Abstract
Introduction
Isolated myeloid sarcoma is a rare form (<1%) of acute myeloid leukemia presenting as extramedullary tumor. Contemporary clinical data are mostly limited to institutional case series. Using the National Cancer Database, the largest public cancer registry covering >70% of all newly diagnosed cancers in the United States, we determined the patterns of anatomical presentation and clinical outcome of myeloid sarcoma.
Methods
We identified patients with a histologically confirmed diagnosis of isolated myeloid sarcoma from 2004-2013 using International Classification of Diseases for Oncology version 3 (ICD-O-3) code: 9930. To allow at least 1 year of follow-up, only patients diagnosed from 2004-2012 were included in the survival analysis using Kaplan-Meier estimates.
Results
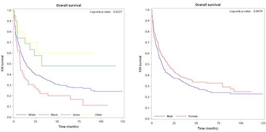
A total of 746 patients were included in the study. The median age of patients was 59 years (range, 41 to 73) and 56% were males. The anatomical distribution and median overall survival of patients are depicted in the Table. The top 3 most common sites of presentation were connective/soft tissues (31.3%), skin/breast (12.3%), and digestive system (10.3%). Compared to other races, Blacks were more likely to have presentation in bones/joints (11.8% vs 6.3% in others), lymph nodes/spleen (22.1% vs. 9%), and less likely in skin/breast (4.4% vs. 13.8%). Asians were more likely to present with cardiopulmonary/mediastinal disease as compared to other races (13.6% vs. 4.2%). According to outcomes, we can categorize the patients into 3 groups: good (median overall survival >30 months: reproductive and digestive systems), intermediate (median overall survival 15-30 months: head/neck and kidney/bladder/retroperitoneum/adrenal), and poor (median overall survival <15 months: nervous system, connective/soft tissue, and bones/joints). There was no significant difference in overall survival between males and females (P =0.06). Among the races, Blacks had the worst overall survival (P =0.02; Figure).
Conclusions
This is the largest registry-based study on isolated myeloid sarcoma in the United States. Isolated myeloid sarcoma has a diverse anatomic clinical presentation and the overall survival varied significantly according to sites of presentation and racial subgroups. The results of our study may aid the prognostication of patients for treatment decision making and in the understanding of the biological differences by anatomic sites of presentation.
Anatomical distribution and median overall survival of isolated myeloid sarcoma
Anatomical distribution and median overall survival of isolated myeloid sarcoma
Overall survival by sex and race in isolated myeloid sarcoma
Overall survival by sex and race in isolated myeloid sarcoma
Al-Kali:Onconova Therapeutics, Inc.: Research Funding; Celgene: Research Funding.
Author notes
Asterisk with author names denotes non-ASH members.

