Key Points
ICI rechallenge in R/R classic HL can lead to high response rates comparable with uninterrupted ICI therapy.
ICI rechallenge had acceptable safety profiles with grade 3 to 5 AEs occurring in 31%.
Visual Abstract
Immune checkpoint inhibitors (ICIs) have revolutionized therapy for relapsed/refractory (R/R) Hodgkin lymphoma (HL). Some patients discontinue ICIs after initial response or owing to immune-related adverse events (AEs). Efficacy and safety of ICI rechallenge, defined as reintroducing ICIs after previous discontinuation, remain unclear. A systematic literature search was performed through 10 January 2025, following the Preferred Reporting Items for Systematic Reviews and Meta-Analyses guidelines (PROSPERO CRD42023403204). Studies reporting outcomes of ICI rechallenge in patients with R/R HL were included. Data on overall response rate (ORR), complete response (CR) rate, progression-free survival (PFS), and treatment-related AEs were extracted. Pooled response rates and 95% confidence intervals (CIs) were calculated. A total of 207 patients from 17 studies were included. The pooled ORR was 63% (95% CI, 55-70) with a CR rate of 43% (95% CI, 35-52). Median PFS after rechallenge was 13.3 months (95% CI, 7.9-18.8). Any-grade and grade 3 to 5 AEs occurred in 47% (95% CI, 17-80) and 31% (95% CI, 23-40), respectively. ICI rechallenge in R/R classic HL can lead to high response rates and durable remissions comparable with uninterrupted ICI therapy with acceptable safety profiles. This strategy may be a viable option, although careful patient selection and monitoring are still necessary.
Introduction
Classic Hodgkin lymphoma (cHL) is a malignancy characterized by an immune-rich tumor microenvironment and frequent 9p24.1 amplifications and programmed death-ligand 1 overexpression on Reed-Sternberg cells.1 These unique features make cHL susceptible to immune checkpoint inhibitors (ICIs), which have improved outcomes in relapsed/refractory (R/R) cHL.2 For example, in the phase 2 KEYNOTE-087 study of pembrolizumab in R/R cHL, the overall response rate (ORR) was 71.4% with a complete response (CR) rate of 27.6%.3 Similarly, nivolumab achieved up to 69% ORR in the CheckMate 205 study. Combined with the durable responses, these studies have led to regulatory approval of programmed cell death protein 1 inhibitors as a standard of care in patients with R/R cHL.
Despite the efficacy of ICIs, a subset of patients with cHL eventually require therapy discontinuation. Although some patients discontinue ICIs after achieving a remission, immune-related adverse events (irAEs), such as pneumonitis, colitis, or endocrinopathies, can also lead to ICI discontinuation.4 Management of these patients poses a clinical challenge because most patients subsequently progress. Retreatment with ICIs, often termed an ICI rechallenge, is 1 potential strategy to regain disease control. Preliminary evidence from case series and subset analyses suggests that R/R cHL might remain sensitive to ICIs upon re-exposure.5
Given the limited data, the efficacy and risks of ICI rechallenge in cHL remain undefined. It is also uncertain how outcomes of ICI rechallenge compare with those of patients who continue therapy without interruption. To address these knowledge gaps, we performed a systematic review and meta-analysis of published studies reporting ICI rechallenge in cHL.
Materials and methods
This systematic review was conducted following the Preferred Reporting Items for Systematic Reviews and Meta-Analyses guidelines.6 The research protocol was registered in PROSPERO with the registration number CRD42023403204. We performed an exhaustive literature search on MEDLINE, Embase, and Web of Science databases from their inception to 10 January 2025. The detailed search terms are presented in supplemental Table 1. The selection criteria of the study are presented in supplemental Table 2. Inclusion criteria were predefined to select peer-reviewed articles that included patients with cHL undergoing ICI rechallenge. Studies reported that data on efficacy, including an ORR, CR rate, progression-free survival (PFS), and safety or AEs, were included. Severe AEs (SAEs) were defined as grade 3 to 5 AEs.
