Abstract
Background: Although microvessel density increases significantly from monoclonal gammopathy of undetermined significance (MGUS) to multiple myeloma (MM), we have been unable to demonstrate an increase in expression of VEGF by isolated plasma cells between MGUS and MM (add your Blood ref). When MM cell lines are grown in co-culture with marrow derived stromal cells there is upregulation of VEGF and IL6. This effect is thought to be mediated primarily by the stromal cells, although plasma cells can also secrete these cytokines to form an autocrine pathway. We examined if there is differential expression of VEGF when plasma cells derived from various stages of plasma cell disorders (MGUS, smoldering multiple myeloma (SMM), and MM) are studied in co-culture with stromal cells.
Methods: Plasma cells were obtained from fresh marrow aspirates from patients with MGUS, SMM or MM. Normal control plasma cells were obtained at the time of orthopedic surgeries. Plasma cells were isolated from whole marrow using a magnetic bead separation technique with antibodies against CD138. The marrow stromal cells were obtained from an established stromal cell line from a patient with MGUS. Plasma cells were then grown in co-culture with stromal cells, with control wells having either only stromal cells or only plasma cells, with RPMI medium containing 10% fetal bovine serum. The supernatant was removed after 48 hour cultures, spun down to remove cells and frozen at −70C. VEGF and IL6 levels were determined using ELISA kits (R&D, Minneapolis, MN).
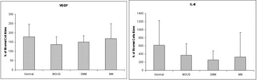
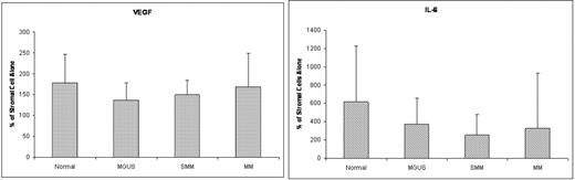
Results: A total of 71 samples were studied including normals (10), MGUS (8), SMM (15) and MM (38). The median VEGF levels with plasma cells alone were 30.2 pg/mL (range; 16–132), with stromal cells alone was 737 pg/ml (316–1826) and with the co-culture was 1057 pg/mL (306–4267), representing a median increase of 41% (−48% to 331%) with co-culture. There was no significant difference between the disease groups in terms of the baseline VEGF secretion by plasma cells or the increase in VEGF with coculture (Figure). The median IL-6 levels with plasma cells alone were 22.3 pg/mL (range; 4–276), with stromal cells alone was 2457 pg/ml (906–5359) and with the co-culture was 5982 pg/mL (301–129,000), representing a median increase of 99% (−67% to 3362%) with co-culture. There was no significant difference between the disease groups in terms of the baseline VEGF secretion by plasma cells or the increase in VEGF with coculture (Figure).
Conclusions: In this study we clearly demonstrate the upregulation of VEGF and IL-6 when primary cells are grown in contact with marrow derived stromal cells validating previous observations with cell lines, and once again highlighting the importance of these cytokines and the marrow microenvironment. However, since there is no significant difference between the various groups studied, higher absolute levels of VEGF and IL-6 in MM may be solely related to the effect of an increased tumor burden on marrow stromal cells. However, this does not exclude differences between disease stages in terms of the marrow stromal cells, which we are currently studying.
Disclosure: No relevant conflicts of interest to declare.
Author notes
Corresponding author
