Abstract
Background, methods and aims of the study.
It is widely established that the prognosis of patients with acute myeloid leukemia (AML) is related to clinical (age, denovo or secondary leukemia, presence of comorbidities), cytogenetic and molecular (e.g. FLT3-ITD, NPM1 gene mutation.) factors. We have developed a Comprehensive Risk Score (CRS) identifying three prognostic subgroups with favorable (low risk karyotype or intermediate karyotype + mutations of NPM1 gene without FLT3-ITD), unfavorable (high risk cytogenetics or FLT3-ITD without NPM1 mutation or secondary AML) and intermediate (including all the other patients not belonging to previous groups) prognosis. The clinical utility of CRS was tested on a cohort of 292 AML patients included in the REGAL registry, a regional Italian registry that was established in October 2010 at the University of Genoa.
Results.
Analysis of age distribution confirmed the increased incidence of AML in patients older than 60 years (n. 182, 62.4%). Patients with de novo or secondary AML were 210 (71.9%) and 82, (28.1%) respectively. Patients with significant and often multiple comorbidities at diagnosis were 131 (44.8%). Seventeen patients (6%) received only supportive therapy, 217 (74.3%) intensive induction regimens (mainly FLAG-Ida and 3+7), including 96% of patients with age below 60 years and 61% of those over the age of 60 years. Therapy with hypomethylating agents (azacitidine and decitabine) was given to 31 patients (10.6%).
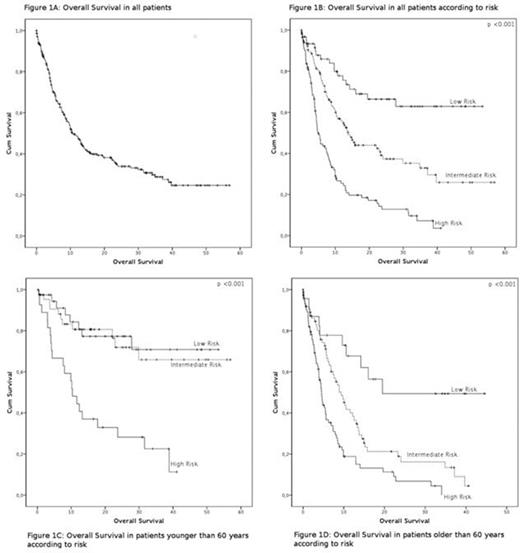
In the whole cohort of patients 24 months projected survival (OS) was 66% among 62 patients defined as low risk according CRS (median not reached), 37,9% among 118 intermediate risk patients (median 13.8 months) and 12,7% in 112 patients included in the unfavorable risk group (median survival 4.8 months) (p =0.000, Fig. 1).
In patients aged younger than 60 years, OS of favorable and intermediate risk groups were similar (77% and 72% in 39 low risk and in 44 intermediate risk patients, respectively), whereas the outcome of 27 high risk patients was worse (OS 28.2%, median survival of 10,3 months, p 0.0001). In the group of elderly patients (> 60 years) the outcome of the intermediate group was rather similar to that observed in the poor risk group (OS 16% and 7% in 74 intermediate and in 85 poor risk patients, respectively, p n.s). On the contrary OS of 23 favorable risk patients was good (49%, p = 0.0015).Twenty-nine patients have actually received an allogeneic bone marrow transplant (BMT) during first CR (66% of 44 with indication) and 14 in second or third CR. The sources of stem cells have been HLA-identical and haploidentical sibling in 45% and 50% of patients, respectively.
Discussion and conclusions.
Our study suggests that the predictive value of CRS is clearly affected by the therapeutic strategy. Whereas the score allows the stratification of the whole cohort of patients in three groups with different outcome, in younger fit patients a more intensive therapeutic approach, such as the FLAG-IDA regimen and a wider use of allogeneic bone marrow transplantation made possible by the use of haploidentical donors, results in the super-imposable prognosis between favorable risk and intermediate risk patients.
However, the same intensive approach cannot overcome the unfavorable features of the majority of high risk patients.
In the elderly group median age and comorbidities prevent patients from receiving intensive induction therapy. Therefore, intermediate and unfavorable risk patients show a similar poor outcome. In elderly patients the achievement of a good outcome is related to disease status (denovo AML), favorable cytogenetic and molecular features, good performance status and administration of intensive induction and consolidation treatment, including BMT in selected cases.
Carella:Seattle Genetics Inc.: Research Funding.
Author notes
Asterisk with author names denotes non-ASH members.
