-4.23) | <.001 |
| R-ISS II vs 1 | 1.53 (1.10-2.13) | .011 |
| Age ≥70 y | 2.21 (1.75-2.78) | <.001 |
| PCPro ≥2% | 1.60 (1.23-2.08) | .001 |
| Multivariable analysis . | Hazard ratio (95% CI) . | P . |
|---|---|---|
| Excluding mCG (base model) | ||
| R-ISS III vs I | 3.15 (2.11-4.69) | <.001 |
| R-ISS II vs I | 1.57 (1.13-2.18) | .007 |
| Age ≥70 y | 2.20 (1.75-2.78) | <.001 |
| Including mCG | ||
| R-ISS III vs I | 2.83 (1.89-4.23) | <.001 |
| R-ISS II vs I | 1.51 (1.08-2.10) | .015 |
| Age ≥70 y | 2.28 (1.81-2.88) | <.001 |
| Abnormal mCG | 1.61 (1.25-2.07) | <.001 |
| Including del(13q)/monosomy 13 | ||
| R-ISS III vs I | 2.79 (1.86-4.19) | <.001 |
| R-ISS II vs I | 1.51 (1.09-2.11) | .014 |
| Age ≥70 y | 2.29 (1.81-2.89) | <.001 |
| Del(13q)/monosomy 13 | 1.85 (1.31-2.60) | <.001 |
| Including hypodiploid karyotype | ||
| R-ISS III vs I | 2.86 (1.90-4.30) | <.001 |
| R-ISS II vs I | 1.54 (1.11-2.14) | .010 |
| Age ≥70 y | 2.27 (1.80-2.86) | <.001 |
| Hypodiploid | 2.36 (1.35-4.12) | .003 |
| Including nonhyperdiploid karyotype | ||
| R-ISS III vs I | 2.63 (1.74-3.98) | <.001 |
| R-ISS II vs I | 1.49 (1.07-2.08) | .017 |
| Age ≥70 y | 2.34 (1.85-2.95) | <.001 |
| Nonhyperdiploid | 1.90 (1.34-2.68) | <.001 |
| Including mCG gain 1q | ||
| R-ISS III vs I | 2.92 (1.95-4.37) | <.001 |
| R-ISS II vs I | 1.55 (1.11-2.15) | .009 |
| Age ≥70 y | 2.22 (1.76-2.80) | <.001 |
| mCG gain 1q | 1.61 (1.13-2.28) | .008 |
| Including FISH gain 1q | ||
| R-ISS III vs I | 2.50 (1.62-3.85) | <.001 |
| R-ISS II vs 1 | 1.28 (0.89-1.82) | .179 |
| Age ≥70 y | 2.19 (1.71-2.82) | <.001 |
| FISH gain 1q | 1.38 (1.06-1.81) | .017 |
| Including PCPro ≥2% | ||
| R-ISS III vs I | 2.83 (1.89-4.23) | <.001 |
| R-ISS II vs 1 | 1.53 (1.10-2.13) | .011 |
| Age ≥70 y | 2.21 (1.75-2.78) | <.001 |
| PCPro ≥2% | 1.60 (1.23-2.08) | .001 |
Survival analysis
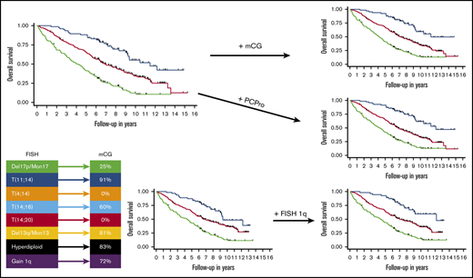
We devised a risk scoring system for OS incorporating covariates from the multivariable analysis, weighted by their respective hazard ratios (R-ISS II, +1.5; R-ISS III, +3; age ≥70 years, +2; metaphase cytogenetic abnormalities, +1.5; metaphase del(13q)/monosomy 13, +2; hypodiploid karyotype, +2.5; nonhyperdiploid karyotype, +2; metaphase gain 1q, +1.5; FISH gain 1q, +1.5; and PCPro ≥2%, +1.5). LR, IR, and HR groups were established based on risk scores of 0 to 1, 1.5 to 3, and ≥3.5, respectively. HR groups experienced significantly worse OS compared with IR and LR groups in models excluding (Figure 2A) and including (Figure 2B-G) the covariates of interest (P < .001 for all comparisons). Separate survival curves for the cohort of 405 patients with FISH 1q data available yielded similar results (P < .001 and P = .009 for base model and base model plus FISH 1q, respectively; Figure 3A-B). The incorporation of these covariates into the base model of R-ISS and age did not improve risk stratification, and it did not improve prognostic performance when evaluated by Uno’s C (Figure 4). Gain 1q by FISH required a different base model for the smaller cohort of 405 patients and is therefore not included in Figure 4; however, results were similar (Uno’s C, 0.42; 95% CI, 0.30-0.53 and Uno’s C, 0.41; 95% CI, 0.30-0.53 for the base model and base model plus gain 1q by FISH, respectively). Similar results were obtained for PFS for the survival analysis (supplemental Figures 1A-G and 2A-B) and for Uno’s C (supplemental Figure 3).
