Key Points
Omidubicel was associated with faster neutrophil but slower platelet engraftment than unrelated and haploidentical donor transplants.
Overall survival, disease-free survival, chronic GVHD, and grade 3/4 acute GVHD were similar among all donor sources.
Visual Abstract
Omidubicel is a nicotinamide-expanded stem cell product derived from umbilical cord blood (UCB). In a phase 3 randomized trial for high-risk hematologic malignancies, omidubicel had faster neutrophil engraftment and fewer infectious complications than standard UCB transplantation. However, the clinical outcomes of omidubicel relative to other stem cell donor sources are yet to be determined. Clinical data for patients who underwent allogeneic hematopoietic cell transplantation (HCT) with omidubicel and standard UCB were taken from the phase 3 trial. The Center for International Blood and Marrow Transplant Research (CIBMTR) registry provided contemporaneous comparator cohorts of patients who met the trial eligibility criteria and who received allogeneic HCT from matched unrelated (MUD), mismatched unrelated (7/8 MMUD), and haploidentical donors. A total of 951 patients met the eligibility criteria, including 52 for omidubicel, 56 for standard UCB, 65 for 7/8 MMUD, 450 for MUD, and 328 for haploidentical donors. Omidubicel was associated with more rapid neutrophil engraftment than all other donor sources but slower platelet engraftment relative to other donor sources aside from UCB. There were no significant differences in overall survival, disease-free survival, and nonrelapse mortality among the donor sources. Omidubicel had a higher incidence of grade 2 to 4 acute graft-versus-host disease (GVHD), but similar rates of grade 3 to 4 acute GVHD and chronic GVHD compared to the CIBMTR cohorts. These results support the role of omidubicel as a viable donor source in the current transplant landscape.
Introduction
Allogeneic hematopoietic cell transplantation (HCT) remains the only potentially curative therapy for many hematologic malignancies. However, access to fully HLA-matched donor sources is limited for racial minority groups.1 Umbilical cord blood (UCB) is an important alternative stem cell source that can expand available donor options but is constrained by low numbers of hematopoietic stem cells, leading to delayed hematopoietic recovery and increased mortality.2
Omidubicel-onlv is a novel allogeneic progenitor cell therapy that uses nicotinamide to drive ex vivo expansion of hematopoietic stem and progenitor cells from a single UCB unit.3,4 Nicotinamide overcomes the induction of accelerated proliferation, differentiation, cellular stress, and signaling pathways that are activated when hematopoietic stem and progenitor cells are removed from their natural environment.5 In an international phase 3 clinical trial, 125 patients with hematologic malignancies were randomized to myeloablative allogeneic HCT using omidubicel or standard UCB.6 Omidubicel resulted in faster neutrophil recovery, faster immune reconstitution, and fewer infectious complications than traditional UCB transplantation.6,7 The safety of omidubicel was further confirmed over long-term follow-up, showing extended graft durability and immune competence at up to 10 years after transplant.8 Finally, omidubicel transplantation was associated with reduced health care resource utilization and improved patient-reported quality of life outcomes, including physical, functional, and overall well-being.9,10 On 17 April 2023, the US Food and Drug Administration approved the use of omidubicel (Omisirge) for myeloablative allogeneic HCT in patients aged ≥12 years with hematologic malignancies.11
There remains uncertainty over omidubicel’s outcomes relative to other alternative donor sources, such as haploidentical and unrelated donors. To address this, we performed an observational study comparing the clinical outcomes of patients who received omidubicel in the phase 3 clinical trial with those of alternative allogeneic donor sources during the same time period using data from the Center for International Blood and Marrow Transplant Research (CIBMTR) registry.
