The chimerism analysis after allogeneic haematopoietic stem cell transplantation (HSCT) is a useful tool to monitor the engraftment of donor cells and to early predict graft failure or disease relapse. Among several available methods to perform chimerism study, multiplex fluorescent short tandem repeat (STR) analysis represent a sensitive, accurate and reproducible technique. It provide a high rate of discrimination between donor and recipient cells since that fluorescent signal is proportional to the cells number, obtaining a quantitative assessment of chimerism.
Evaluation of a possible correlation between basal donor/recipient allelic discrepancies and post-transplant outcome in terms of graft versus host disease (GvHD) development, neutrophil engraftment, relapse, DFS and OS.
We enrolled 111 patients (pts) affected by onco-haematological diseases, consecutively submitted to HSCT at our division between February 2005 and December 2012. Pts were 67 males and 44 females with a median age of 51 years (range 14-70). Underlying diseases were: 58 AML, 10 MDS, 16 ALL, 8 CLL, 6 MM, 2 HL, 9 NHL, 1 IMF, 1 MPD. Myeloablative conditioning regimen was used in 26 pts while a reduced conditioning regimen was used for the other 85 pts. Graft was obtained from sibling donor and unrelated donor in 65 and 46 pts, respectively. GvHD prophylaxis was performed with cyclosporine (CSA) and methotrexate in 61 pts, CSA and mycophenolate mofetil in 43 pts and CSA in 7 pts. Donor and recipient allelic status was performed using a multiplex PCR amplification of ten STR loci: Amelogenin alleles X/Y, D3S1358, FGA, D8S1179, D18S51, D13S317, vWA, D21S11, D5S818, D7S820. We evaluated the donor/recipient (D/R) match or mismatch for each locus and the following variables: GvHD development and onset time, time to neutrophil engraftment, relapse, DFS and OS. Statistical analysis was performed by Kaplan Meier analysis using IBM SPSS Statistics 20 Core System.
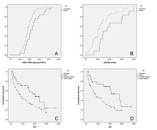
Pts with D/R mismatch for D8S1179 locus achieved neutrophil engraftment (ANC>1* 109/L) at a median time of 18 days (CI 95% 17.202-18.798) compared with 21 days (CI 95% 17.328-24.672) of pts with D/R match for the same locus (p=0.007) (Figure 1A).
Pts with D/R mismatch for D3S1358 locus developed acute GvHD at a median time of 20 days (CI 95% 15.781-24.219) compared with 29 days (CI 95% 15.421-42.579) of pts with D/R match for the same locus (p=0.031) (Figure 1B).
Pts with D/R mismatch for D3S1358 locus showed an OS of 16 months (CI 95% 11.016-20.984) compared with 41 months (CI 95% 25.420-56.580) of pts with D/R match for the same locus (p=0.025) (Figure 1C).
Pts with D/R mismatch for D8S1179 locus showed an OS of 16 months (CI 95% 8.528-23.472) compared with 56 months (CI 95% 11.254-78.057) of pts with D/R match for the same locus (p=0.012) (Figure 1D).
No relationships were found with relapse, DFS neither for the other loci.
Our results highlight that pts who presented a D/R mismatch for D8S1179 locus showed an earlier neutrophil engraftment but a worse OS compared with the others. Moreover, for D3S1358 locus, D/R mismatch was associated with an earlier onset of acute GvHD after HSCT and with a shorter OS than the D/R match ones.
STRs are highly polymorphic di-, tri- and tetra-nucleotide repeat non-coding sequences, which are interspersed throughout the genome. Whether or not discrepancies between donor and recipient basal allelic status could be considered useful in predicting post-transplant outcome will require validation in a large sample of pts.
No relevant conflicts of interest to declare.