Kaplan-Meier OS estimates for 483 patients with corresponding numbers at risk. Stratification is by LR, IR, and HR groups incorporating base model predictors of R-ISS and age ≥70 years (A), base model and metaphase cytogenetics (B), base model and metaphase del(13q)/monosomy 13 (C), base model and hypodiploid karyotype (D), base model and nonhyperdiploid karyotype (E), base model and metaphase gain 1q (F), and base model and PCPro (G). Corresponding P values for log-rank tests are provided.
Kaplan-Meier OS estimates for 483 patients with corresponding numbers at risk. Stratification is by LR, IR, and HR groups incorporating base model predictors of R-ISS and age ≥70 years (A), base model and metaphase cytogenetics (B), base model and metaphase del(13q)/monosomy 13 (C), base model and hypodiploid karyotype (D), base model and nonhyperdiploid karyotype (E), base model and metaphase gain 1q (F), and base model and PCPro (G). Corresponding P values for log-rank tests are provided.
Kaplan-Meier OS estimates for 405 patients with FISH 1q data with corresponding numbers at risk. Stratification is by LR, IR, and HR groups incorporating base model predictors of R-ISS and age ≥70 years (A) and base model and gain 1q by FISH (B). Corresponding P values for log-rank tests are provided.
Kaplan-Meier OS estimates for 405 patients with FISH 1q data with corresponding numbers at risk. Stratification is by LR, IR, and HR groups incorporating base model predictors of R-ISS and age ≥70 years (A) and base model and gain 1q by FISH (B). Corresponding P values for log-rank tests are provided.
Forest plot of Uno’s C statistics for OS. 95% CIs with bootstrapping are presented for the base model and base model plus each predictor. Overlapping CIs suggest risk stratification is not improved beyond the base model. Abn, abnormality; hyper, hyperdiploid; hypo, hypodiploid.
Forest plot of Uno’s C statistics for OS. 95% CIs with bootstrapping are presented for the base model and base model plus each predictor. Overlapping CIs suggest risk stratification is not improved beyond the base model. Abn, abnormality; hyper, hyperdiploid; hypo, hypodiploid.
Discussion
We found metaphase cytogenetic abnormalities, PCPro, and FISH gain 1q to be independently associated with inferior PFS and OS in newly diagnosed MM. However, these predictors did not improve risk stratification when accounting for other, more powerful predictors of survival, such as age and R-ISS. The inclusion of metaphase cytogenetic abnormalities, PCPro, and FISH gain 1q in risk scoring for LR, IR, and HR groups did not improve discrimination between groups, and they did not improve prognostic performance by Uno’s C.
ACMG guidelines advocate for the continued use of metaphase cytogenetics in plasma cell disorders such as MM.24 With respect to laboratory assessment, the ACMG recommends “unstimulated 24-hour and 72-hour cultures, as well as 120-hour IL-4 stimulated cultures.”24(p636) Although we do not routinely perform mitogen-stimulated cultures at our institution, because this technique produces an artificial increase in the plasma cell proliferative rate, the analysis and review of normal vs abnormal metaphase cytogenetics requires, on average, 2.5 vs 7.0 hours, respectively. The complexity of abnormal metaphase cytogenetics encountered in MM clones results in significant laboratory effort per case, and our findings suggest that this assay does not improve risk stratification of newly diagnosed patients.