Methods
Patients who underwent allogeneic HCT with omidubicel or standard UCB were taken from the as-treated population of the phase 3 omidubicel clinical trial (ClinicalTrials.gov identifier: NCT02730299). Comparator cohorts were obtained from the CIBMTR registry for 8/8 HLA-matched unrelated donor (MUD), 7/8 mismatched unrelated donor (MMUD), or haploidentical donor transplantation. Haploidentical transplants must have used posttransplant cyclophosphamide (PTCy) for graft-versus-host disease (GVHD) prophylaxis. Patients in the CIBMTR cohorts must be aged between 12 and 65 years and have underwent first myeloablative allogeneic HCT for an underlying hematologic malignancy between 1 January 2017 and 31 December 2019. Eligible cancer diagnoses included acute myeloid leukemia (AML), acute lymphoblastic leukemia, and other leukemias, excluding AML with t(8;21), inv(16), or t(16;16), as well as chronic myeloid leukemia, myelodysplastic syndrome, and lymphoma. Full eligibility criteria are provided in the supplemental Appendix 1.
The primary objective of this study was to evaluate the time to neutrophil engraftment after myeloablative allogeneic HCT among different donor sources. Neutrophil engraftment was defined as achieving an absolute neutrophil count ≥0.5 × 109/L on 3 consecutive measurements. Secondary objectives included assessing platelet engraftment (defined as >20 × 109/L with no platelet transfusions in the preceding 7 days), overall survival (OS), disease-free survival (DFS), nonrelapse mortality, disease relapse, acute and chronic GVHD, chronic GVHD-free relapse-free survival (CRFS), and acute GVHD-free relapse-free survival (aGRFS). CRFS was defined as the time to disease relapse/progression, systemic therapy–requiring chronic GVHD, or death, or censored at last follow-up. Similarly, aGRFS was defined as disease relapse/progression, grade 3 to 4 acute GVHD, or death, or censored at last follow-up.
Statistical considerations
Differences in baseline characteristics across donor sources were assessed using the χ2 test for categorical variables and the analysis of variance for continuous variables. Kaplan-Meier analyses and Cox proportional hazards models were used to compare OS, DFS, and GRFS. Cumulative incidence functions and Fine-Gray analyses were used for engraftment, nonrelapse mortality, disease relapse, and GVHD outcomes, to account for competing risks. Definitions and competing risks for each clinical outcome are provided in supplemental Appendix 2. Analyses were based on patients with nonmissing data on adjustment factors, outcomes, and competing risks. Analyses of all outcomes were adjusted for potentially confounding baseline characteristics, including age, sex, weight, race, primary diagnosis, year of transplant, conditioning regimen, Karnofsky performance score, HCT comorbidity index, and disease risk index (DRI). DRIs in the CIBMTR cohorts were recalculated to align with omidubicel clinical trial definitions (supplemental Appendix 3).12
This retrospective study was approved by the institutional review board of Duke University.
Results
A total of 951 patients met the eligibility criteria for the study, including 108 patients from the phase 3 omidubicel trial (omidubicel, n = 52; standard UCB, n = 56) and 843 patients from the CIBMTR registry (MMUD, n = 65; MUD, n = 450; haploidentical, n = 328). Their baseline characteristics stratified by treatment group are summarized in Table 1. There were imbalances present in age, race, body weight, and malignancy diagnoses. Furthermore, patients in the CIBMTR cohorts had a greater proportion of high-risk and very high–risk DRIs (supplemental Appendix 3).
Longer posttransplant follow-up was available in the trial arms. The median follow-up was 48.1 months (95% confidence interval [CI], 38.8-51.8) in the omidubicel arm and 46.2 months (95% CI, 36.2-49.5) in the UCB arm.13 The corresponding median follow-up was 23.7 months (95% CI, 14.3-24.3) for the MMUD, 23.1 months (95% CI, 17.7-23.9) for the MUD, and 13.0 months (95% CI, 12.5-19.3) for the haploidentical cohorts. In all 3 CIBMTR cohorts, >20% of patients remained under follow-up beyond 24 months, and <10% of patients remained under follow-up beyond 36 months.
