To the editor:
We carefully read the paper by Zimmerman and colleagues1 about the possible effect of hydroxyurea on the transcranial doppler flow velocities in children with sickle cell disease. We reviewed the transcranial dopplers (TCD) performed on the children with sickle cell disease in our hospital from 0 to 25 years old, treated or not treated with hydroxyurea, and we compared the trend of the time-averaged maximum velocity (TAMV) measured in the middle cerebral arteries and the incidence of stroke.
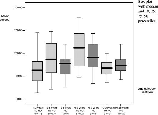
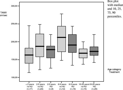
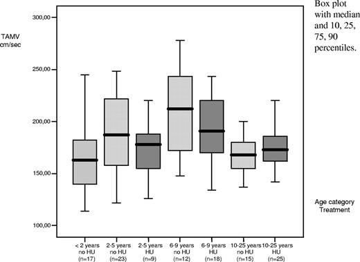
Among our 119 patients, we found that in the patients not treated with hydroxyurea, the velocity increased with age to a maximum between 6 and 9 years old (P < .05). This significant increase does not appear in the patients treated with hydroxyurea (Figure 1). Following the 85 patients who had repeated TCD after a mean duration of 3.1 (± 1.5) years, we noticed that the velocity was increasing in the patients whose first TCD was normal (148 ± 16 cm/s to 172 ± 21 cm/s, n = 34, P < .01), stabilizing in the patients whose first TCD was conditional (181 ± 8 cm/s to 181 ± 25 cm/s, n = 30, P = .75); and decreasing in the patients whose first TCD was abnormal and who were thereafter treated by hydroxyurea between the first and the second TCD (235 ± 18 cm/s to 202 ± 34 cm/s, n = 21, P < .01). In these 21 patients with an abnormal first TCD, the velocities decreased to the normal/conditional range in 8 of them. This strengthens the observation of Zimmerman and colleagues1 that children with the highest baseline doppler velocity had the greatest decrease in response to hydroxyurea.
Median time-averaged maximum velocity (TAMV) at the first transcranial doppler (TCD) in patients treated and not treated with hydroxyurea for each age category. Box plots show medians with 25 percentiles; bars represent percentiles 10-90 sd.
Median time-averaged maximum velocity (TAMV) at the first transcranial doppler (TCD) in patients treated and not treated with hydroxyurea for each age category. Box plots show medians with 25 percentiles; bars represent percentiles 10-90 sd.
In the 80 patients treated with hydroxyurea with a follow-up of 555 patient-years, 2 presented stroke, and of the 4 patients with a previous history of stroke, only one presented a new episode for a follow-up of 35 patient-years. For the 23 patients receiving hydroxyurea based on an abnormal TCD and no other clinical risk, no stroke was recorded for 84 patient-years. Seventeen of these 23 patients (mean age 5.5 ± 1.8 years) had repeated TCD after a mean duration of hydroxyurea treatment of 31 (± 14) months. Their mean velocity dropped from 231 (± 22) cm/s to 208 (± 24) cm/s (P < .01). Magnetic resonance angiography (MRA) from 14 of these patients showed vascular stenosis in 6 of them. This stenosis persisted in 2 of the 5 patients on repeated MRA performed after a mean time of 4 (± 1) years.
Concerning the secondary prevention of stroke, the recurrence rate of stroke in our patients treated with hydroxyurea was 2.9 for 100 patient-years, similar to that recorded in chronically transfused patients.2,3 However, in the primary prevention of stroke, the incidence of first stroke in our patients with hydroxyurea was 0.36 for 100 patient-years, lower than in nontransfused patients of other larger cohorts4 and lower than in the cohort of Zimmerman and colleagues (0.52 for 100 patient-years),1 without using maximum tolerated dose of hydroxyurea.5
Our preliminary results therefore indicate that, in the patients at risk for stroke on the basis of transcranial doppler, hydroxyurea might be an effective and simpler alternative to chronic transfusion, as already observed in previous studies.1,6
Authorship
Conflict-of-interest disclosure: The authors declare no competing financial interests.
Correspondence: Alina Ferster, Department of Hematology-Oncology, Academic Children's Hospital Queen Fabiola, Universite Libre de Bruxelles (ULB), Brussels, Belgium; e-mail: aferster@ulb.ac.be.