Of importance, further illustrating the limitations of metaphase cytogenetics, the genetic abnormalities that are prognostically relevant for R-ISS stratification (IGH/MAF or IGH/FGFR3 translocations and TP53 deletions) cannot be reliably identified by metaphase cytogenetics and require FISH for molecular confirmation.2,11 Indeed, our paired analysis of these abnormalities between metaphase and interphase FISH modalities supports the limited sensitivity of the former, particularly for t(4;14) and t(14;20), which could not be identified by metaphase cytogenetics. Additional genetic signatures critical to prognostication, such as del(17p)/monosomy 17 and t(14;16), were detected in metaphase culture; however, sensitivity was suboptimal. Even for del(13q)/monosomy 13 and gain 1q, which have traditionally been well captured on metaphase studies, sensitivity did not exceed 85%.
Plasma cell proliferation has important implications for disease progression and survival in MM. Proliferation indices increase predictably with progression from monoclonal gammopathy of undetermined significance to smoldering MM to newly diagnosed MM and are higher in patients with relapsed/refractory disease.36,37 Moreover, a higher PCPro predicts shorter time to progression in both plateau phase myeloma, which is characterized by stable disease and minimal plasma cell burden, and smoldering MM.17,18 Our study is one of several to identify an association between elevated PCPro and inferior survival in newly diagnosed disease.38,39 In previous investigations, this relationship was independent of Durie-Salmon Staging System and ISS stage, but had not yet been analyzed in the context of R-ISS.13,14 Nonetheless, although PCPro retained independent prognostic value in multivariable analysis, it did not improve risk stratification beyond the base model of R-ISS and age.
Several studies have demonstrated a strong association between abnormalities on metaphase cytogenetics and elevated plasma cell proliferation indices.12,13 In relapsed/refractory MM, PCPro increases with the number of metaphase cytogenetic abnormalities.12 In patients with newly diagnosed disease, gene expression profiling–based plasma cell proliferation indices correlated with the presence of metaphase cytogenetic abnormalities.13 These findings have cultivated the prevailing theory that abnormal metaphase cytogenetics are simply a reflection of rapid plasma cell proliferation, thus explaining their association with inferior survival.2,3,11 However, although patients in our cohort with abnormal metaphase cytogenetics were more likely to have higher PCPro, the association between abnormal metaphase cytogenetics and inferior OS retained significance when accounting for the effect of PCPro in multivariable analysis. This suggests that metaphase cytogenetics were associated with, but not a surrogate for, elevated PCPro.
Several studies have identified gain 1q by FISH as an independent predictor of inferior survival in newly diagnosed MM treated with novel agents.20-23 Likewise, gain 1q is identified in clinical guidelines as a cytogenetic marker of HR disease. 5,27 Our findings support the independent prognostic value of gain 1q by FISH and metaphase cytogenetics, for both PFS and OS, when accounting for age and R-ISS. However, 1q gain did not improve risk stratification beyond that offered by R-ISS and age.
Our results suggest that risk stratification by age and R-ISS is not improved with the addition of metaphase cytogenetic abnormalities, gain 1q by FISH, or PCPro. Furthermore, metaphase cytogenetics constitute a laborious, time-consuming assay with no clear benefit to risk stratification in newly diagnosed MM, and they are insensitive to prognostically important chromosomal abnormalities.
Send data sharing requests via e-mail to the corresponding author, Shaji K. Kumar (e-mail: kumar.shaji@mayo.edu).
Authorship
Contribution: P.W.M., M.B., and S.K.K. were responsible for the study conception and design; F.K.B., M.Q.L., M.A.G., A.D., S.R.H., P.K., W.I.G., Y.L.H., A.F., M.H., T.K., R.W., J.A.L., N.L., R.S.G., R.A.K., S.V.R., and S.K.K. provided care for study patients; R.P.K., P.T.G., L.B.B., and J.F.P. performed the cytogenetic analysis; D.J. performed PCPro analysis; P.W.M., M.B., K.E.P., and S.K.K. were involved in the collection and assembly of data; P.W.M. and M.B. performed the statistical analysis; P.W.M. wrote the manuscript; and all authors participated in data analysis and interpretation and critical appraisal of the manuscript and approved the final manuscript.
Conflict-of-interest disclosure: The authors declare no competing financial interests.
Correspondence: Shaji K. Kumar, Division of Hematology, Mayo Clinic, 200 First St SW, Rochester, MN 55906; e-mail: kumar.shaji@mayo.edu.
References
Author notes
The full-text version of this article contains a data supplement.