Engraftment
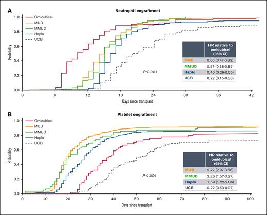
Allogeneic HCT with omidubicel demonstrated more accelerated neutrophil engraftment than other donor sources (Figure 1A). The median time to neutrophil engraftment was 10 days (95% CI, 8-13) with omidubicel compared to 15 days with MUD (95% CI, 14-15), 15 days with MMUD (95% CI, 15-17), 16 days with haploidentical transplants (95% CI, 16-17), and 20 days with standard UCB (95% CI, 19-24). After adjustment for baseline covariates, omidubicel neutrophil recovery compared favorably with that of haploidentical transplants (adjusted hazard ratio [HR], 0.40; 95% CI, 0.29-0.55; P < .001). In contrast, both omidubicel and standard UCB transplantation had slower platelet engraftment rates than other donor sources, with a median time to platelet engraftment of 43 days (95% CI, 39-55) for UCB, 35 days (95% CI, 31-40) for omidubicel, 26 days (95% CI, 24-27) for haploidentical, 19 days (95% CI, 19-24) for MMUD, and 19 days (95% CI, 19-20) for MUD (Figure 1B). In the adjusted model, haploidentical transplants had a faster rate of platelet engraftment than omidubicel, with an HR of 1.59 (95% CI, 1.22-2.06; P < .0001).
Rates of neutrophil and platelet engraftment by treatment arm. (A) Omidubicel demonstrated faster neutrophil engraftment than other donor sources. Standard UCB transplantation had the slowest neutrophil recovery. HR was expressed relative to omidubicel as reference. All analyses were adjusted for baseline characteristics as defined in “Methods.” (B) Both omidubicel and standard UCB showed slower rates of platelet engraftment relative to alternative donor sources from CIBMTR. The cumulative incidence curves are unadjusted, whereas the HRs represent adjusted analyses. Haplo, haploidentical.
Rates of neutrophil and platelet engraftment by treatment arm. (A) Omidubicel demonstrated faster neutrophil engraftment than other donor sources. Standard UCB transplantation had the slowest neutrophil recovery. HR was expressed relative to omidubicel as reference. All analyses were adjusted for baseline characteristics as defined in “Methods.” (B) Both omidubicel and standard UCB showed slower rates of platelet engraftment relative to alternative donor sources from CIBMTR. The cumulative incidence curves are unadjusted, whereas the HRs represent adjusted analyses. Haplo, haploidentical.
In a subgroup analysis restricting the CIBMTR cohorts (haploidentical, n = 236; MMUD, n = 21; MUD, n = 158) to patients who received allogeneic HCT from only peripheral blood stem cell source and supported by granulocyte-colony stimulating factor or granulocyte-macrophage colony-stimulating factor, omidubicel retained its faster rate of neutrophil engraftment relative to other haploidentical transplants (supplemental Appendix 4). Slower platelet engraftment with omidubicel also persisted relative to what was observed in haploidentical, MMUD, and MUD transplants.
Survival and disease relapse
There were no significant differences in OS or DFS across donor types after adjusting for baseline covariates (Figure 2). Similarly, the cumulative incidence of nonrelapse mortality, accounting for the competing risk of relapse, was comparable across donor sources in unadjusted and adjusted analyses (supplemental Appendix 5). There was no significant difference in the cumulative incidence of disease relapse when comparing each donor source to omidubicel in unadjusted or adjusted analyses (supplemental Appendix 5).
Kaplan-Meier survival curves. Survival curves for OS (A) and DFS (B) over ∼36 months of overlapping posttransplant follow-up across trial arms and CIBMTR cohorts. HRs for OS and DFS are based on analyses over the entirety of available follow-up for all study cohorts. One additional death in the omidubicel arm, and 2 additional deaths in the UCB arm were observed in the trial after 36 months. One additional DFS event was observed in the UCB arm after 36 months. The survival curves are unadjusted, whereas the HRs represent adjusted analyses. Haplo, haploidentical.
