Abstract
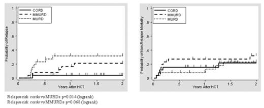
We conducted a matched cohort analysis comparing relapse rates and outcomes for patients receiving transplants from cord blood, matched unrelated donors, and mismatched unrelated donors following myeloablative conditioning in our center’s recent experience. Between April 2006, when our current cord blood protocols opened, and February 2008, 26 consecutive patients underwent CBT following conditioning with 13.2 Gy TBI, 120 mg/kg cyclophosphamide (CY), and 75 mg/m2 fludarabine (FLU) for acute leukemias in morphologic CR (n=24) or chronic myeloid leukemia not in blast crisis (n=2). Twenty-three patients received two units (5 of whom had one of the two units ex vivo expanded) and three received single units. Matching between units and patient was 4/6:4/6 (n=10), 4/6:5/6 (n=5), 5/6:5/6 (n=7), 6/6:6/6 (n=1), and single 5/6 (n=3). For paired analysis with each cord patient, waiver of consent was obtained from the IRB and one matched 10/10 unrelated donor patient (MURD) and one mismatched (9/10 n=23, 8/10 n=3) unrelated donor patient (MMURD) was selected from our center’s database on the basis of identical disease status and similar age without knowledge of transplant outcome. All unrelated donor patients underwent myeloablative transplantation following conditioning with CY/TBI or busulfan (BU)/CY between November 2001 and February 2008 (median April 2005). Patients were matched for disease type, cytogenetic risk status, minimal residual disease status (MRD), and, for patients beyond CR1, time from diagnosis to relapse. Specific diseases and disease status were ALL n=10: CR1 n=8 (MRD n=3), CR2 n=1, CR3 n=1 (MRD n=1), Philadelphia chromosome positive n=3; AML n=14: CR1 n=8 (MRD n=1), CR2 n=6 (MRD n=2); CML n=2 (CP1 n=1, CP2 following blast crisis n=1). Median ages and range for patients were: CBT 23 (0.6–42), MURD 25 (1–41), and MMURD 25 (1–48), and median differences in age between the cord recipient and their unrelated donor matched pairs were 7.8 and 4.6 years for MMURD and MURD, respectively. Median follow-up for surviving cord patients is 16 months (range 7.5–26). There has been only 1 relapse among cord patients versus 8 relapses among MURDs and 5 relapses among MMURDs. Transplant related mortality (TRM) between each group is comparable. Cause specific hazard for relapse is significantly decreased when comparing cords to MURDs by logrank test (p=0.014) and trends toward decrease when comparing cords to MMURDs (p=0.068) (Figure 1). Two year cumulative incidence (CI) of relapse is 3.8% (95% CI 0.3–16.4) for cord patients, 31.4% (95% CI 14.9–49.6) for MURDs, and 21% (95% CI 7.6–38.9) for MMURDs. Two year CI of TRM is 21.6% (95% CI 7.5–40.4) for cord patients, 22.9% (95% CI 8.3–41.8) for MURDs, and 31.8% (95% CI 15–50.1) for MMURDs. Previous data suggest that double unit CBT, as compared to single unit CBT, may markedly reduce relapse rates. The majority of CBT patients included in this analysis underwent double unit CBT, and this strategy may contribute to our observations. Additionally, myeloablative MURD and MMURD TBI regimens at our center involve 12 Gy in contrast to the 13.2 Gy in our CBT regimens. This may also account to some degree for lower relapse rates. Larger numbers and longer follow-up will be needed to confirm these observations, but the possibility of decreased relapse rates without increased TRM is promising. Growing inventories of high quality cord blood units coupled with ongoing improvements in supportive care for CBT patients should lead to continued expansion of the role of CBT.
Relapse and TRM following transplantation.
Disclosures: No relevant conflicts of interest to declare.
Author notes
Corresponding author
