Abstract
Abstract 2874
Introduction Cytogenetic abnormalities are concerned the major novel prognostic factors in patients with newly diagnosed multiple myeloma (MM). Chromosome 1 abnormalities, mainly 1q gain and 1p loss, are regarded as major prognostic factor in MM and their presence was shown to be associated with unfavourable disease course, although they often coexist with other genetic changes and amp1q21 alone was not showed to be an adverse prognostic factor in all studies.
Methods We explored the prognostic value of amp1q21 alone and in coexistence with del17p13, del13q14 and t(4, 14) detected by fluorescence in situ hybridization (FISH) in newly diagnosed MM patients. The study was conducted in a cohort of 79 newly diagnosed MM patients upon the local Ethics Committee approval and according to guidelines of Declaration of Helsinki. All patients received first line regimens including thalidomide in a daily dose of 100 mg: 59 (75%) patients were treated with CTD (cyclophosphamide, thalidomide, dexamethasone) and 20 (25%) patients with MPT (melphalan, prednisone, thalidomide). Then 28 (35%) patients previously treated with CTD were given high-dose therapy with autologous stem cell support (HDT/ASCT).
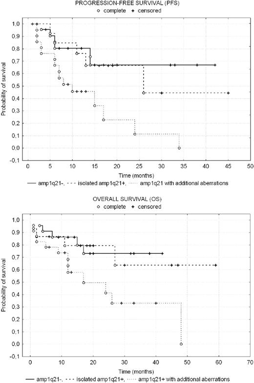
Results FISH analysis detected amp1q21 in 39 (49%), del13q14 in 38 (48%), t(4;14) in 16 (20%) and del17p13 in 13 (16%) patients. In 24 (30%) patients amp1q21 was combined with del13q14, in 12 (15%) with t(4;14) and in 5 (6%) with del17p13. The presence of amp1q21 correlated significantly with del13q14 and t(4;14). In the whole cohort of patients, the median PFS was 32.3 months in amp1q21-negative and 14.4 months in amp1q21-positive patients (p=0.049); the median OS was accordingly 40.0 and 26.2 months (p=0.027). In amp1q21-positive patients, the coexistence of additional aberrations made the outcome worse: del13q14 significantly shortened both PFS (22.8 vs 8.5 months, p=0.018) and OS (not reached vs 27 months, p=0.033), del17p13 significantly shortened OS (27.6 vs 11.5 months, p=0.048) and t(4;14) also significantly shortened OS (not reached vs 18.9 months, p=0.012). Moreover, analysis of patients with isolated amp1q21 showed that they have similar prognosis as amp1q21-negative patients (PFS not reached vs 22.7 months, p>0.05 and OS not reached for both, p>0.05). On the other hand, the amp1q21-positive patients with any of additional aberrations have significantly shortened survival: the median PFS of 8.5 months was significantly shortened in comparison both with amp1q21-negative patients (p=0.006) and with patients with isolated amp1q21 (p=0.018); the median OS of 16.7 months was significantly shortened in comparison with both of abovementioned groups (accordingly p=0.032 and p=0.033). The Kaplan-Meier estimates of PFS and OS are illustrated in Figure 1.
Conclusions We demonstrate that isolated amp1q21 is not associated with poor prognosis in newly diagnosed MM patients treated with thalidomide. Our data clearly show that patients carrying amp1q21 accompanied by other genetic abnormalities, like del13q14, del17p13 or t(4;14), have significantly shortened PFS and OS than patients without amp1q21 or isolated amp1q21 and thalidomide-based regimens should not be recommended in this subset of patients.
Amp1q21-positive patients with additional aberrations had significantly shortened PFS and OS than amp1q21-negative patients (PFS: 8.5 months vs not reached, p=0.006: OS: 16.7 months vs not reached, p=0.032) and than patients with isolated amp1q21 (PFS: 8.5 vs 22.7 months, p=0.018; OS: 16.7 months vs not reached, p=0.033). The difference in PFS and OS between amp1q21-negative patients and patients with isolated amp1q21 was not statistically significant (p>0.05 for both).
Dmoszynska:Mundipharma: ; Roche: Honoraria.
Author notes
Asterisk with author names denotes non-ASH members.