Kaplan-Meier survival curves. Survival curves for OS (A) and DFS (B) over ∼36 months of overlapping posttransplant follow-up across trial arms and CIBMTR cohorts. HRs for OS and DFS are based on analyses over the entirety of available follow-up for all study cohorts. One additional death in the omidubicel arm, and 2 additional deaths in the UCB arm were observed in the trial after 36 months. One additional DFS event was observed in the UCB arm after 36 months. The survival curves are unadjusted, whereas the HRs represent adjusted analyses. Haplo, haploidentical.
GVHD
All patients in the CIBMTR haploidentical donor group received PTCy for GVHD prophylaxis per the eligibility criteria. Patients who underwent allogeneic HCT with a 7/8 MMUD or 8/8 MUD most commonly received a calcineurin inhibitor-based regimen without PTCy (59% and 78%, respectively), followed by PTCy-based regimens (38% and 14%, respectively). Patients in the omidubicel and UCB cohorts received a calcineurin inhibitor combined with mycophenolate mofetil per trial protocol. Omidubicel was associated with a higher cumulative incidence of grade 2 to 4 acute GVHD than all other donor sources (Figure 3A). However, when restricted to grade 3 to 4 acute GVHD, omidubicel had similar rates relative to other donor sources (Figure 3B). There was no significant difference in the cumulative incidence of chronic GVHD (Figure 3C). Finally, aGRFS was comparable across treatment groups (Figure 4A). In the unadjusted analysis, CRFS appeared to be improved in omidubicel relative to MMUD, with an early separation of curves at ∼6 months (Figure 4B). After adjustment, the omidubicel group retained a significantly improved CRFS compared to the MMUD group (HR, 1.76; 95% CI, 1.11-2.79; P < .05) but did not differ from the other cohorts.
Cumulative incidence curves. (A) Grade 2 to 4 acute GVHD; (B) grade 3 to 4 acute GVHD; and (C) chronic GVHD. Panel C is the cumulative incidence curve of chronic GVHD over ∼36 months of overlapping posttransplant follow-up across trial arms and CIBMTR cohorts. HRs are based on analyses over the entirety of available follow-up for all study cohorts. Two additional chronic GVHD events were observed in the omidubicel arm after 36 months. The cumulative incidence curves are unadjusted, whereas the HRs represent adjusted analyses. Haplo, haploidentical.
Cumulative incidence curves. (A) Grade 2 to 4 acute GVHD; (B) grade 3 to 4 acute GVHD; and (C) chronic GVHD. Panel C is the cumulative incidence curve of chronic GVHD over ∼36 months of overlapping posttransplant follow-up across trial arms and CIBMTR cohorts. HRs are based on analyses over the entirety of available follow-up for all study cohorts. Two additional chronic GVHD events were observed in the omidubicel arm after 36 months. The cumulative incidence curves are unadjusted, whereas the HRs represent adjusted analyses. Haplo, haploidentical.
aGRFS and CRFS. The survival curves are unadjusted, whereas the HRs represent adjusted analyses. (A) The aGRFS was comparable across donor sources. (B) The unadjusted CRFS was better in the omidubicel and UCB arms. Shown are the proportions with aGRFS and CRFS over ∼36 months of overlapping posttransplant follow-up across trial arms and CIBMTR cohorts. HRs are based on analyses over the entirety of available follow-up for all study cohorts. One additional acute GRFS event in the UCB arm and 2 additional chronic GRFS events in the omidubicel arm were observed after 36 months. Haplo, haploidentical.
aGRFS and CRFS. The survival curves are unadjusted, whereas the HRs represent adjusted analyses. (A) The aGRFS was comparable across donor sources. (B) The unadjusted CRFS was better in the omidubicel and UCB arms. Shown are the proportions with aGRFS and CRFS over ∼36 months of overlapping posttransplant follow-up across trial arms and CIBMTR cohorts. HRs are based on analyses over the entirety of available follow-up for all study cohorts. One additional acute GRFS event in the UCB arm and 2 additional chronic GRFS events in the omidubicel arm were observed after 36 months. Haplo, haploidentical.