Initial screenings based on titles and abstracts were conducted independently by 2 reviewers (N.T. and G.J.), with disagreements resolved through discussion or consultation with a third reviewer (Y.N.). Full-text articles were then assessed for eligibility according to the predefined inclusion and exclusion criteria using EndNote 21 reference management software. References of the articles assessed for the full-text were also manually screened. Extracted information included study characteristics (authors, year of publication, study design), participant demographics, ICI class, therapeutic regimens, number of patients in each treatment group, number of any-grade and grade 3 to 5 irAE and treatment-related AE (trAE), and outcomes including ORR, CR, PFS, overall survival, and AEs.
We assessed the risk of bias for each study using the Newcastle-Ottawa scale. Publication bias was evaluated by constructing funnel plots for the primary outcomes and applying Egger test when ≥10 studies were available. All statistical analyses were conducted using R (version 4.4.3), and tests were 2sided with a significance level of P value <.05. Pooled analyses were performed using R packages meta (version 8.0.2) and metafor (version 4.8.0). Dichotomous outcomes, including ORR, CR, and AEs, were estimated with proportion, whereas time-to-event data were reported as median value with 95% confidence interval (CI). Heterogeneity was assessed using Cochran Q test and I2 statistic, with I2 of <50% and P value >.05 indicating moderate heterogeneity. A common-effects model was applied when heterogeneity was not significant, and a random-effect model was used otherwise.
Results
The search results are presented in supplemental Figure 1. Seventeen articles were included in the systematic review. The included studies comprised 7 phase 2 clinical trial subsets, 1 multicenter retrospective study, and 8 single-institution retrospective series or case series.4,5,7-15 Studies that did not distinctively report the details of the rechallenged patients were only included in qualitative analysis.4,11,16,17 The characteristics of the included studies are presented in supplemental Table 3. Except for 1 study that did not specify the study population,4 all patients included in the studies had R/R cHLs. The details related to their initial ICI treatment are presented in supplemental Table 4. Most patients had initial ICI discontinuation after responses. The best responses to the initial ICI were mainly complete or partial responses, except for the cohort in Mei et al in which 72% had progressive diseases on ICIs.15
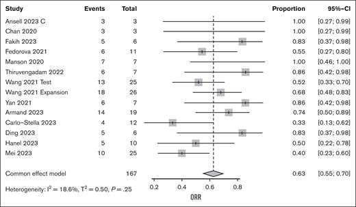
The pooled ORR after rechallenge across all studies was 63% (95% CI, 55-70; I2 = 18.6%; Figure 1), with the pooled CR rate being 43% (95% CI, 35-52; I2 = 36.7%; Figure 2). From pooled analysis, the weighted average median PFS was 13.3 months (95% CI, 7.9-18.8; I2 = 84.9%; Figure 3). Individual studies reported median PFS ranging from up to ∼6 months to 22 months (supplemental Table 3). Across 107 patients with available safety data, the pooled rate of any-grade AEs during rechallenge was 47% (95% CI, 17-80; I2 = 69.6%; supplemental Figure 2). Two patients had permanent ICI discontinuation owing to pneumonitis and hypersensitivity reaction. SAEs occurred in 31% of the included patients (95% CI, 23-40; I2 = 0%) (supplemental Figure 3). Two patients had to discontinue ICIs owing to irAEs (1 with pneumonitis and the other with hypersensitivity).13 In the study by Yan et al, 2 patients with grade 3 ICI-related pneumonitis had recurrence of ICI-related pneumonitis upon rechallenge but with lesser severity (1 with grade 1 and the other with grade 2).14 The risk of bias for each study is presented in supplemental Figure 4, and the publication bias assessment using the funnel plots showing a relatively symmetrical distribution is presented in supplemental Figure 5. However, Egger test showed a statistically significant asymmetry for ORR (t = 3.31; degrees of freedom = 12; P = .0063) and CR rate (t = 2.96; degrees of freedom = 11; P = .0129).