A post hoc sensitivity analysis was performed to account for the recent increasing use of PTCy in MUD and MMUD transplants. From CIBMTR, there were 65 patients (14%) who received an MUD transplant with PTCy and 28 patients (43%) who received an MMUD transplant with PTCy. In the MUD cohort, patients were more likely to receive PTCy if they had a diagnosis of AML or identified as a non-White race. In the MMUD cohort, females, patients with AML, and those with low or intermediate DRI were more likely to receive PTCy. The prior advantage of omidubicel compared to MMUD in CRFS was not observed in the sensitivity analysis when restricting to only MMUD patients receiving PTCy. Otherwise, there were no significant changes in DFS, relapse, aGRFS, and CRFS in the sensitivity analysis.
Discussion
Compared to haploidentical, standard UCB, MUD, and MMUD sources, omidubicel was associated with more rapid neutrophil engraftment and demonstrated comparable DFS, OS, nonrelapse mortality, and disease relapse. Standard UCB transplantation showed lower relapse rates but higher nonrelapse mortality than other donor sources, consistent with other reports.14,15 Omidubicel also demonstrated slower rates of platelet engraftment than haploidentical and unrelated donors, although it remained faster than standard UCB. Delayed neutrophil and platelet engraftment are known shortcomings of UCB transplantation, with granulocyte kinetics being particularly important in influencing morbidity and mortality.16-18 Therefore, our findings further reinforce omidubicel’s role as an effective and important alternative stem cell source.6
The rate of grade 2 to 4 acute GVHD favored haploidentical, MUD, and MMUD over omidubicel. Cord blood transplantation has historically been associated with reduced rates of GVHD due to lower immunogenicity.19,20 However, this study did not demonstrate this with either omidubicel or standard UCB. This difference may be related to the enhanced scrutiny involved in the grading and reporting of acute GVHD events within a clinical trial compared to real-world documentation. Further, variations in GVHD prophylaxis regimens by donor source were observed but not controlled for in the analysis. Notably, there was no significant difference in the rates of grade 3 to 4 acute GVHD or chronic GVHD, supporting the overall safety of omidubicel transplantation. In addition, CRFS was similar among most cohorts after adjustment. CRFS is a novel composite end point combining elements of DFS and chronic GVHD, and has been increasingly used to assess long-term outcomes in allogeneic HCT.21-23 Its advantage over any grade GRFS is the exclusion of GVHD cases that are mild and easily resolved, better representing the major causes of long-term morbidity after transplantation. Nevertheless, GVHD remains a significant complication of omidubicel and allogeneic HCT in general. Further studies are needed to investigate novel prophylactic strategies in allogeneic HCT with cord blood and cord blood–derived stem cell products.24-27
All patients in the haploidentical cohort of our study received PTCy. However, the use of PTCy in nonhaploidentical HCT was not yet common during this study period, accounting for only 14% and 43% of MUD and MMUD transplants, respectively. A sensitivity analysis was performed to restrict analysis to only MUD and MMUD transplants that used PTCy for GVHD prophylaxis. Although not statistically significant given the smaller sample size of MUD and MMUD patients available in this subanalysis, the HRs for OS of MUD and MMUD compared to omidubicel did change numerically from >1 to <1 (Figure 2; supplemental Appendix 6), which is directionally consistent with growing literature that demonstrate the benefit of PTCy in improving posttransplant outcomes.28-30 Nonetheless, only a small number of the MUD and MMUD patients received PTCy in this study, and definitive conclusions cannot be drawn from this sample size.
A fundamental limitation of this study is its nonrandomized design, which allows for heterogeneity in baseline characteristics, such as underlying malignancy, DRI, and year of transplantation. Therefore, included patients were required to meet similar eligibility criteria, and additional multivariable adjustments were made to mitigate the impact of potentially confounding covariates as much as possible. In addition, this study encompassed 2 data sources, using clinical data of omidubicel and standard UCB from a phase 3 clinical trial and of unrelated and haploidentical donors from the CIBMTR registry. Similar to prior studies that have used real-world controls, this method may introduce variability in outcome definitions, assessments, and reporting, as well as in clinical practices not captured by data analysis.30-32 In our study, definitions of clinical outcomes, competing risks, and DRI were harmonized between data sources (supplemental Appendix 3). In addition, although the phase 3 clinical trial was a multinational endeavor, the CIBMTR cohorts only included patients from the United States. Variations in adopting new standard-of-care practices during the study period, such as letermovir for preventing cytomegalovirus infections and ruxolitinib for treating acute GVHD, could have contributed to residual biases. Finally, the duration of follow-up was longer for the omidubicel cohort due to the availability of extended follow-up data, compared to the prespecified cutoff in the CIBMTR data extraction. Because very few additional events were observed in this period (no more than 3 events across omidubicel and UCB arms for any of the outcomes), figures were truncated at 3 years of follow-up.
Despite the promise of cord expansion, the optimal positioning of omidubicel among the available stem cell donor sources is still being determined. In the absence of a head-to-head randomized clinical trial, observational studies using the CIBMTR registry as a contemporaneous external control can offer valuable insight into the relative efficacy of newly approved therapeutic agents. In this CIBMTR study, omidubicel demonstrated similar GRFS and hastened neutrophil recovery, a hallmark of successful engraftment, compared to unrelated donor and haploidentical transplantations. These results support the role of omidubicel as a competitive donor source for myeloablative allogeneic HCT in the current transplant landscape and offer valuable insights to guide the selection of donor graft sources. The approval of omidubicel in the United States will broaden the availability of viable stem cell sources for allogeneic HCT, particularly for patients from racial minority backgrounds.
Acknowledgments
The authors thank the investigators, patients, and caretakers who participated in the phase 3 clinical trial for omidubicel. Furthermore, the authors thank the CIBMTR member centers for reporting patients to the CIBMTR (https://www.cibmtr.org/About/WhoWeAre/Centers/Pages/index.aspx), the patients who contributed data to CIBMTR, and the CIBMTR staff who made this research possible. Finally, the authors thank Kristin Bolcer and the Envision Pharma team for their editorial support.
C.L. was supported by the National Institutes of Health/National Heart, Lung, and Blood Institute (HL007057-46).
Authorship
Contribution: M.E.H. and R.S. designed the research, with subsequent input from C.L., S.S., and H.S.; G.S., Y.S., C.X., C.H., and J.E.S. performed the statistical analysis, with subsequent input from X.-Y.T., M.-J.Z., and L.J.B.; and C.L. wrote the first draft of the manuscript, with input and editing provided by all authors.
Conflict-of-interest disclosure: C.L. has received consulting fees from Rigel Pharmaceuticals and served on the advisory boards for Autolus Therapeutics and ADC Therapeutics. M.E.H. received research funding and consulting fees from Gamida Cell. G.S., Y.S., C.X., C.H., and J.E.S. are employees of Analysis Group, Inc, which received consulting fees from Gamida Cell to conduct this study. S.S., H.S., and R.S. are employees of Gamida Cell. The remaining authors declare no competing financial interests.
Correspondence: Chenyu Lin, Division of Hematologic Malignancies and Cellular Therapy, Duke University School of Medicine, DUMC 3961, 2400 Pratt St, Suite 5000 Durham, NC 27705; email: chenyu.lin@duke.edu.
References
Author notes
C.L. and S.S. contributed equally to this study.
Deidentified data are available on request from the corresponding author, Chenyu Lin (chenyu.lin@duke.edu).
The full-text version of this article contains a data supplement.