Discussion
The findings indicate that ICI rechallenge can lead to high response rates in R/R cHL comparable with uninterrupted ICI therapy. Although comparing the present rechallenge outcomes with those from the uninterrupted ICI therapy in the historical cohorts must be done cautiously, the ORR of 63% aligns with previous trial data targeting R/R cHL, suggesting that rechallenging the patient with ICI after a temporary treatment interruption may not compromise subsequent efficacy.1,2,5
Our findings provide a clinical correlation to the concept suggesting that a break in therapy does not preclude patients from the trial to the same class of agent. The safety profile of rechallenge also remains similar to the historical data. Although the pooled incidence is higher than the historical data from CheckMate 205 (grade 3 or 4 trAEs in 27.6%), KEYNOTE-087 (grade 3 or 4 AEs in 12.9%), and a phase 3 KEYNOTE-204 (grade ≥3 trAEs in 20%), the present result was primarily driven a study by Wang et al, which combined camrelizumab with decitabine, that reported leukocytopenia as the most common SAEs.13 Patients who stopped ICIs owing to severe toxicity may still benefit from ICIs without a considerable risk of recurrence of irAEs upon re-exposure. In the Italian real-world analysis, 20% of patients had grade 3 to 4 irAEs with initial programmed cell death protein 1 therapy without recurrence of the same toxicities.18 In the included studies, most did not document toxicities from the initial ICI exposure. Thus, it is challenging with the current data to conclude whether patients having irAEs from previous ICIs may be more susceptible to irAEs on rechallenge. In practice, rechallenge decisions often balance the potential benefit against the risk of severe toxicity, especially if the patient has a deep initial remission. If the initial discontinuation was caused by a high-grade irAE, the clinician should carefully evaluate whether rechallenging is necessary. Rechallenge could also be considered in a patient who progressed on ICI after a partial response if chemoimmunotherapy or immunotherapy combined with other targeted agents is available to complement the effect of ICIs. Allogeneic hematopoietic cell transplant is another context. Patients who relapse after transplant and receive ICIs can potentially respond but with a risk of graft-versus-host disease exacerbation.19,20 Overall, future studies should focus on risk stratification of patients with R/R cHL who require ICI rechallenge to optimize patient selection and mitigate rechallenge toxicity.
Several limitations should be noted for this study. First, this study included only peer-reviewed articles, which confers potential biases and limits generalizability. We also excluded conference abstracts owing to the lack of peer review, limiting the yield of possible cases in our analyses. Second, patients who undergo ICI rechallenge might be a selected subset with more favorable biology or better previous responses, which could affect the reported efficacy. There was variability in patient populations and how “rechallenge” was defined across studies. The different clinical scenarios could lead to heterogeneity in outcomes. Given that the data related to toxicities in initial ICI therapy were not available in most of the included papers, we could not describe consistent trends to suggest whether patients who had irAEs with the initial ICIs would be more susceptible to having toxicities upon rechallenge. In addition, although PFS2, defined as the time from the initial ICI initiation to progression or death after ICI rechallenges, is a clinically important outcome, we were unable to calculate PFS2 owing to the lack of the necessary data for this analysis. Finally, although visual inspection of the funnel plot did not reveal clear asymmetry, Egger regression test showed statistically significant results. We cannot rule out publication bias, and the results should be interpreted with caution.
Despite the limitations, this study is the first to summarize the efficacy and safety in patients with R/R cHL rechallenged with ICIs after AEs or initial responses. ICI rechallenge in R/R HL might be a viable strategy, achieving comparable efficacy and safety profiles with patients treated with ICIs without interruption. With judicious patient selection and supportive care, ICI rechallenge can salvage meaningful responses and prolong disease control in R/R cHL.
Authorship
Contribution: Y.N. conceived the study, searched the literature, assessed the quality of the studies, and drafted the manuscript; Y.H. assessed the quality of the studies and performed the data analyses; N.T. and G.J. searched the literature and assessed the quality of the studies; and Y.F., U.D., G.S.N., J.P., S.M.A., and J.P.A. supervised the process and revised the manuscript.
Conflict-of-interest disclosure: The authors declare no competing financial interests.
Correspondence: Jithma P. Abeykoon, Division of Hematology, Mayo Clinic, 200 First St SW, Rochester, MN 55901; email: abeykoon.jithma@mayo.edu; and Yoshito Nishimura, Division of Hematology, Mayo Clinic, 200 First St SW, Rochester, MN 55901; email: nishimura.yoshito@mayo.edu.
References
Author notes
Y.N. and Y.H. are joint first authors.
Data available on request from the corresponding authors, Jithma Abeykoon (abeykoon.jithma@mayo.edu) and Yoshito Nishimura (nishimura.yoshito@mayo.edu).
The full-text version of this article contains a data supplement.



